Performance Study of High-Speed Permanent Magnet Synchronous Motor with Amorphous Alloy Considering Temperature Effect
Abstract
1. Introduction
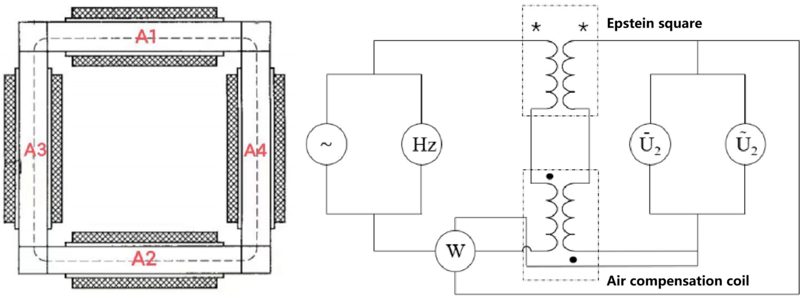
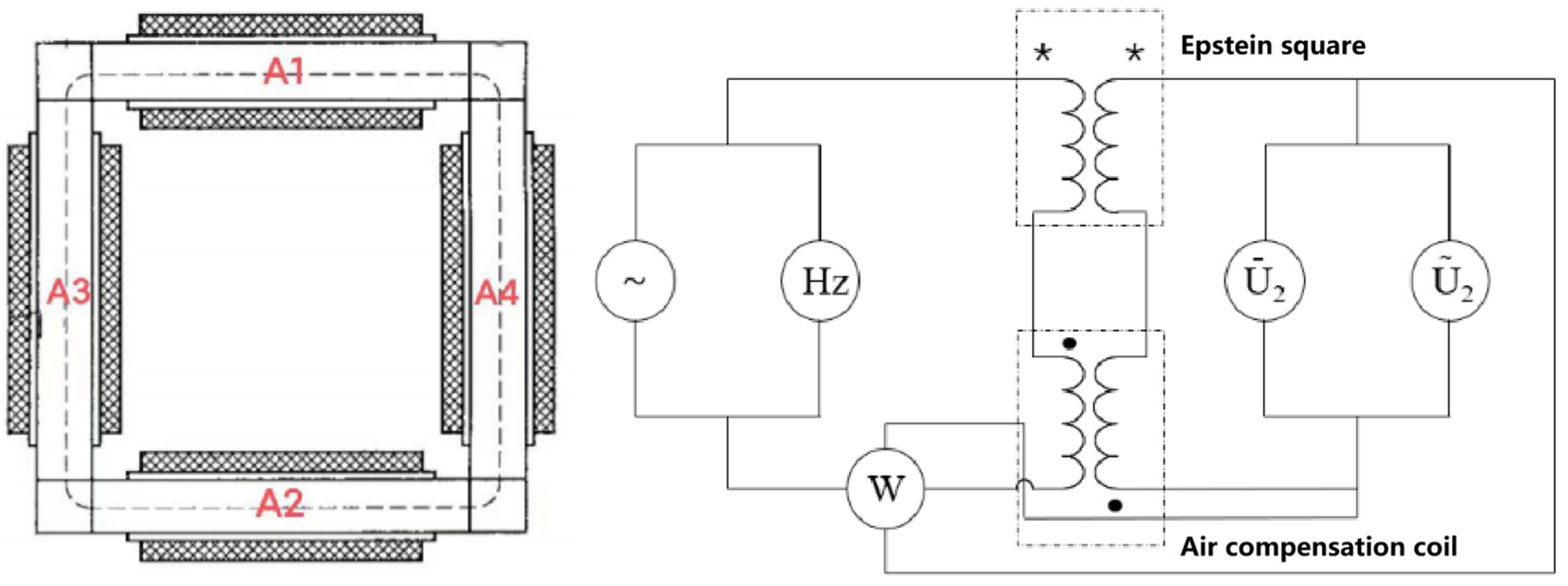
2. Experimental Equipment and Sample Preparation
3. Experimental Results: Performance Curve
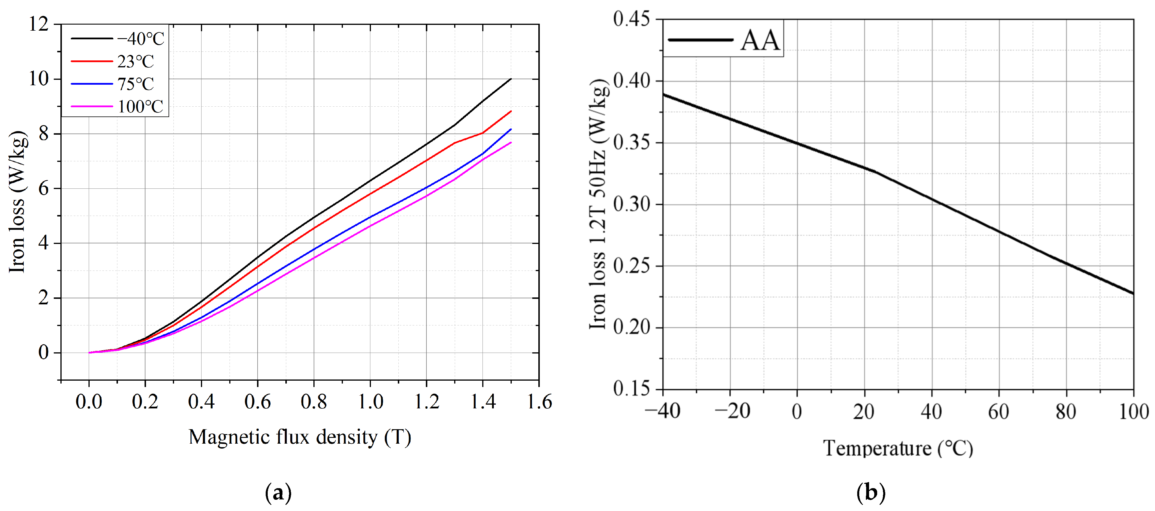
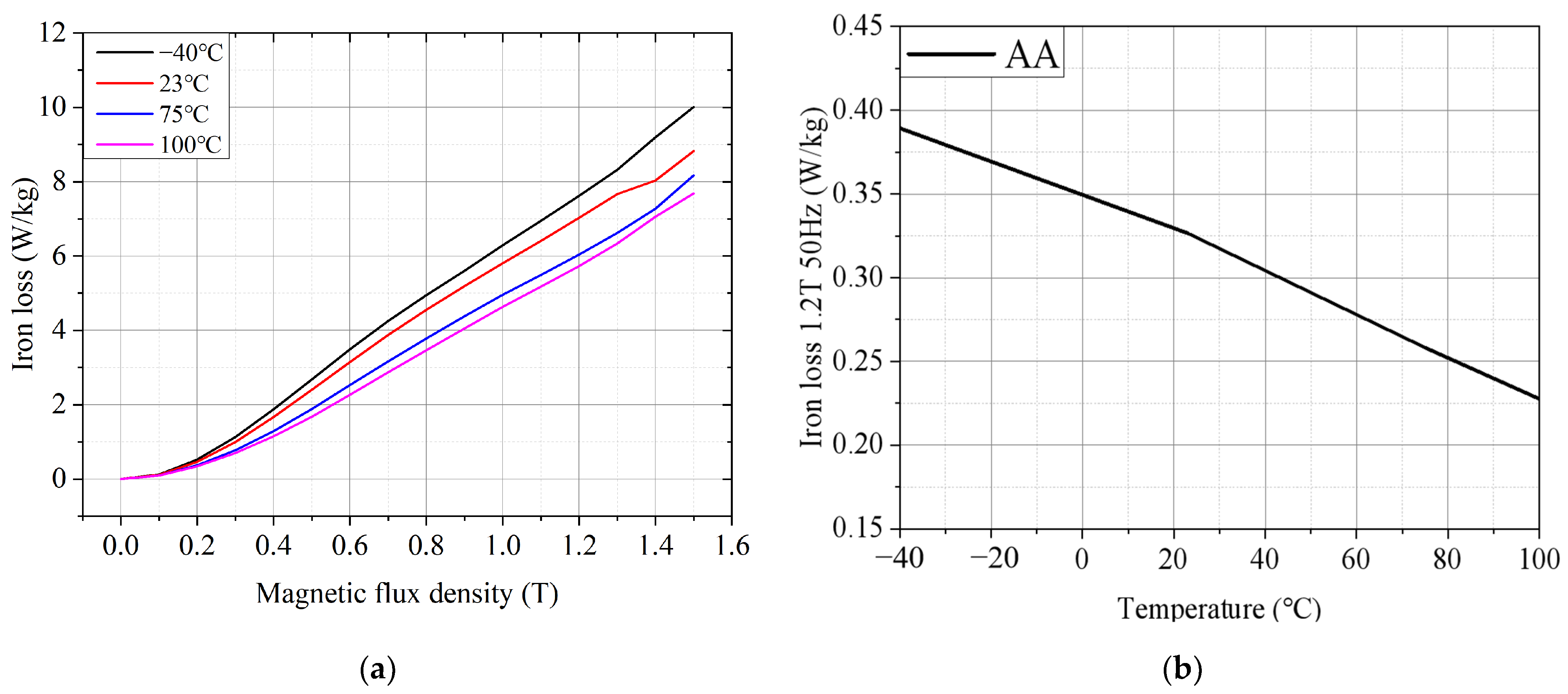
3.1. Test Results and Analysis of Magnetic Properties of AA
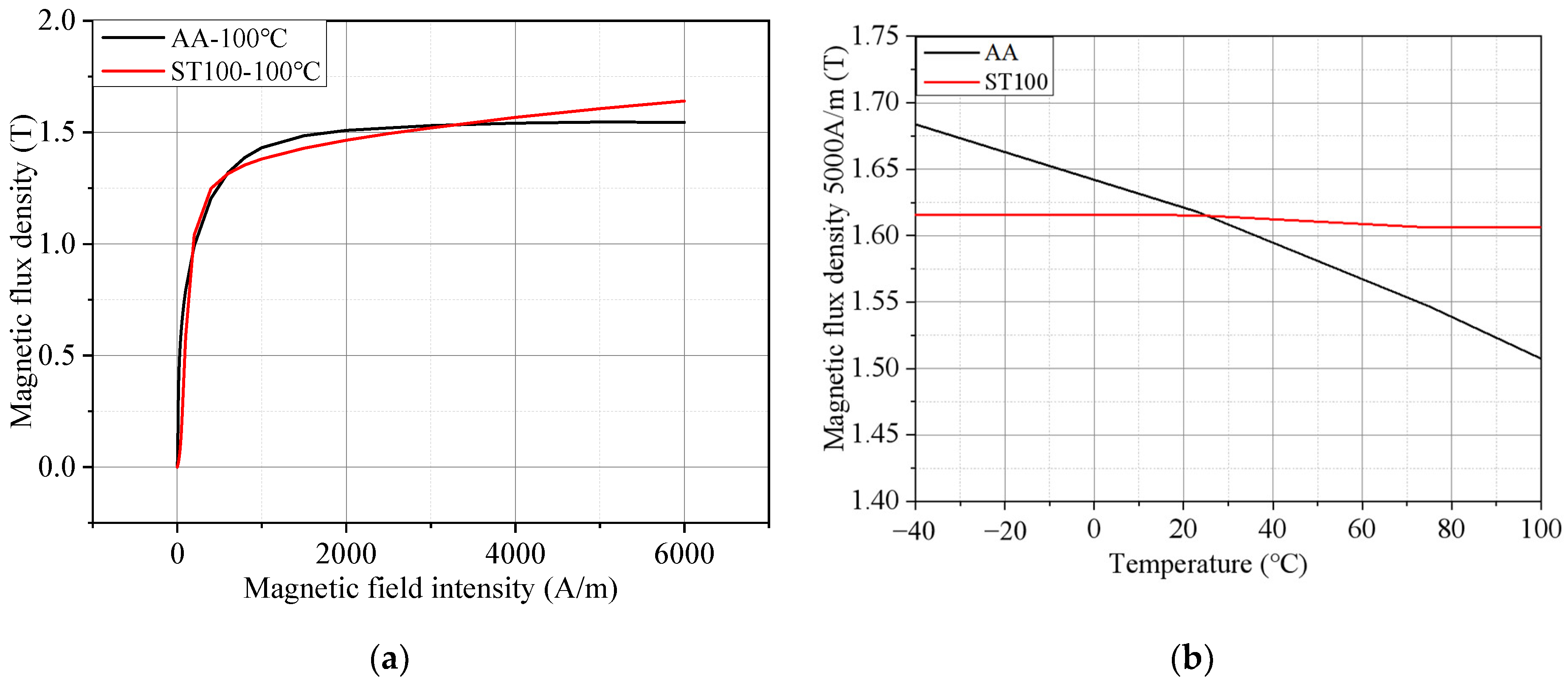
3.2. Comparative Analysis of Magnetic Properties between AA and ST100
3.3. Iron Loss Coefficient Separation
4. Finite Element Model and Motor Performance Analysis
4.1. Motor Structure and Main Parameters
4.2. Thermal Simulation Analysis of Motor
4.3. Electromagnetic Simulation Analysis of Motor
5. Conclusions
- The experiments in this manuscript tested the magnetic properties of the AA and ST100 under the coupling conditions of different temperature fields and different frequency fields. Compared with the traditional magnetic properties testing methods such as Epstein’s square circle method and the monolithic method, the testing method in this manuscript is more novel and the result is more accurate. When the temperature increases, the magnetic flux density of the AA decreases significantly more than that of the ST100. After the temperature increases from −40 °C to 100 °C, the magnetic flux densities of the AA and ST100 decreases by 0.6% and 10.3%, respectively. And the magnetic permeability decreases. The torque simulation results of the motor model verify that the influence of the temperature on the magnetic flux density of the AA will change the output torque of the motor. After considering the temperature effect of the actual operation of the motor, the AA motor torque is reduced by 1.74%, which is 3.16 times that of the ST100 motor. Therefore, special attention should be paid to the influence of temperature when using an AA to design a large torque motor or high torque precision motor.
