Research Advances of Non-Noble Metal Catalysts for Oxygen Evolution Reaction in Acid
Abstract
1. Introduction
2. Oxygen Evolution Reaction Mechanism in Acidic Environments
2.1. Adsorption Evolution Mechanism (AEM)
2.2. Lattice Oxygen Mechanism (LOM)
2.3. Difference of Oxygen Evolution Reaction Mechanism under Acidic and Alkaline Conditions
3. Strategies for Catalyst Activity Enhancement
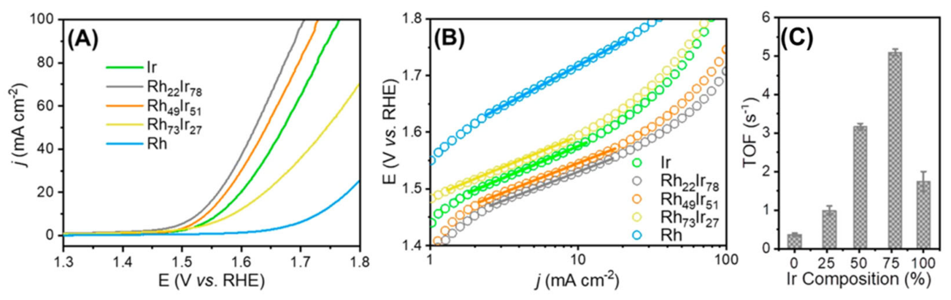
3.1. Compositional Refinement
3.2. Morphological Engineering
3.2.1. Nano-Porous Constructs
3.2.2. Three-Dimensional Architectures
3.3. Electronic Structure
3.3.1. Defect Engineering
3.3.2. Strain Engineering
4. Strategies to Enhance Catalyst Stability
4.1. Refining Structure and Composition
4.2. Curbing Lattice Oxygen Oxidation
4.2.1. Metal–Oxygen Orbital Interplay
4.2.2. Doping to Bolster Stability
4.3. Electronic Coupling: Key to Longevity
4.4. Electronic Structure
4.5. Electrochemical Electrode Modification
4.6. Other Factors to Consider in Improving the Activity and Stability of Acidic Water Electrolysis Catalysts
5. Summary and Prospect
Author Contributions
Funding
Institutional Review Board Statement
Informed Consent Statement
Data Availability Statement
Conflicts of Interest
References
- Siraj, M.S. Energy resources—The ultimate solution. Renew. Sustain. Energy Rev. 2012, 16, 1971–1976. [Google Scholar] [CrossRef]
- Hota, P.; Das, A.; Maiti, D.K. A short review on generation of green fuel hydrogen through water splitting. Int. J. Hydrogen Energy 2023, 48, 523–541. [Google Scholar] [CrossRef]
- Puszkiel, J.; Gasnier, A.; Amica, G.; Gennari, F. Tuning LiBH4 for Hydrogen Storage: Destabilization, Additive, and Nanoconfinement Approaches. Molecules 2020, 25, 163. [Google Scholar] [CrossRef] [PubMed]
- Amigues, J.-P.; Kama, A.A.L.; Moreaux, M. Equilibrium transitions from non-renewable energy to renewable energy under capacity constraints. J. Econ. Dyn. Control. 2015, 55, 89–112. [Google Scholar] [CrossRef]
- Kibsgaard, J.; Chorkendorff, I. Considerations for the scaling-up of water splitting catalysts. Nat. Energy 2019, 4, 430–433. [Google Scholar] [CrossRef]
- Hunter, B.M.; Gray, H.B.; Müller, A.M. Earth-Abundant Heterogeneous Water Oxidation Catalysts. Chem. Rev. 2016, 116, 14120–14136. [Google Scholar] [CrossRef] [PubMed]
- Choi, S.; Kwon, J.; Jo, S.; Kim, S.; Park, K.; Kim, S.; Han, H.; Paik, U.; Song, T. Highly efficient and stable bifunctional electrocatalysts with decoupled active sites for hydrogen evolution and oxygen reduction reactions. Appl. Catal. 2021, 298, 120530. [Google Scholar] [CrossRef]
- You, B.; Sun, Y. Innovative Strategies for Electrocatalytic Water Splitting. Acc. Chem. Res. 2018, 51, 1571–1580. [Google Scholar] [CrossRef] [PubMed]
- Rogez, G.; Parsons, S.; Paulsen, C.; Villar, V.; Mallah, T. A Prussian blue nanomolecule: Crystal structure and low-temperature magnetism. Inorg. Chem. 2001, 40, 3836–3837. [Google Scholar] [CrossRef]
- Wu, D.; Kusada, K.; Yoshioka, S.; Yamamoto, T.; Toriyama, T.; Matsumura, S.; Chen, Y.; Seo, O.; Kim, J.; Song, C.; et al. Efficient overall water splitting in acid with anisotropic metal nanosheets. Nat. Commun. 2021, 12, 1145. [Google Scholar] [CrossRef]
- Grigoriev, S.; Porembsky, V.; Fateev, V. Pure hydrogen production by PEM electrolysis for hydrogen energy. Int. J. Hydrogen Energy 2006, 31, 171–175. [Google Scholar] [CrossRef]
- Suen, N.T.; Hung, S.F.; Quan, Q.; Zhang, N.; Xu, Y.J.; Chen, H.M. Electrocatalysis for the oxygen evolution reaction: Recent development and future perspectives. Chem. Soc. Rev. 2017, 46, 337–365. [Google Scholar] [CrossRef] [PubMed]
- Horkans, J. An Investigation of the Electrochemistry of a Series of Metal Dioxides with Rutile-Type Structure: MoO2, WO2, ReO2, RuO2, OsO2, and IrO2. J. Electrochem. Soc. 1977, 124, 1202. [Google Scholar] [CrossRef]
- Beni, G.; Schiavone, L.M.; Shay, J.L.; Dautremont-Smith, W.C.; Schneider, B.S. Electrocatalytic oxygen evolution on reactively sputtered electrochromic iridium oxide films. Nature 1979, 282, 281–283. [Google Scholar] [CrossRef]
- Voiry, D.; Yang, J.; Chhowalla, M. Recent Strategies for Improving the Catalytic Activity of 2D TMD Nanosheets toward the Hydrogen Evolution Reaction. Adv. Mater. 2016, 28, 6197–6206. [Google Scholar] [CrossRef] [PubMed]
- Carmo, M.; Fritz, D.L.; Mergel, J.; Stolten, D. A comprehensive review on PEM water electrolysis. Int. J. Hydrogen Energy 2013, 38, 4901–4934. [Google Scholar] [CrossRef]
- Sun, X.; Hu, Y.; Fu, Y.; Yang, J.; Song, D.; Li, B.; Xu, W.H.; Wang, N. Single Ru Sites on Covalent Organic Framework-CoatedCarbon Nanotubes for Highly Efficient Electrocatalytic Hydrogen Evolution. Small 2023, 20, 8. [Google Scholar]
