Dramatically Enhanced Mechanical Properties of Nano-TiN-Dispersed n-Type Bismuth Telluride by Multi-Effect Modulation
Abstract
1. Introduction
2. Materials and Methods
3. Results and Discussion
3.1. Phase Structure and Microstructure
3.2. Grain Refinement
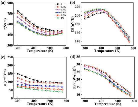
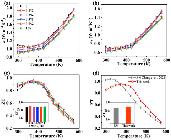
3.3. Electrical and Thermal Properties
3.4. Enhanced Mechanical Performance
4. Conclusions
Supplementary Materials
Author Contributions
Funding
Institutional Review Board Statement
Informed Consent Statement
Data Availability Statement
Conflicts of Interest
References
- Bell, L.E. Cooling, Heating, Generating Power, and Recovering Waste Heat with Thermoelectric Systems. Science 2008, 321, 1457–1461. [Google Scholar] [CrossRef] [PubMed]
- Zhang, Q.H.; Huang, X.Y.; Bai, S.Q.; Shi, X.; Uher, C.; Chen, L.D. Thermoelectric Devices for Power Generation: Recent Progress and Future Challenges. Adv. Eng. Mater. 2016, 18, 194–213. [Google Scholar] [CrossRef]
- Li, J.-F.; Liu, W.-S.; Zhao, L.-D.; Zhou, M. High-performance nanostructured thermoelectric materials. NPG Asia Mater. 2010, 2, 152–158. [Google Scholar] [CrossRef]
- Pan, Y.; Wei, T.-R.; Cao, Q.; Li, J.-F. Mechanically enhanced p- and n-type Bi2Te3-based thermoelectric materials reprocessed from commercial ingots by ball milling and spark plasma sintering. Mater. Sci. Eng. B 2015, 197, 75–81. [Google Scholar] [CrossRef]
- Zhu, T.; Liu, Y.; Fu, C.; Heremans, J.P.; Snyder, J.G.; Zhao, X. Compromise and Synergy in High-Efficiency Thermoelectric Materials. Adv. Mater. 2017, 29, 1605884. [Google Scholar] [CrossRef]
- Zhu, B.; Huang, Z.-Y.; Wang, X.-Y.; Yu, Y.; Yang, L.; Gao, N.; Chen, Z.-G.; Zu, F.-Q. Attaining ultrahigh thermoelectric performance of direction-solidified bulk n-type Bi2Te2.4Se0.6 via its liquid state treatment. Nano Energy 2017, 42, 8–16. [Google Scholar] [CrossRef]
- Yu, Y.; Cagnoni, M.; Cojocaru-Mirédin, O.; Wuttig, M. Chalcogenide Thermoelectrics Empowered by an Unconventional Bonding Mechanism. Adv. Funct. Mater. 2019, 30, 1904862. [Google Scholar] [CrossRef]
- Heremans, J.P.; Wiendlocha, B.; Chamoire, A.M. Resonant levels in bulk thermoelectric semiconductors. Energy Environ. Sci. 2012, 5, 5510–5530. [Google Scholar] [CrossRef]
- Cheng, Y.; Cojocaru-Mirédin, O.; Keutgen, J.; Yu, Y.; Küpers, M.; Schumacher, M.; Golub, P.; Raty, J.Y.; Dronskowski, R.; Wuttig, M. Understanding the Structure and Properties of Sesqui-Chalcogenides (i.e., V2VI3 or Pn2Ch3 (Pn = Pnictogen, Ch = Chalcogen) Compounds) from a Bonding Perspective. Adv. Mater. 2019, 31, 1904316. [Google Scholar] [CrossRef]
- Pei, Y.; Wang, H.; Snyder, G.J. Band Engineering of Thermoelectric Materials. Adv. Mater. 2012, 24, 6125–6135. [Google Scholar] [CrossRef]
- Chen, G.; Liao, B. Nanocomposites for thermoelectrics and thermal engineering. MRS Bull. 2015, 40, 746–752. [Google Scholar]
- Liu, W.; Hu, J.; Zhang, S.; Deng, M.; Han, C.-G.; Liu, Y. New trends, strategies and opportunities in thermoelectric materials: A perspective. Mater. Today Phys. 2017, 1, 50–60. [Google Scholar] [CrossRef]
- Snyder, G.; Toberer, E. Complex Thermoelectric Materials. Nat. Mater. 2008, 7, 105–114. [Google Scholar] [CrossRef] [PubMed]
- Kim, H.S.; Liu, W.; Ren, Z. The bridge between the materials and devices of thermoelectric power generators. Energy Environ. Sci. 2017, 10, 69–85. [Google Scholar] [CrossRef]