- In this manuscript, a new simulation idea based on the actual magnetic property data of the AA at different temperatures combined with multiple iterative coupled thermal simulations is proposed. In the process of motor thermal simulation, it is necessary to consider the coupling relationship between the temperature and material iron loss to achieve iterative thermal simulation. When an AA is selected as the motor stator material, it is particularly important to consider the iterative thermal simulation of the coupling relationship between the temperature and iron loss. If there is no iterative treatment in the thermal simulation process, errors of up to 11 °C or more will be generated. The iterative thermal simulation method in this paper provides an important simulation idea for the precise design of an AA motor.
- When the temperature increases, the iron loss reduction degree of the AA is also significantly greater than that of the ST100. After the temperature increases from −40 °C to 100 °C, the iron loss reduction degree of the AA and ST100 is 5.27% and 38.37%, respectively. The separation results of the iron loss coefficient show that the iron loss coefficient of the AA and ST100 changes less with the frequency and more with the temperature, and the iron loss coefficient of the AA changes much more with the temperature than that of the ST100. The simulation results of the iron loss of the motor model verify that the iron loss of the teeth of the AA motor will be significantly reduced when the temperature rises. The more novel and detailed motor simulation ideas proposed in this manuscript can provide practical reference for the design of AA motors. In subsequent research, the sensitivity of the AA’s magnetic properties to mechanical stress will be explored, and the effect of temperature on the AA’s magnetic properties as studied in this paper will be combined to explore the variation law of the AA’s magnetic properties under the condition of multiple physical fields. Based on this, the forward design of an AA motor under the coupling effect of multiple physical fields will be carried out.