- Ghosh, A.; Tiago de Oliveira, F.; Yano, T.; Nishioka, T.; Beach, E.S.; Kinoshita, I.; Munck, E.; Ryabov, A.D.; Horwitz, C.P.; Collins, T.J. Catalytically Active μ-Oxodiiron(IV) Oxidants from Iron(III) and Dioxygen. J. Am. Chem. Soc. 2005, 127, 2505–2513. [Google Scholar] [CrossRef] [PubMed]
- Taslim, R.; Apriwandi, A.; Taer, E. Novel Moringa oleifera Leaves 3DPorous Carbon-Based Electrode Material as a High-Performance EDLC Supercapacitor. ACS Omega 2022, 7, 36489–36502. [Google Scholar] [CrossRef]
- Liang, Y.; Li, Y.; Wang, H.; Zhou, J.; Wang, J.; Regier, T.; Dai, H. Co3O4 nanocrystals on graphene as a synergistic catalyst for oxygen reduction reaction. Nat. Mater. 2011, 10, 780–786. [Google Scholar] [CrossRef]
- Abeysinghe, D.; Skrabalak, S.E. Toward Shape-Controlled Metal Oxynitride and Nitride Particles for Solar Energy Applications. ACS Energy Lett. 2018, 3, 1331–1344. [Google Scholar] [CrossRef]
- Frydendal, R.; Paoli, E.A.; Chorkendorff, I.; Rossmeisl, J.; Stephens, I.E.L. Toward an active and stable catalyst for oxygen evolution in acidic media: Ti-stabilized MnO2. Adv. Energy Mater. 2015, 5, 1500991. [Google Scholar] [CrossRef]
- Patel, P.P.; Datta, M.K.; Velikokhatnyi, O.I.; Kuruba, R.; Damodaran, K.; Jampani, P.; Gattu, B.; Shanthi, P.M.; Damle, S.S.; Kumta, P.N. Noble metal-free bifunctional oxygen evolution and oxygen reduction acidic media electro-catalysts. Sci. Rep. 2016, 6, 28367. [Google Scholar] [CrossRef] [PubMed]
- Peng, Z.; Yang, S.; Jia, D.; Da, P.; He, P.; Al-Enizi, A.M.; Ding, G.Q.; Xie, X.-M.; Zheng, G.-F. Homologous metal-free electrocatalysts grown on three-dimensional carbon networks for overall water splitting in acidic and alkaline media. J. Mater. Chem. A 2016, 4, 12878–12883. [Google Scholar] [CrossRef]
- Wu, J.; Liu, M.; Chatterjee, K.; Hackenberg, K.P.; Shen, J.F.; Zou, X.L.; Yan, Y.; Gu, J.; Yang, Y.C.; Lou, J.; et al. Exfoliated 2D transition metal disulfides for enhanced electrocatalysis of oxygen evolution reaction in acidic medium. Adv. Mater. Interfaces 2016, 3, 1500669. [Google Scholar] [CrossRef]
- Yang, X.; Li, H.; Lu, A.-Y.; Min, S.X.; Idriss, Z.; Hedhili, M.N.; Huang, K.-W.; Idrissc, H.; Li, L.-J. Highly acid-durable carbon coated Co3O4 nanoarrays as efficient oxygen evolution electrocatalysts. Nano Energy 2016, 25, 42–50. [Google Scholar] [CrossRef]
- Mondschein, J.S.; Callejas, J.F.; Read, C.G.; Chen, J.Y.; Holder, C.F.; Badding, C.K.; Schaak, R.E. Crystalline cobalt oxide films for sustained electrocatalytic oxygen evolution under strongly acidic conditions. Chem. Mater. 2017, 29, 950–957. [Google Scholar] [CrossRef]
- Moreno-Hernandez, I.A.; MacFarland, C.A.; Read, C.G.; Papadantonakis, K.M.; Brunschwig, B.; Lewis, N. Crystalline nickel manganese antimonate as a stable water-oxidation catalyst in aqueous 1.0 MH2SO4. Energy Environ. Sci. 2017, 10, 2103–2108. [Google Scholar] [CrossRef]
- Blasco-Ahicart, M.; Soriano-López, J.; Carbó, J.J.; Poblet, J.M.; Galan-Mascaros, J.R. Polyoxometalate electrocatalysts based on earth-abundant metals for efficient water oxidation in acidic media. Nat. Chem. 2018, 10, 24–30. [Google Scholar] [CrossRef]
- Sun, X.; Xu, K.; Fleischer, C.; Liu, X.; Grandcolas, M.; Strandbakke, R.; Bjørheim, T.S.; Norby, T.; Chatzitakis, A. Earth-abundant electrocatalysts in proton exchange membrane electrolyzers. Catalysts 2018, 8, 657. [Google Scholar] [CrossRef]
- Mondschein, J.S.; Kumar, K.; Holder, C.F.; Seth, K.; Kim, H.; Schaak, R.E. Intermetallic Ni2Ta electrocatalyst for the oxygen evolution reaction in highly acidic electrolytes. Inorg. Chem. 2018, 57, 6010–6015. [Google Scholar] [CrossRef] [PubMed]
- Xiong, Q.; Zhang, X.; Wang, H.; Liu, G.; Wang, G.; Zhang, H.; Zhao, H. One-step synthesis of cobalt-doped MoS 2 nanosheets as bifunctional electrocatalysts for overall water splitting under both acidic and alkaline conditions. Chem. Commun. 2018, 54, 3859–3862. [Google Scholar] [CrossRef] [PubMed]
- Kirshenbaum, M.J.; Richter, M.H.; Dasog, M. Electrochemical water oxidation in acidic solution using titanium diboride (TiB2) catalyst. ChemCatChem 2019, 11, 3877–3881. [Google Scholar] [CrossRef]
- Kwong, W.L.; Lee, C.C.; Shchukarev, A.; Messinger, J. Cobalt-doped hematite thin films for electrocatalytic water oxidation in highly acidic media. Chem. Commun. 2019, 55, 5017–5020. [Google Scholar] [CrossRef] [PubMed]
- Li, A.; Ooka, H.; Bonnet, N.; Hayashi, T.; Sun, Y.; Jiang, Q.; Li, C.; Han, H.X.; Nakamura, R. Stable potential windows for long-term electrocatalysis by manganese oxides under acidic conditions. Angew. Chem. Int. Ed. 2019, 58, 5054–5058. [Google Scholar] [CrossRef] [PubMed]
- Sankar, S.S.; Ede, S.R.; Anantharaj, S.; Karthick, K.; Sangeetha, K.; Kundu, S. Electrospun cobalt-ZIF micro-fibers for efficient water oxidation under unique pH conditions. Catal. Sci. Technol. 2019, 9, 1847–1856. [Google Scholar] [CrossRef]