- Guo, F.; Cui, B.; Liu, Y.; Meng, X.; Cao, J.; Zhang, Y.; He, R.; Liu, W.; Wu, H.; Pennycook, S.J.; et al. Thermoelectric SnTe with Band Convergence, Dense Dislocations, and Interstitials through Sn Self-Compensation and Mn Alloying. Small 2018, 14, 1802615. [Google Scholar] [CrossRef] [PubMed]
- Shuai, J.; Sun, Y.; Tan, X.; Mori, T. Manipulating the Ge Vacancies and Ge Precipitates through Cr Doping for Realizing the High-Performance GeTe Thermoelectric Material. Small 2020, 16, 1906921. [Google Scholar] [CrossRef]
- Zheng, Y.; Tan, X.Y.; Wan, X.; Cheng, X.; Liu, Z.; Yan, Q. Thermal Stability and Mechanical Response of Bi2Te3-Based Materials for Thermoelectric Applications. ACS Appl. Energy Mater. 2020, 3, 2078–2089. [Google Scholar] [CrossRef]
- Sun, J.; Shu, Z.; Yang, J.; Wang, T.; Zhu, B.; He, J. Realizing high thermoelectric performance in N-type Bi2Te3 compounds by Sb nano-precipitates. J. Appl. Phys. 2021, 130, 135103. [Google Scholar] [CrossRef]
- Kim, D.-H.; Mitani, T. Thermoelectric properties of fine-grained Bi2Te3 alloys. J. Alloys Compd. 2005, 399, 14–19. [Google Scholar] [CrossRef]
- Chen, B.; Li, J.; Wu, M.; Hu, L.; Liu, F.; Ao, W.; Li, Y.; Xie, H.; Zhang, C. Simultaneous Enhancement of the Thermoelectric and Mechanical Performance in One-Step Sintered n-Type Bi2Te3-Based Alloys via a Facile MgB2 Doping Strategy. ACS Appl. Mater. Interfaces 2019, 11, 45746–45754. [Google Scholar] [CrossRef]
- Zhao, L.D.; Zhang, B.P.; Liu, W.S.; Li, J.F. Effect of Mixed Grain Sizes on Thermoelectric Performance of BiTe Compound. J. Appl. Phys. 2009, 105, 023704. [Google Scholar] [CrossRef]
- Zhao, L.D.; Zhang, B.P.; Li, J.F.; Zhang, H.L.; Liu, W.S. Enhanced thermoelectric and mechanical properties in textured n-type Bi2Te3 prepared by spark plasma sintering. Solid State Sci. 2008, 10, 651–658. [Google Scholar] [CrossRef]
- Zheng, G.; Su, X.; Liang, T.; Lu, Q.; Yan, Y.; Uher, C.; Tang, X. High thermoelectric performance of mechanically robust n-type Bi2Te3−xSex prepared by combustion synthesis. J. Mater. Chem. A 2015, 3, 6603–6613. [Google Scholar] [CrossRef]
- Zheng, Y.; Zhang, Q.; Su, X.; Xie, H.; Shu, S.; Chen, T.; Tan, G.; Yan, Y.; Tang, X.; Uher, C.; et al. Mechanically Robust BiSbTe Alloys with Superior Thermoelectric Performance: A Case Study of Stable Hierarchical Nanostructured Thermoelectric Materials. Adv. Energy Mater. 2015, 5, 1401391. [Google Scholar] [CrossRef]
- Zhang, C.; Geng, X.; Chen, B.; Li, J.; Meledin, A.; Hu, L.; Liu, F.; Shi, J.; Mayer, J.; Wuttig, M.; et al. Boron-Mediated Grain Boundary Engineering Enables Simultaneous Improvement of Thermoelectric and Mechanical Properties in N-Type Bi2Te3. Small 2021, 17, 2104067. [Google Scholar] [CrossRef] [PubMed]
- Duan, B.; Zhai, P.; Wen, P.; Zhang, S.; Liu, L.; Zhang, Q. Enhanced thermoelectric and mechanical properties of Te-substituted skutterudite via nano-TiN dispersion. Scr. Mater. 2012, 67, 372–375. [Google Scholar] [CrossRef]
- Helth, A.; Siegel, U.; Kühn, U.; Gemming, T.; Gruner, W.; Oswald, S.; Marr, T.; Freudenberger, J.; Scharnweber, J.; Oertel, C.G.; et al. Influence of boron and oxygen on the microstructure and mechanical properties of high-strength Ti66Nb13Cu8Ni6.8Al6.2 alloys. Acta Mater. 2013, 61, 3324–3334. [Google Scholar] [CrossRef]
- Okulov, I.V.; Sarmanova, M.F.; Volegov, A.S.; Okulov, A.; Kühn, U.; Skrotzki, W.; Eckert, J.J.M.L. Effect of boron on microstructure and mechanical properties of multicomponent titanium alloys. Mater. Lett. 2015, 158, 111–114. [Google Scholar] [CrossRef]