Author Contributions
Funding
Institutional Review Board Statement
Informed Consent Statement
Data Availability Statement
Conflicts of Interest
References
- Ismagilov, F.; Uzhegov, N.; Vavilov, V.; Bekuzin, V.; Ayguzina, V. Multidisciplinary design of ultra-high speed electric machines. IEEE Trans. Magn. 2018, 33, 1203–1212. [Google Scholar]
- Fernando, N.; Arumugam, P.; Gerada, C. Design of a stator for a high-speed turbo-generator with fixed permanent magnet rotor radius and volt–ampere constraints. IEEE Trans. Energy Convers. 2018, 33, 1311–1320. [Google Scholar] [CrossRef]
- Bernard, N.; Missoum, R.; Dang, L.; Bekka, N.; Ben Ahmed, H.; Zaim, M.E.-H. Design methodology for high-speed permanent magnet synchronous machines. IEEE Trans. Energy Convers. 2016, 31, 477–485. [Google Scholar] [CrossRef]
- Krings, A.; Boglietti, A.; Cavagnino, A.; Sprague, S. Soft Magnetic Material Status and Trends in Electric Machines. IEEE Trans. Ind. Electron. 2017, 64, 2405–2414. [Google Scholar] [CrossRef]
- Li, B.; Zhu, J.; Liu, C.; Li, Y.; Zhao, F.; Jiang, Q. Design and Comparative Study of Ultrahigh-Speed Permanent Magnet Motors with Different Soft Magnetic Materials. IEEE Trans. Magn. 2023, 59, 8204605. [Google Scholar] [CrossRef]
- Wang, Z.; Enomoto, Y.; Ito, M.; Masaki, R.; Morinaga, S.; Itabashi, H.; Tanigawa, S. Development of a permanent magnet motor utilizing amorphous wound cores. IEEE Trans. Magn. 2010, 46, 570–573. [Google Scholar] [CrossRef]
- Wang, Z.; Enomoto, Y.; Masaki, R.; Souma, K.; Itabashi, H.; Tanigawa, S. Development of a high speed motor using amorphous metal cores. In Proceedings of the 8th International Conference on Power Electronics-ECCE Asia, Jeju, Republic of Korea, 30 May–3 June 2011; pp. 1940–1945. [Google Scholar]