- Li, J.; Zhang, J.; Shen, J.; Wu, H.H.; Chen, H.P.; Yuan, C.Z.; Wu, N.T.; Liu, G.L.; Guo, D.L.; Liu, X.M. Self-supported electrocatalysts for the hydrogen evolution reaction. Mater. Chem. Front. 2023, 7, 567–606. [Google Scholar] [CrossRef]
- Lemoine, K.; Gohari-Bajestani, Z.; Moury, R.; Terry, A.; Guiet, A.; Greneche, J.; Hémon-Ribaud, A.; Heidary, N.; Maisonneuve, V.; Kornienko, N.; et al. Amorphous iron–manganese oxyfluorides, promising catalysts for oxygen evolution reaction under acidic media. ACS Appl. Energy Mater. 2021, 4, 1173–1181. [Google Scholar] [CrossRef]
- Harzandi, A.M.; Shadman, S.; Nissimagoudar, A.S.; Kim, D.Y.; Lim, H.D.; Lee, J.H.; Kim, M.G.; Jeong, H.Y.; Kim, Y.; Kim, K.S. Ruthenium core–shell engineering with nickel single atoms for selective oxygen evolution via nondestructive mechanism. Adv. Energy Mater. 2021, 11, 2003448. [Google Scholar] [CrossRef]
- Ha, M.; Kim, D.Y.; Umer, M.; Gladkikh, V.; Myung, C.W.; Kim, K. Tuning metal single atoms embedded in N x C y moieties toward high-performance electrocatalysis. Energy Environ. Sci. 2021, 14, 3455–3468. [Google Scholar] [CrossRef]
- Bajdich, M.; García-Mota, M.; Vojvodic, A.; Nørskov, J.K.; Bell, A.T. Theoretical Investigation of the Activity of Cobalt Oxides for the Electrochemical Oxidation of Water. J. Am. Chem. Soc. 2013, 135, 13521–13530. [Google Scholar] [CrossRef]
- Shan, J.; Ling, T.; Davey, K.; Zheng, Y.; Qiao, S.Z. Transition-Metal-Doped RuIr Bifunctional Nanocrystals for Overall Water Splitting in Acidic Environments. Adv. Mater. 2019, 31, 386. [Google Scholar] [CrossRef]
- Vojvodic, A.; Nørskov, J.K. Optimizing perovskites for the water-splitting reaction. Science 2011, 334, 1355–1356. [Google Scholar] [CrossRef]
- Giordano, L.; Han, B.; Risch, M.; Hong, W.T.; Rao, R.R.; Stoerzinger, K.A.; Yang, S.-H. PH dependence of OER activity of oxides: Current and future perspectives. Catal. Today 2016, 262, 2–10. [Google Scholar] [CrossRef]
- Yoo, J.S.; Rong, X.; Liu, Y.; Kolpak, A.M. Role of lattice oxygen participation in understanding trends in the oxygen evolution reaction on perovskites. ACS Catal. 2018, 8, 4628–4636. [Google Scholar] [CrossRef]
- Shi, Z.; Wang, X.; Ge, J.; Liu, C.; Xing, W. Fundamental understanding of the acidic oxygen evolution reaction: Mechanism study and state-of-the-art catalysts. Nanoscale 2020, 12, 13249–13275. [Google Scholar] [CrossRef] [PubMed]
- Heo, J.N.; Shin, J.; Yoon, T.; Son, N.; Kang, M. Effective alkaline water electrolysis on nwMnO2-nsNi(OH)2 composite electrode via lattice oxygen participant adsorbate evolving mechanism. Appl. Surf. Sci. 2021, 567, 150281. [Google Scholar] [CrossRef]
- Binninger, T.; Mohamed, R.; Waltar, K.; Fabbri, E.; Levecque, P.; Kötz, R.; Schmidt, T.J. Thermodynamic explanation of the universal correlation between oxygen evolution activity and corrosion of oxide catalysts. Sci. Rep. 2015, 5, 12167. [Google Scholar] [CrossRef]
- Medford, A.J.; Vojvodic, A.; Voss, J.; Abild-Pedersen, F.; Studt, F.; Bligaard, T.; Nilsson, A.; Nørskov, J.K. From the Sabatier principle to a predictive theory of transition-metal heterogeneous catalysis. J. Catal. 2015, 328, 36–42. [Google Scholar] [CrossRef]
- Langmuur, S.J.J.; Taverne, Y.J.H.J.; van Schie, M.S.; Bogers, A.J.J.C.; Groot, N.M.S. Optimization of intra-operative electrophysiological localization of the ligament of Marshall. Front. Cardiovasc. Med. 2022, 9, 1030064. [Google Scholar] [CrossRef]
- Reier, T.; Nong, H.N.; Teschner, D.; Schlögl, R.; Strasser, P. Electrocatalytic Oxygen Evolution Reaction in Acidic Environments—Reaction Mechanisms and Catalysts. Adv. Energy Mater. 2016, 7, 1601275. [Google Scholar] [CrossRef]
- Zagalskaya, A.; Alexandrov, V. Role of Defects in the Interplay between Adsorbate Evolving and Lattice Oxygen Mechanisms of the Oxygen Evolution Reaction in RuO2 and IrO2. ACS Catal. 2020, 10, 3650–3657. [Google Scholar] [CrossRef]
- Doyle, R.L.; Lyons, M.E.G. The Oxygen Evolution Reaction: Mechanistic Concepts and Catalyst Design; Springer International Publishing: Cham, Switzerland, 2016; Volume 30, pp. 41–104. [Google Scholar]
- Man, I.C.; Su, H.-Y.; Calle-Vallejo, F.; Hansen, H.A.; Martínez, J.I.; Inoglu, N.G.; Kitchin, P.T.; Jaramillo, T.F.; Nørskov, P.J.; Rossmeisl, J. Universality in Oxygen Evolution Electrocatalysis on Oxide Surfaces. ChemCatChem 2011, 3, 1159–1165. [Google Scholar] [CrossRef]
- Rossmeisl, J.; Qu, Z.-W.; Zhu, H.; Kroes, G.J.; Nørskov, J.K. Electrolysis of water on oxide surfaces. J. Electroanal. Chem. 2007, 607, 83–89. [Google Scholar] [CrossRef]
- Dau, H.; Limberg, C.; Reier, T.; Risch, M.; Roggan, S. The Mechanism of Water Oxidation: From Electrolysis via Homogeneous to Biological Catalysis. ChemCatChem 2010, 2, 724–761. [Google Scholar] [CrossRef]
- Zhao, Z.-J.; Liu, S.; Zha, S.; Cheng, D.; Studt, F.; Henkelman, G.; Gong, J. Theory-guided design of catalytic materials using scaling relationships and reactivity descriptors. Nat. Rev. Mater. 2019, 4, 792–804. [Google Scholar] [CrossRef]
