Enhanced Cathode Performance in Pr0.5Sr0.5FeO3−δ of Perovskite Catalytic Materials via Doping with VB Subgroup Elements (V, Nb, and Ta)
Abstract
1. Introduction
2. Experimental and Calculation Methods
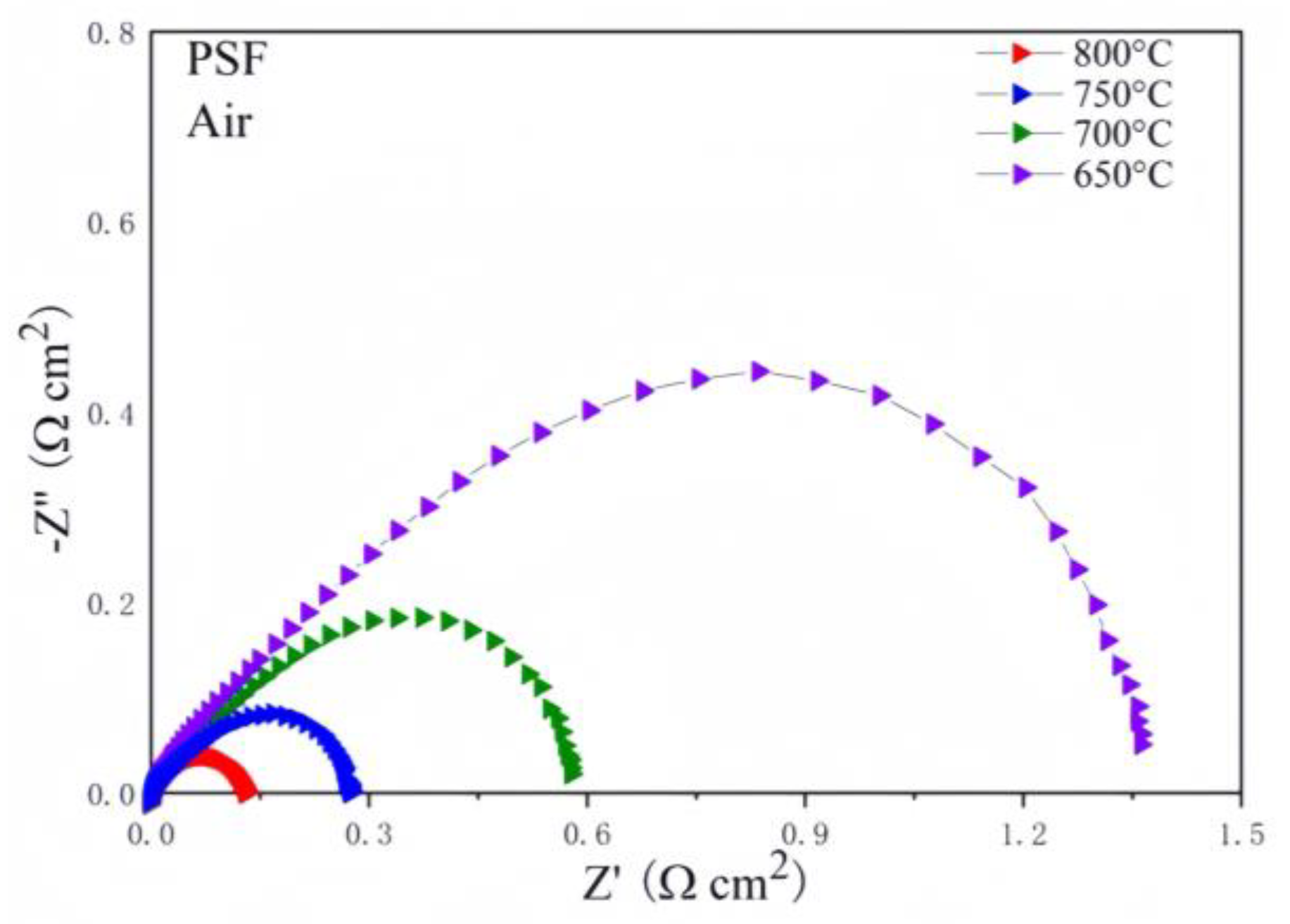
2.1. Experimental Methods
2.2. Calculation Methods
3. Results and Discussion
3.1. Surface Material Stability of VB Metal-Doped PSF
3.1.1. Surface Formation Energy of VB Metal-Doped PSF
3.1.2. Oxygen Vacancy (VO) Stability on the Pr0.5Sr0.5FeO3−δ Cathode Surface
3.2. PSF (001) Cathode Surface
3.2.1. Catalytic Properties
3.2.2. Charge Transfer Condition
3.2.3. Adsorption Structure d-Band Center
3.2.4. Initial and Final States of the Pr0.5Sr0.5FeO3−δ (001) Doping System
3.3. ORR Mechanism of Nb-Doped Pr0.5Sr0.5FeO3−δ (001)
3.3.1. ORR Mechanism of PSF
3.3.2. Crystal Structure and Electronic Properties
3.3.3. ORR Mechanism
4. Conclusions
Author Contributions
Funding
Data Availability Statement
Conflicts of Interest
References
- Ismael, I.; El-Fergany, A.A.; Gouda, E.A.; Kotb, M.F. Cooperation Search Algorithm for Optimal Parameters Identification of SOFCs Feeding Electric Vehicle at Steady and Dynamic Modes. Int. J. Hydrogen Energy 2023, 50, 1395–1407. [Google Scholar] [CrossRef]
- Yokokawa, H.; Sakai, N.; Horita, T.; Yamaji, K.; Brito, M.E. Electrolytes for Solid- Oxide Fuel Cells. MRS Bull. 2005, 30, 591–595. [Google Scholar] [CrossRef]
- Badwal, S.P.S.; Foger, K. Solid Oxide Electrolyte Fuel Cell Review. Ceram. Int. 1996, 22, 257–265. [Google Scholar] [CrossRef]
- Irshad, M.; Baber, K.; Butt, M.S.; Hanif, M.B.; Asad, M.; Ghaffar, A.; Rafique, M.; Hussain, I.; Al-Anazy, M.M.; Makarov, H.; et al. Synergistic Role of Biomolecules and Bio-Chelating Agents in the Sustainable Development of an Efficient BaCe0.97M0.03O3−δ (M = Sm, Gd) Perovskite Electrolyte for IT-SOFC. Ceram. Int. 2023, 49, 38360–38366. [Google Scholar] [CrossRef]
- Basbus, J.F.; Cademartori, D.; Asensio, A.M.; Clematis, D.; Savio, L.; Pani, M.; Gallus, E.; Carpanese, M.P.; Barbucci, A.; Presto, S.; et al. Study of a Novel Microstructured Air Electrode/Electrolyte Interface for Solid Oxide Cells. Appl. Surf. Sci. 2024, 652, 159372. [Google Scholar] [CrossRef]