- Hu, C.; Xia, K.; Fu, C.; Zhao, X.; Zhu, T. Carrier grain boundary scattering in thermoelectric materials. Energy Environ. Sci. 2022, 15, 1406–1422. [Google Scholar] [CrossRef]
- Kim, H.-S.; Gibbs, Z.M.; Tang, Y.; Wang, H.; Snyder, G.J. Characterization of Lorenz number with Seebeck coefficient measurement. APL Mater. 2015, 3, 041506. [Google Scholar] [CrossRef]
- Xu, Z.J.; Hu, L.P.; Ying, P.J.; Zhao, X.B.; Zhu, T.J. Enhanced thermoelectric and mechanical properties of zone melted p-type (Bi,Sb)2Te3 thermoelectric materials by hot deformation. Acta Mater. 2015, 84, 385–392. [Google Scholar] [CrossRef]
- Biswas, R.; Vitta, S.; Dasgupta, T. Influence of zinc content and grain size on enhanced thermoelectric performance of optimally doped ZnSb. Mater. Res. Bull. 2022, 149, 111702. [Google Scholar] [CrossRef]
- Hu, L.; Zhang, Y.; Wu, H.; Li, J.; Li, Y.; Mckenna, M.; He, J.; Liu, F.; Pennycook, S.J.; Zeng, X. Entropy Engineering of SnTe: Multi-Principal-Element Alloying Leading to Ultralow Lattice Thermal Conductivity and State-of-the-Art Thermoelectric Performance. Adv. Energy Mater. 2018, 8, 1802116. [Google Scholar] [CrossRef]
- Pan, Y.; Wei, T.-R.; Wu, C.-F.; Li, J.-F. Electrical and thermal transport properties of spark plasma sintered n-type Bi2Te3−xSex alloys: The combined effect of point defect and Se content. J. Mater. Chem. C 2015, 3, 10583–10589. [Google Scholar] [CrossRef]
- Kato, M. Hall–Petch Relationship and Dislocation Model for Deformation of Ultrafine-Grained and Nanocrystalline Metals. Mater. Trans. 2014, 55, 19–24. [Google Scholar] [CrossRef]







| Disclaimer/Publisher’s Note: The statements, opinions and data contained in all publications are solely those of the individual author(s) and contributor(s) and not of MDPI and/or the editor(s). MDPI and/or the editor(s) disclaim responsibility for any injury to people or property resulting from any ideas, methods, instructions or products referred to in the content. | 
© 2024 by the authors. Licensee MDPI, Basel, Switzerland. This article is an open access article distributed under the terms and conditions of the Creative Commons Attribution (CC BY) license (https://creativecommons.org/licenses/by/4.0/).
Share and Cite
Lin, S.; Li, J.; Yan, H.; Meng, X.; Xiang, Q.; Jing, H.; Chen, X.; Yang, C. Dramatically Enhanced Mechanical Properties of Nano-TiN-Dispersed n-Type Bismuth Telluride by Multi-Effect Modulation. Materials 2024, 17, 1919. https://doi.org/10.3390/ma17081919
Lin S, Li J, Yan H, Meng X, Xiang Q, Jing H, Chen X, Yang C. Dramatically Enhanced Mechanical Properties of Nano-TiN-Dispersed n-Type Bismuth Telluride by Multi-Effect Modulation. Materials. 2024; 17(8):1919. https://doi.org/10.3390/ma17081919
Chicago/Turabian StyleLin, Shengao, Jing Li, Heng Yan, Xianfu Meng, Qingpei Xiang, Hang Jing, Xiaoxi Chen, and Chuting Yang. 2024. "Dramatically Enhanced Mechanical Properties of Nano-TiN-Dispersed n-Type Bismuth Telluride by Multi-Effect Modulation" Materials 17, no. 8: 1919. https://doi.org/10.3390/ma17081919
APA StyleLin, S., Li, J., Yan, H., Meng, X., Xiang, Q., Jing, H., Chen, X., & Yang, C. (2024). Dramatically Enhanced Mechanical Properties of Nano-TiN-Dispersed n-Type Bismuth Telluride by Multi-Effect Modulation. Materials, 17(8), 1919. https://doi.org/10.3390/ma17081919
 
        