- Zhang, J.; Cui, R.; Wei, Y.; Yu, D.; Xie, S.; Fang, S.; Shen, J. Optimization and Experimental Validation of Amorphous Alloy High-Speed Asynchronous Motor for Simultaneous Reduction on Core and Copper Losses. IEEE Access 2023, 11, 101112–101122. [Google Scholar] [CrossRef]
- Chai, F.; Li, Z.; Ou, J.; Yu, Y. Torque analysis of high-speed switched reluctance motor with amorphous alloy core. In Proceedings of the International Conference on Electrical Machines (ICEM) 2020 International Conference on Electrical Machines (ICEM), Gothenburg, Sweden, 23–26 August 2020; pp. 2464–2468. [Google Scholar]
- Chen, J. Design of Spindle Permanent Magnet Synchronous Motor and Comparative Analysis of Different Core Materials. In Proceedings of the 2023 5th International Conference on Intelligent Control, Measurement and Signal Processing (ICMSP), Chengdu, China, 19–21 May 2023; pp. 665–670. [Google Scholar]
- Tong, W.; Sun, R.; Li, S.; Tang, R. Loss and Thermal Analysis for High-Speed Amorphous Metal PMSMs Using 3-D Electromagnetic-thermal Bi-Directional Coupling. IEEE Trans. Energy Convers. 2021, 36, 2839–2849. [Google Scholar] [CrossRef]
- Wu, S.; Li, W.; Tong, W.; Tang, R. Electromagnetic Vibration and Noise Comparison of Amorphous Metal PMSMs and Silicon Steel PMSMs. IEEE Access 2019, 7, 62672–62680. [Google Scholar] [CrossRef]
- Tong, W.; Dai, S.; Wu, S.; Tang, R. Performance Comparison Between an Amorphous Metal PMSM and a Silicon Steel PMSM. IEEE Trans. Magn. 2019, 55, 8102705. [Google Scholar] [CrossRef]
- Tong, W.; Li, S.; Sun, R.; Sun, L.; Tang, R. Modified Core Loss Calculation for High-Speed PMSMs with Amorphous Metal Stator Cores. IEEE Trans. Energy Convers. 2021, 36, 560–569. [Google Scholar] [CrossRef]
- Tong, W.; Sun, J.; Cheng, X.; Wang, S.; Zhao, G. Thermal conductivity testing and motor thermal analysis of amorphous alloy iron core laminations. Trans. China Electrotech. Soc. 2017, 32, 42–49. [Google Scholar]