- Woo, S.H.; Song, K.E.; Baek, S.-W.; Kang, H.; Choi, W.; Shin, T.H.; Park, J.-Y.; Kim, J.H. Pr- and Sm-Substituted Layered Perovskite Oxide Systems for IT-SOFC Cathodes. Energies 2021, 14, 6739. [Google Scholar] [CrossRef]
- Bin Mohd Abd Fatah, A.F.; Murat, M.N.; Hamid, N.A. LSCF-CuO as Promising Cathode for IT SOFC. J. Eng. Technol. Sci. 2021, 53, 210411. [Google Scholar] [CrossRef]
- Zamudio-García, J.; Porras-Vázquez, J.M.; Losilla, E.R.; Marrero-López, D. Enhancing the Electrochemical Performance in Symmetrical Solid Oxide Cells through Nanoengineered Redox-Stable Electrodes with Exsolved Nanoparticles. ACS Appl. Mater. Interfaces 2024, 16, 555–568. [Google Scholar] [CrossRef]
- Sadykov, V.A.; Eremeev, N.F.; Sadovskaya, E.M.; Shlyakhtina, A.V.; Pikalova, E.Y.; Osinkin, D.A.; Yaremchenko, A.A. Design of Materials for Solid Oxide Fuel Cells, Permselective Membranes, and Catalysts for Biofuel Transformation into Syngas and Hydrogen Based on Fundamental Studies of Their Real Structure, Transport Properties, and Surface Reactivity. Curr. Opin. Green Sustain. Chem. 2022, 33, 100558. [Google Scholar] [CrossRef]
- Dholabhai, P.P.; Adams, J.B.; Crozier, P.; Sharma, R. A Density Functional Study of Defect Migration in Gadolinium Doped Ceria. Phys. Chem. Chem. Phys. 2010, 12, 7904. [Google Scholar] [CrossRef]
- Figueiredo, F.M.L.; Marques, F.M.B. Electrolytes for Solid Oxide Fuel Cells. WIREs Energy Environ. 2013, 2, 52–72. [Google Scholar] [CrossRef]
- Kilner, J.A.; Burriel, M. Materials for Intermediate-Temperature Solid-Oxide Fuel Cells. Annu. Rev. Mater. Res. 2014, 44, 365–393. [Google Scholar] [CrossRef]
- Jacobson, A.J. Materials for Solid Oxide Fuel Cells. Chem. Mater. 2010, 22, 660–674. [Google Scholar] [CrossRef]
- Pang, S.; Yang, G.; Su, Y.; Xu, J.; Shen, X.; Zhu, M.; Wu, X.; Li, S.; Chen, C. A-Site Cation Deficiency Tuned Oxygen Transport Dynamics of Perovskite Pr0.5Ba0.25−xCa0.25CoO3−δ Oxide for Intermediate Temperature Solid Oxide Fuel Cells. Ceram. Int. 2019, 45, 14602–14607. [Google Scholar] [CrossRef]
- Adler, S.B. Factors Governing Oxygen Reduction in Solid Oxide Fuel Cell Cathodes. Chem. Rev. 2004, 104, 4791–4844. [Google Scholar] [CrossRef]