- Liu, Y.; Liang, X.; Chen, H.; Gao, R.; Shi, L.; Yang, L.; Zou, X. Iridium-containing water-oxidation catalysts in acidic electrolyte. Chin. J. Catal. 2021, 42, 1054–1077. [Google Scholar] [CrossRef]
- Grimaud, A.; Demortiere, A.; Saubanere, M.; Dachraoui, W.; Duchamp, M.; Doublet, M.L.; Tarascon, J.M. Activation of surface oxygen sites on an iridium-based model catalyst for the oxygen evolution reaction. Nat. Energy 2016, 2, 16189. [Google Scholar] [CrossRef]
- Grimaud, A.; Diaz-Morales, O.; Han, B.; Hong, W.T.; Lee, Y.L.; Giordano, L.; Stoerzinger, K.A.; Koper, M.T.M.; Horn, Y.S. Activating lattice oxygen redox reactions in metal oxides to catalyse oxygen evolution. Nat. Chem. 2017, 9, 457–465. [Google Scholar] [CrossRef]
- Wu, T.; Sun, S.; Song, J.; Xi, S.; Du, Y.; Chen, B.; Sasangka, W.A.; Liao, H.; Gan, C.L.; Scherer, G.G.; et al. Iron-facilitated dynamic active-site generation on spinel CoAl2O4 with self-termination of surface reconstruction for water oxidation. Nat. Catal. 2019, 2, 763–772. [Google Scholar] [CrossRef]
- Risch, M.; Grimaud, A.; May, K.J.; Stoerzinger, K.A.; Chen, T.J.; Mansour, A.N.; Shao-Horn, Y. Structural Changes of Cobalt-Based Perovskites upon Water Oxidation Investigated by EXAFS. J. Phys. Chem. C. 2013, 117, 8628–8635. [Google Scholar] [CrossRef]
- Huang, Z.-F.; Song, J.; Du, Y.; Xi, S.; Dou, S.; Nsanzimana, J.M.V.; Wang, C.; Xu, Z.J.; Wang, X. Chemical and structural origin of lattice oxygen oxidation in Co–Zn oxyhydroxide oxygen evolution electrocatalysts. Nat. Energy 2019, 4, 329–338. [Google Scholar] [CrossRef]
- Fabbri, E.; Schmidt, T.J. Oxygen Evolution Reaction-The Enigma in Water Electrolysis. ACS Catal. 2018, 8, 765–774. [Google Scholar] [CrossRef]
- Damjanovic, A. Anodic Oxide Films as Barriers to Charge Transfer in O2 Evolution at Pt in Acid Solutions. J. Electrochem. Soc. 1976, 123, 374–381. [Google Scholar] [CrossRef]
- Wohlfahrt-Mehrens, M.; Heitbaum, J. Oxygen evolution on Ru and RuO2 electrodes studied using isotope labelling and on-line mass spectrometry. J. Electroanal. Chem. Interfac. Electrochem. 1987, 237, 251–260. [Google Scholar] [CrossRef]
- Mefford, J.T.; Rong, X.; Abakumov, A.M.; Hardin, W.H.; Dai, S.; Kolpak, A.M.; Johnston, K.P.; Stevenson, K.J. Water electrolysis on La1−xSrxCoO3−δ perovskite electrocatalysts. Nat. Commun. 2016, 7, 11053. [Google Scholar] [CrossRef] [PubMed]
- Liang, Q.; Brocks, G.; Bieberle-Hütter, A. Oxygen evolution reaction (OER) mechanism under alkaline and acidic conditions. J. Phys. Energy 2021, 3, 026001. [Google Scholar] [CrossRef]
- Battiato, S.; Bruno, L.; Pellegrino, A.L.; Terrasi, A.; Mirabella, S. Optimized electroless deposition of NiCoP electrocalysts for enhanced water splitting. Catal. Today 2023, 423, 113929. [Google Scholar] [CrossRef]
- Battiato, S.; Pellegrino, A.L.; Pollicino, A.; Terrasi, A.; Mirabella, S. Composition-controlled chemical bath deposition of Fe-doped NiO microflowers for boosting oxygen evolution reaction. Int. J. Hydrogen Energy 2023, 48, 18291–18300. [Google Scholar] [CrossRef]
- Liao, H.; Wei, C.; Wang, J.; Fisher, A.; Sritharan, T.; Feng, Z. A Multisite Strategy for Enhancing the Hydrogen Evolution Reaction on a Nano-Pd Surface in Alkaline Media. Adv. Energy Mater. 2017, 7, 1701129. [Google Scholar] [CrossRef]
- Huang, J.; Sheng, H.; Ross, R.D.; Han, J.; Wang, X.; Song, B.; Jin, S. Modifying redox properties and local bonding of Co3O4 by CeO2 enhances oxygen evolution catalysis in acid. Nat. Commun. 2021, 12, 3036. [Google Scholar] [CrossRef] [PubMed]
- Zhao, F.; Wen, B.; Niu, W.; Chen, Z.; Yan, C.; Selloni, A.; Tully, C.; Yang, X.; Koel, B. Increasing iridium oxide activity for the oxygen evolution reaction with hafnium modification. J. Am. Chem. Soc. 2021, 143, 15616–15623. [Google Scholar] [CrossRef] [PubMed]
- Guo, H.; Fang, Z.; Li, H.; Fernandez, D.; Henkelman, G.; Humphrey, S.; Yu, G. Rational Design of Rhodium-Iridium Alloy Nanoparticles as Highly Active Catalysts for Acidic Oxygen Evolution. ACS Nano 2019, 13, 13225–13234. [Google Scholar] [CrossRef]
- Kumari, S.; Ajayi, B.P.; Kumar, B.; Jasinski, J.; Sunkara, M.; Spurgeon, J. A low-noble-metal W1−xIrxO3−δ water oxidation electrocatalyst for acidic media via rapid plasma synthesis. Energy Environ. Sci. 2017, 10, 2432–2440. [Google Scholar] [CrossRef]
- Diaz-Morales, O.; Raaijman, S.; Kortlever, R.; Kooyman, P.; Wezendonk, T.; Gascon, J.; Fu, W.; Koper, M. Iridium-Based Double Perovskites for Efficient Water Oxidation in Acid Media. Nat. Commun. 2016, 7, 12363. [Google Scholar] [CrossRef] [PubMed]
- Reier, T.; Pawolek, Z.; Cherevko, S.; Bruns, M.; Jones, T.; Teschner, D.; Selve, S.; Bergmann, A.; Nong, H.; Schlogl, R.; et al. Molecular Insight in Structure and Activity of Highly Efficient, Low-Ir Ir-Ni Oxide Catalysts for Electrochemical Water Splitting(OER). J. Am. Chem. Soc. 2015, 137, 13031–13040. [Google Scholar] [CrossRef] [PubMed]