- Han, T.; Zhu, L.; Sha, R.; Shi, Y.; Zhang, L. Analysis of the influence of temperature on the magnetic properties and vibration of amorphous alloy coil shaped iron cores. Adv. Technol. Electr. Eng. Energy 2019, 38, 66–73. [Google Scholar]
- Zhao, P.; Qiu, S.; Yang, X.; Wang, H.; Huo, L.; Zhao, Z.; Zhang, C. Iron loss calculation model considering stress influence in amorphous alloy core. In Proceedings of the 2023 IEEE 18th Conference on Industrial Electronics and Applications (ICIEA), Ningbo, China, 18–22 August 2023; pp. 336–341. [Google Scholar]
- Xu, Y.; Liang, T.; Xu, M.; Xu, C.; Chi, Q.; Liu, H. Research on Cooling Problem of a Modular Permanent Magnet Synchronous Machine Based on a 3D Equivalent Thermal Network Method. IEEE Access 2024, 12, 12181–12188. [Google Scholar] [CrossRef]
- Lundmark, S.T.; Grunditz, E.A.; Thiringer, T.; Andreasson, A.; Bergqvist, A.; Orbay, R.; Jansson, E. Heat Transfer Coefficients in a Coupled 3-D Model of a Liquid-Cooled IPM Traction Motor Compared with Measurements. IEEE Trans. Ind. Appl. 2021, 57, 4805–4814. [Google Scholar] [CrossRef]
- Liu, J. Research on the Mechanism of Iron Core Fragmentation in Amorphous Alloy Transformers and Its Impact on Insulation. Electron. Meas. Technol. 2022, 45, 44–49. [Google Scholar]


















| Type | Ps50 Hz 1.0 T | Ps800 Hz 1.0 T |
|---|---|---|
| AA | 0.28 W/kg | 5.81 W/kg |
| ST100 | 1.21 W/kg | 30.76 W/kg |
| f/(Hz) | Kh (AA) | Kh (ST100) | Kc (AA) | Kc (ST100) |
|---|---|---|---|---|
| 50 | 0.00344 | 0.01432 | 3.01 × 10−6 | 2.42 × 10−4 |
| 200 | 0.00388 | 0.01428 | 1.46 × 10−6 | 7.85 × 10−5 |
| 400 | 0.00436 | 0.01435 | 9.51 × 10−7 | 4.74 × 10−5 |
| 600 | 0.00469 | 0.01436 | 9.01 × 10−7 | 3.54 × 10−5 |
| 800 | 0.00502 | 0.01431 | 7.89 × 10−7 | 2.98 × 10−5 |
| 1000 | 0.00532 | 0.01434 | 7.14 × 10−7 | 2.65 × 10−5 |
| Temperature (°C) | Kh (AA) | Kh (ST100) | Kc (AA) | Kc (ST100) |
|---|---|---|---|---|
| −40 | 0.0036 | 0.01415 | 4.37 × 10−5 | 2.78 × 10−4 |
| 23 | 0.00364 | 0.01425 | 1.69 × 10−5 | 2.76 × 10−4 |
| 75 | 0.00351 | 0.01428 | 1.21 × 10−5 | 2.58 × 10−4 |
| 100 | 0.00344 | 0.01422 | 3.01 × 10−6 | 2.55 × 10−4 |
| Parameter | Value | Parameter | Value |
|---|---|---|---|
| Rated power/kW | 2 | Peak power/kW | 3.6 |
| Rated speed/rpm | 21,000 | Peak speed/rpm | 25,000 |
| DC bus voltage/V | 410 | Peak current/A | 13 |
Disclaimer/Publisher’s Note: The statements, opinions and data contained in all publications are solely those of the individual author(s) and contributor(s) and not of MDPI and/or the editor(s). MDPI and/or the editor(s) disclaim responsibility for any injury to people or property resulting from any ideas, methods, instructions or products referred to in the content. |
© 2024 by the authors. Licensee MDPI, Basel, Switzerland. This article is an open access article distributed under the terms and conditions of the Creative Commons Attribution (CC BY) license (https://creativecommons.org/licenses/by/4.0/).
Share and Cite
Yan, C.; Hu, H.; Li, Z.; Zeng, L.; Pei, R. Performance Study of High-Speed Permanent Magnet Synchronous Motor with Amorphous Alloy Considering Temperature Effect. Materials 2024, 17, 1928. https://doi.org/10.3390/ma17081928
Yan C, Hu H, Li Z, Zeng L, Pei R. Performance Study of High-Speed Permanent Magnet Synchronous Motor with Amorphous Alloy Considering Temperature Effect. Materials. 2024; 17(8):1928. https://doi.org/10.3390/ma17081928
Chicago/Turabian StyleYan, Changhao, Haiyang Hu, Zhiye Li, Lubin Zeng, and Ruilin Pei. 2024. "Performance Study of High-Speed Permanent Magnet Synchronous Motor with Amorphous Alloy Considering Temperature Effect" Materials 17, no. 8: 1928. https://doi.org/10.3390/ma17081928
APA StyleYan, C., Hu, H., Li, Z., Zeng, L., & Pei, R. (2024). Performance Study of High-Speed Permanent Magnet Synchronous Motor with Amorphous Alloy Considering Temperature Effect. Materials, 17(8), 1928. https://doi.org/10.3390/ma17081928