- Velasco-Vélez, J.J.; Carbonio, E.A.; Chuang, C.H.; Hsu, C.-J.; Lee, J.-F.; Arrigo, R.; Havecker, M.; Wang, R.; Plodinec, M.; Wang, F.; et al. Surface electron-hole rich species active in the electrocatalytic water oxidation. J. Am. Chem. Soc. 2021, 143, 12524–12534. [Google Scholar] [CrossRef] [PubMed]
- Ma, Q.; Jin, H.; Zhu, J.; Li, Z.; Xu, H.; Liu, B.; Zhang, Z.; Ma, J.; Mu, S. Stabilizing Fe-N-C catalysts as model for oxygen reduction reaction. Adv. Sci. 2021, 8, 2102209. [Google Scholar] [CrossRef] [PubMed]
- Zu, L.; Qian, X.; Zhao, S.; Liang, Q.; Chen, Y.; Liu, M.; Su, B.-J.; Wu, K.-H.; Qu, L.; Duan, L.; et al. Self-assembly of Ir-based nanosheets with ordered interlayer space for enhanced electrocatalytic water oxidation. J. Am. Chem. Soc. 2022, 144, 2208–2217. [Google Scholar] [CrossRef] [PubMed]
- Fu, L.; Yang, F.; Cheng, G.; Luo, W. Ultrathin Ir nanowires as high-performance electrocatalysts for efficient water splitting in acidic media. Nanoscale 2018, 10, 1892–1897. [Google Scholar] [CrossRef]
- Pi, Y.; Zhang, N.; Guo, S.; Guo, J.; Huang, X. Ultrathin Laminar Ir Superstructure as Highly Efficient Oxygen Evolution Electrocatalyst in Broad pH Range. Nano Lett. 2016, 16, 4424–4430. [Google Scholar] [CrossRef] [PubMed]
- Audichon, T.; Napporn, T.W.; Canaff, C.; Morais, C.; Comminges, C.; Kokoh, K. IrO2 Coated on RuO2 as Efficient and Stable Electroactive Nanocatalysts for Electrochemical Water Splitting. J. Phys. Chem. C 2016, 120, 2562–2573. [Google Scholar] [CrossRef]
- Kim, Y.-T.; Lopes, P.P.; Park, S.-A.; Lee, A.-Y.; Lim, J.; Lee, H.; Back, S.; Jung, Y.; Danilovic, N.; Stamenkovic, V.; et al. Balancing activity stability and conductivity of nanoporous core-shell iridium/iridium oxide oxygen evolution catalysts. Nat. Commun. 2017, 8, 1149. [Google Scholar] [CrossRef] [PubMed]
- Su, J.; Ge, R.; Jiang, K.; Dong, Y.; Hao, F.; Tian, Z.; Chen, G.; Chen, L. Assembling Ultrasmall Copper-Doped Ruthenium Oxide Nanocrystals into Hollow Porous Polyhedra: Highly Robust Electrocatalysts for Oxygen Evolution in Acidic Media. Adv. Mater. 2018, 30, 1801351. [Google Scholar] [CrossRef] [PubMed]
- Kim, J.; Lee, H.; Cha, H.; Yoon, M.; Park, M.; Cho, J. Prospect and Reality of Ni-Rich Cathode for Commercialization. Adv. Energy Mater. 2017, 8, 1702028. [Google Scholar] [CrossRef]
- Seebauer, E.G.; Noh, K.W. Trends in semiconductor defect engineering at the nanoscale. Mater. Sci. Eng. R Rep. 2010, 70, 151–168. [Google Scholar] [CrossRef]
- Sun, J.; Xue, H.; Guo, N.; Song, T.; Hao, Y.-R.; Sun, J.; Zhang, P.; Wang, P. Synergetic Metal Defect and Surface Chemical Reconstruction into NiCo2S4/ZnS Heterojunction to Achieve Outstanding Oxygen Evolution Performance. Angew. Chem. Int. Ed. 2021, 60, 19435–19441. [Google Scholar] [CrossRef] [PubMed]
- Xiao, Z.; Huang, Y.C.; Dong, C.L.; Xie, C.; Liu, Z.; Du, S.; Chen, W.; Yan, D.; Tao, L.; Shu, Z.; et al. Operando identification of the dynamic behavior of oxygen vacancy-rich Co3O4 for oxygen evolution reaction. J. Am. Chem. Soc. 2020, 142, 12087–12095. [Google Scholar] [CrossRef] [PubMed]
- Zhu, J.; Huang, Y.; Mei, W.; Zhao, C.; Zhang, C.; Zhang, D.; Amiinu, D.; Mu, D. Effects of Intrinsic Pentagon Defects on Electrochemical Reactivity of Carbon Nanomaterials. Angew. Chem. Int. Ed. 2019, 58, 3859–3864. [Google Scholar] [CrossRef]
- Mudhoo, A.; Pittman, C.U. Synthesis, Attributes and Defect Control of Defect-Engineered Materials as Superior Adsorbents for Aqueous Species: A Review. J. Inorg. Organomet. Polym. Mater. 2022, 32, 4133–4159. [Google Scholar] [CrossRef]
- Hatmanto, A.D.; Kita, K. The kinetics of lattice distortion introduction and lattice relaxation at the surface of thermally-oxidized 4H-SiC (0001). Appl. Phys. Express 2019, 12, 055505. [Google Scholar] [CrossRef]
- Cheng, W.; Zhang, H.; Zhao, X.; Su, H.; Tang, F.; Tian, J.; Liu, Q. A metal-vacancy-solid-solution NiAlP nanowall array bifunctional electrocatalyst for exceptional all-pH overall water splitting. J. Mater. Chem. A 2018, 6, 9420–9427. [Google Scholar] [CrossRef]
- Zhang, H.-J.; Geng, J.; Cai, C.; Ma, Z.-F.; Ma, Z.; Yao, W.; Yang, J. Effect of doping order on metal-free heteroatoms dual-doped carbon as oxygen reduction electrocatalyst. Chin. Chem. Lett. 2021, 32, 745–749. [Google Scholar] [CrossRef]
- Kuznetsov, D.A.; Naeem, M.A.; Kumar, P.V.; Abdala, P.M.; Fedorov, A.; Muller, C.R. Tailoring Lattice Oxygen Binding in Ruthenium Pyrochlores to Enhance Oxygen Evolution Activity. J. Am. Chem. Soc. 2020, 142, 7883–7888. [Google Scholar] [CrossRef] [PubMed]
- Brahim, J.A.; Hak, S.A.; Achiou, B.; Boulif, R.; Beniazza, R.; Benhida, R. Kinetics and mechanisms of leaching of rare earth elements from secondary resources. Miner. Eng. 2022, 177, 107351. [Google Scholar] [CrossRef]
- Kanarik, K.J.; Tan, S.; Gottscho, R.A. Atomic Layer Etching: Rethinking the Art of Etch. J. Phys. Chem. Lett. 2018, 9, 4814–4821. [Google Scholar] [CrossRef]
- Zhang, J.; Xu, Q.; Qian, X.; Wang, X.; Zhang, K. A scalable strategy toward compliant tandem yarn-shaped supercapacitors with high voltage output. J. Mater. Chem. A. 2021, 9, 13916–13925. [Google Scholar] [CrossRef]
- Li, H.; Tsai, C.; Koh, A.L.; Cai, L.; Contryman, A.W.; Frangapane, A.H.; Zhao, J.; Han, H.S.; Manoharan, H.C.; Abild-Pedersen, F.; et al. Activating and optimizing MoS2 basal planes for hydrogen evolution through the formation of strained sulphur vacancies. Nat. Mater. 2015, 15, 48–53. [Google Scholar] [CrossRef] [PubMed]
- Yim, J.W.L.; Grigoropoulos, C.P.; Wu, J. Mismatched alloy nanowires for electronic structure tuning. Appl. Phys. Lett. 2011, 99, 233111. [Google Scholar] [CrossRef]
- Abbate, E.; Andrion, J.; Apel, A.; Biggs, M.; Chaves, J.; Cheung, K.; Ciesla, A.; Clark-ElSayed, A.; Clay, M.; Contridas, R.; et al. Optimizing the strain engineering process for industrial-scale production of bio-based molecules. J. Ind. Microbiol. Biotechnol. 2023, 50, kuad025. [Google Scholar] [CrossRef]
- Shin, H.; Katiyar, A.K.; Hoang, A.T. Nonconventional Strain Engineering for Uniform Biaxial Tensile Strain in MoS2 Thin Film Transistors. ACS Nano 2024, 18, 4414–4423. [Google Scholar] [CrossRef] [PubMed]
- Wen, Y.; Yang, T.; Cheng, C.; Zhao, X.; Liu, E.; Yang, J. Engineering Ru(IV) charge density in Ru@RuO2 core-shell electrocatalyst via tensile strain for efficient oxygen evolution in acidic media. Chin. J. Catal. 2020, 41, 1161–1167. [Google Scholar] [CrossRef]
- Han, B.; Risch, M.; Belden, S.; Bayer, D.; Mutoro, E.; Yang, S.-H. Screening Oxide Support Materials for OER Catalysts in Acid. J. Electrochem. Soc. 2018, 165, 813–820. [Google Scholar] [CrossRef]
- Moore, C.E.; Eastcott, J.; Cimenti, M.; Kremliakova, N.; Gyenge, E.L. Novel methodology for ex situ characterization of iridium oxide catalysts in voltage reversal tolerant proton exchange membrane fuel cell anodes. J. Power Sources 2019, 417, 53–60. [Google Scholar] [CrossRef]
- Chen, F.-Y.; Wu, Z.-Y.; Adler, Z.; Wang, H. Stability challenges of electrocatalytic oxygen evolution reaction: From mechanistic understanding to reactor design. Joule 2021, 5, 1704–1731. [Google Scholar] [CrossRef]
- Danilovic, N.; Subbaraman, R.; Chang, K.C.; Chang, S.H.; Kang, Y.J.; Snyder, J.; Paulikas, A.P.; Strmcnik, D.; Kim, Y.T.; Myers, D.; et al. Activity-Stability Trends for the Oxygen Evolution Reaction on Monometallic Oxides in Acidic Environments. J. Phys. Chem. Lett. 2014, 5, 2474–2478. [Google Scholar] [CrossRef]
- Chang, S.H.; Danilovic, N.; Chang, K.C.; Subbaraman, R.; Paulikas, A.P.; Fong, D.D.; Highland, M.J.; Baldo, P.M.; Stamenkovic, V.R.; Freeland, J.W.; et al. Functional Links between Stability and Reactivity of Strontium Ruthenate Single Crystals during Oxygen Evolution. Nat. Commun. 2014, 5, 4191. [Google Scholar] [CrossRef] [PubMed]
- Danilovic, N.; Subbaraman, R.; Strmcnik, D.; Chang, K.; Paulikas, A.P.; Stamenkovic, V.R.; Markovic, N.M. Enhancing the Alkaline Hydrogen Evolution Reaction Activity through the Bifunctionality of Ni(OH)2/Metal Catalysts. Angew. Chem. Int. Ed. 2012, 51, 12495–12498. [Google Scholar] [CrossRef] [PubMed]
- Zamora Zeledón, J.A.; Stevens, M.B.; Gunasooriya, G.T.K.K.; Gallo, A.; Landers, A.T.; Kreider, M.E.; Hahn, C.; Nørskov, J.K.; Jaramillo, T.F. Tuning the electronic structure of Ag-Pd alloys to enhance performance for alkaline oxygen reduction. Nat. Commun. 2021, 12, 620. [Google Scholar] [CrossRef]
- Liang, X.; Shi, L.; Cao, R.; Wan, G.; Yan, W.; Chen, H.; Liu, Y.; Zou, X. Perovskite-Type Solid Solution Nano-Electrocatalysts Enable Simultaneously Enhanced Activity and Stability for Oxygen Evolution. Adv. Mater. 2020, 32, 2001430. [Google Scholar] [CrossRef]
- Kasian, O.; Geiger, S.; Li, T.; Grote, J.-P.; Schweinar, K.; Zhang, S.; Scheu, C.; Raabe, D.; Cherevko, S.; Gault, B.; et al. Degradation of Iridium Oxides via Oxygen Evolution from the Lattice: Correlating Atomic Scale Structure with Reaction Mechanisms. Energy Environ. Sci. 2019, 12, 3548–3555. [Google Scholar] [CrossRef]
- Reier, T.; Oezaslan, M.; Strasser, P. Electrocatalytic Oxygen Evolution Reaction (OER) on Ru, Ir, and Pt Catalysts: A Comparative Study of Nanoparticles and Bulk Materials. ACS Catal. 2012, 2, 1765–1772. [Google Scholar] [CrossRef]
- Sardar, K.; Petrucco, E.; Hiley, C.I.; Sharman, J.D.B.; Wells, P.P.; Russell, A.E.; Kashtiban, R.J.; Sloan, J.; Walton, R.I. Water-Splitting Electrocatalysis in Acid Conditions Using Ruthenate-Iridate Pyrochlores. Angew. Chem. Int. Ed. 2014, 53, 10960–10964. [Google Scholar] [CrossRef] [PubMed]
- Oh, H.-S.; Nong, H.N.; Reier, T.; Gliech, M.; Strasser, P. Oxide-supported Ir nanodendrites with high activity and durability for the oxygen evolution reaction in acid PEM water electrolyzers. Chem. Sci. 2015, 6, 3321–3328. [Google Scholar] [CrossRef]
- Wang, K.; Huang, B.; Zhang, W.; Lv, F.; Xing, Y.; Zhang, W.; Zhou, J.; Yang, W.; Lin, F.; Zhou, P.; et al. Ultrathin RuRh@(RuRh)O2 core@shell nanosheets as stable oxygen evolution electrocatalysts. J. Mater. Chem. A 2020, 8, 15746–15751. [Google Scholar] [CrossRef]
- Sekine, Y.; Koyama, H.; Matsukata, M.; Kikuchi, E. Plasma-assisted oxidation of carbon particle by lattice oxygen on/in oxide catalyst. Fuel 2013, 103, 2–6. [Google Scholar] [CrossRef]
- Hwang, J.; Rao, R.R.; Giordano, L.; Katayama, Y.; Yu, Y.; Horn, Y.S. Perovskites in catalysis and electrocatalysis. Science 2017, 358, 751–756. [Google Scholar] [CrossRef]
- Abrokwah, R.Y.; Ntow, E.B.; Jennings, T. Cr and CeO2 promoted Ni/SBA-15 framework for hydrogen production by steam reforming of glycerol. Environ. Sci. Pollut. Res. 2023, 30, 120945–120962. [Google Scholar] [CrossRef]
- Raman, A.S.; Patel, R.; Vojvodic, A. Surface stability of perovskite oxides under OER operating conditions: A first principles approach. Faraday Discuss. 2021, 229, 75–88. [Google Scholar] [CrossRef]
- Kim, B.-J.; Fabbri, E.; Borlaf, M.; Abbott, D.F.; Castelli, I.E.; Nachtegaal, M.; Graule, T.; Schmidt, T.J. Oxygen evolution reaction activity and underlying mechanism of perovskite electrocatalysts at different pH. Mater. Adv. 2021, 2, 345–355. [Google Scholar] [CrossRef]
- Yang, L.; Yu, G.; Ai, X.; Yan, W.; Duan, H.; Chen, W.; Li, X.; Wang, T.; Zhang, C.; Huang, X.; et al. Efficient oxygen evolution electrocatalysis in acid by a perovskite with face-sharing IrO6 octahedral dimers. Nat. Commun. 2018, 9, 5236. [Google Scholar] [CrossRef] [PubMed]
- Kim, J.; Shih, P.-C.; Tsao, K.-C.; Pan, Y.-C.; Sun, C.-J.; Yang, H. High-Performance Pyrochlore-Type Yttrium Ruthenate Electrocatalyst for Oxygen Evolution Reaction in Acidic Media. J. Am. Chem. Soc. 2017, 139, 12076–12083. [Google Scholar] [CrossRef] [PubMed]
- Hao, S.; Liu, M.; Pan, J.; Liu, X.; Tan, X.; Xu, N.; He, Y.; Lei, L.; Zhang, X. Dopants fixation of Ruthenium for boosting acidic oxygen evolution stability and activity. Nat. Commun. 2020, 11, 5368. [Google Scholar] [CrossRef] [PubMed]
- Shi, L.; Chen, H.; Liang, X.; Liu, Y.; Zou, X. Theoretical Insights into Nonprecious Oxygen-Evolution Active Sites in Ti-Ir-Based Perovskite Solid Solution Electrocatalysts. J. Mater. Chem. A 2020, 8, 218–223. [Google Scholar] [CrossRef]
- Zhang, F.-F.; Cheng, C.-Q.; Wang, J.-Q.; Shang, L.; Feng, Y.; Zhang, Y.; Mao, J.; Guo, Q.-J.; Xie, Y.-M.; Dong, C.-K.; et al. Iridium Oxide Modified with Silver Single Atom for Boosting Oxygen Evolution Reaction in Acidic Media. ACS Energy Lett. 2021, 6, 1588–1595. [Google Scholar] [CrossRef]
- Cherevko, S. Stability and dissolution of electrocatalysts: Building the bridge between model and “real world” systems. Curr. Opin. Electrochem. 2018, 8, 118–125. [Google Scholar] [CrossRef]
- Xu, J.; Lian, Z.; Wei, B.; Li, Y.; Bondarchuk, O.; Zhang, N.; Yu, Z.-P.; Araujo, A.; Amorim, I.; Wang, Z.-C.; et al. Strong Electronic Coupling between Ultrafine Iridium-Ruthenium Nanoclusters and Conductive, Acid-Stable Tellurium Nanoparticle Support for Efficient and Durable Oxygen Evolution in Acidic and Neutral Media. ACS Catal. 2020, 10, 3571–3579. [Google Scholar] [CrossRef]
- Li, W.; Yu, A.; Higgins, D.C.; Llanos, B.G.; Chen, Z. Biologically Inspired Highly Durable Iron Phthalocyanine Catalysts for Oxygen Reduction Reaction in Polymer Electrolyte Membrane Fuel Cells. J. Am. Chem. Soc. 2010, 132, 17056–17058. [Google Scholar] [CrossRef] [PubMed]
- Kumar, K.; Gairola, P.; Lions, M.; Ranibar-Sahraie, N.; Mermoux, M.; Dubau, L.; Zitolo, A.; Jaouen, F.; Maillard, F. Physical and Chemical Considerations for Improving Catalytic Activity and Stability of Non-Precious Metal Oxygen Reduction Reaction Catalysts. ACS Catal. 2018, 8, 11264–11276. [Google Scholar] [CrossRef]
- Higgins, D.; Hoque, M.A.; Seo, M.H.; Wang, R.; Hassan, F.; Choi, J.Y.; Pritzker, M.; Yu, A.; Zhang, J.; Chen, Z. Development and Simulation of Sulfur-doped Graphene Supported Platinum with Exemplary Stability and Activity Towards Oxygen Reduction. Adv. Funct. Mater. 2014, 24, 4325–4336. [Google Scholar] [CrossRef]
- Miyazaki, H.; Tateishi, S.; Matsunami, M. Direct observation of pseudo-gap electronic structure in the Heusler-type Fe2VAl thin film. J. Electron Spectrosc. Relat. Phenom. 2019, 231, 1–4. [Google Scholar] [CrossRef]
- Zhang, R.; Wang, L.; Pan, L.; Chen, Z.; Jia, W.; Zhang, X.; Zou, J. Solid-acid-mediated electronic structure regulation of electrocatalysts and scaling relation breaking of oxygen evolution reaction. Appl. Catal. B Environ. 2020, 277, 119237. [Google Scholar] [CrossRef]
- Escalera-López, D.; Jensen, K.D.; Rees, N.V.; Escudero-Escribanox, M. Electrochemically Decorated Iridium Electrodes with WS3−x Toward Improved Oxygen Evolution Electrocatalyst Stability in Acidic Electrolytes. Adv. Sustain. Syst. 2021, 5, 2000284. [Google Scholar] [CrossRef]
- Cherevko, S. Stabilization of non-noble metal electrocatalysts for acidic oxygen evolution reaction. Curr. Opin. Electrochem. 2023, 38, 101213. [Google Scholar] [CrossRef]
- Wang, Z.; Zheng, Y.-R.; Chorkendorff, I.; Nørskov, J.K. Acid-stable oxides for oxygen electrocatalysis. ACS Energy Lett. 2020, 5, 2905–2908. [Google Scholar] [CrossRef]
- Tran-Phu, T.; Chen, H.; Daiyan, R.; Chatti, M.; Liu, B.; Amal, R.; Liu, Y.; Macfarlane, D.R.; Simonov, A.N.; Tricoli, A. Nanoscale TiO2 coatings improve the stability of an earth-abundant cobalt oxide catalyst during acidic water oxidation. ACS Appl. Mater. Interfaces 2022, 12, 33130–33140. [Google Scholar] [CrossRef]





















| Catalyst | Overpotential 10 mA cm−2 | Tafel Slope | Stability | Mass Activity 300 mV | Ref. |
|---|---|---|---|---|---|
| TiO2-modified MnO2 | 510 @ 1 mA cm−2 | 170 | 2 h @ 1.8 V vs. RHE | - | [22] |
| F-doped Cu1.5Mn1.5O4 | 320 @ 9.15 mA cm−2 | 60 | 24 h @ 1.55 V vs. RHE | 61 A g−1 @ 320 mV | [23] |
| C3N4–CNT | 370 | 129 | 14 h @ 1.63 V vs. RHE | [24] | |
| 1 T MoS2 | 420 | 322 | 2 h @ 10 mA cm−2 | 5 A g−1 | [25] |
| Co3O4-CP | 370 | 82 | 86.8 h @ 100 mA cm−2 | [26] | |
| Co3O4 | 570 | 12 h @ 10 mA cm−2 | [27] | ||
| Ni0.5Mn0.5Sb1.7Oy | 672 | 85 | 168 h @ 10 mA cm−2 | [28] | |
| Ba [Co-POM] | 361 | 97 | 24 h @ 1.48 V | [29] | |
| N-WC nanoarray | 250 | 1 h @ 10 mA cm−2 | [30] | ||
| Ni2Ta | 570 | 66 h @ 10 mA cm−2 | [31] | ||
| Ni42Li2O5 | 445 | 260 | 41.7 h @ 10 mA cm−2 | [32] | |
| Co-doped MoS2 nanosheets | 670 | 245.92 | 11.11 h @ 1.8 V vs. RHE | [33] | |
| Co2TiO4 | 513 | 320 | [34] | ||
| TiB2 | 560 | 11 h @ 10 mA cm−2 | [35] | ||
| Co0.05Fe0.95Oy | 650 | 110 | 50 h @ 10 mA cm−2 | [36] | |
| γ-MnO2 | 428 | 80 | 8000 h @ 10 mA cm−2 | [37] | |
| Co-ZIF | 405 | 281 | 12 h @ 1.635 V vs. RHE | [38] | |
| CoSAs-MoS2/TiN NRs | 454.9 mV | 165.5 | 45 h @ 50 mA cm−2 | [39] | |
| MnFeF4.6O0.2 | 195 | 20 h @ 10 mA cm−2 | [40] |
| Catalyst | η @ 10 mA cm−2 (mV) | m @ 1.53 V vs. RHE (A mg−1 Metal) | jm @ 1.53 V vs. RHE (A mg−1 Ir) | TOF (s−1) | Tafel Slope (mV dec−1) |
|---|---|---|---|---|---|
| Rh/VXC | 495 ± 9 | 0.060 ± 0.006 | - | 0.371 ± 0.040 | 141 |
| Rh73Ir27/VXC | 371 ± 7 | 0.172 ± 0.021 | 0.422 ± 0.050 | 0.993 ± 0.119 | 108 |
| Rh49Ir51/VXC | 314 ± 2 | 0.482 ± 0.013 | 0.730 ± 0.020 | 3.166 ± 0.085 | 103 |
| Rh22Ir78/VXC | 292 ± 1 | 1.020 ± 0.017 | 1.174 ± 0.020 | 5.095 ± 0.085 | 101 |
| Ir/VXC | 340 ± 11 | 0.349 ± 0.051 | 0.349 ± 0.051 | 1.745 ± 0.256 | 111 |
| Catalyst | ECSA (cm2) | TOFECSA(s−1) | TOFTEM (s−1) |
|---|---|---|---|
| Rh/VXC | 495 ± 9 | 0.371 ± 0.040 | 0.072 ± 0.008 |
| Rh73Ir27/VXC | 371 ± 7 | 0.993 ± 0.119 | 0.200 ± 0.024 |
| Rh49Ir51/VXC | 314 ± 2 | 3.166 ± 0.085 | 0.533 ± 0.014 |
| Rh22Ir78/VXC | 292 ± 1 | 5.095 ± 0.085 | 1.015 ± 0.017 |
| Ir/VXC | 340 ± 11 | 1.745 ± 0.256 | 0.278 ± 0.041 |
Disclaimer/Publisher’s Note: The statements, opinions and data contained in all publications are solely those of the individual author(s) and contributor(s) and not of MDPI and/or the editor(s). MDPI and/or the editor(s) disclaim responsibility for any injury to people or property resulting from any ideas, methods, instructions or products referred to in the content. |
© 2024 by the authors. Licensee MDPI, Basel, Switzerland. This article is an open access article distributed under the terms and conditions of the Creative Commons Attribution (CC BY) license (https://creativecommons.org/licenses/by/4.0/).
Share and Cite
Yan, Z.; Guo, S.; Tan, Z.; Wang, L.; Li, G.; Tang, M.; Feng, Z.; Yuan, X.; Wang, Y.; Cao, B. Research Advances of Non-Noble Metal Catalysts for Oxygen Evolution Reaction in Acid. Materials 2024, 17, 1637. https://doi.org/10.3390/ma17071637
Yan Z, Guo S, Tan Z, Wang L, Li G, Tang M, Feng Z, Yuan X, Wang Y, Cao B. Research Advances of Non-Noble Metal Catalysts for Oxygen Evolution Reaction in Acid. Materials. 2024; 17(7):1637. https://doi.org/10.3390/ma17071637
Chicago/Turabian StyleYan, Zhenwei, Shuaihui Guo, Zhaojun Tan, Lijun Wang, Gang Li, Mingqi Tang, Zaiqiang Feng, Xianjie Yuan, Yingjia Wang, and Bin Cao. 2024. "Research Advances of Non-Noble Metal Catalysts for Oxygen Evolution Reaction in Acid" Materials 17, no. 7: 1637. https://doi.org/10.3390/ma17071637
APA StyleYan, Z., Guo, S., Tan, Z., Wang, L., Li, G., Tang, M., Feng, Z., Yuan, X., Wang, Y., & Cao, B. (2024). Research Advances of Non-Noble Metal Catalysts for Oxygen Evolution Reaction in Acid. Materials, 17(7), 1637. https://doi.org/10.3390/ma17071637