- Teketel, B.S.; Beshiwork, B.A.; Desta, H.G.; Wang, S.; Li, Z.; Luo, X.; Workneh, G.A.; Lin, B. Ta/Nb Doping Motivating Cubic Phase Stability and CO2 Tolerance of Sr2Co1.6Fe0.4O6−δ Double Perovskite for High-Performing SOFC Cathode. Ceram. Int. 2024, 50, 11246–11258. [Google Scholar] [CrossRef]
- Woo, S.H.; Yang, H.J.; Kim, Y. Investigation of the Effect of Off-Stoichiometric Composition on Oxygen Transport in Layered Perovskite Materials for SOFC Cathode. Mater. Lett. 2024, 361, 136114. [Google Scholar] [CrossRef]
- Mishchenko, D.D.; Arapova, M.V.; Bespalko, Y.N.; Vinokurov, Z.S.; Shmakov, A.N. In Situ XRD and TGA/DTA Study of Multiphase La- and Nd-Substituted Pr2NiO4 under IT-SOFC Cathode Operating Conditions. J. Alloys Compd. 2023, 967, 171693. [Google Scholar] [CrossRef]
- Priya, S.D.; Nesaraj, A.S.; Selvakumar, A.I. Facile Wet-Chemical Synthesis and Evaluation of Physico-Chemical Characteristics of Novel Nanocrystalline NdCoO3-Based Perovskite Oxide as Cathode for LT-SOFC Applications. Bull. Mater. Sci. 2021, 44, 115. [Google Scholar] [CrossRef]
- Siebenhofer, M.; Nenning, A.; Wilson, G.E.; Kilner, J.A.; Rameshan, C.; Kubicek, M.; Fleig, J.; Blaha, P. Electronic and Ionic Effects of Sulphur and Other Acidic Adsorbates on the Surface of an SOFC Cathode Material. J. Mater. Chem. A 2023, 11, 7213–7226. [Google Scholar] [CrossRef]
- Hodges, J.P.; Short, S.; Jorgensen, J.D.; Xiong, X.; Dabrowski, B.; Mini, S.M.; Kimball, C.W. Evolution of Oxygen-Vacancy Ordered Crystal Structures in the Perovskite Series SrnFenO3n−1 (n = 2, 4, 8, and ∞), and the Relationship to Electronic and Magnetic Properties. J. Solid State Chem. 2000, 151, 190–209. [Google Scholar] [CrossRef]
- Pérez García, M. Universitat Politècnica de València. Ing. Del Agua 2014, 18, ix. [Google Scholar]
- Ding, X.; Kong, X.; Wang, X.; Jiang, J.; Cui, C. Characterization and Optimization of Ln1.7Sr0.3CuO4 (Ln = La, Nd)-Based Cathodes for Intermediate Temperature Solid Oxide Fuel Cells. J. Alloys Compd. 2010, 502, 472–476. [Google Scholar] [CrossRef]
- Yao, C.; Zhang, H.; Dong, Y.; Zhang, R.; Meng, J.; Meng, F. Characterization of Ta/W Co-Doped SrFeO3−δ Perovskite as Cathode for Solid Oxide Fuel Cells. J. Alloys Compd. 2019, 797, 205–212. [Google Scholar] [CrossRef]
- Jiang, S.; Sunarso, J.; Zhou, W.; Shen, J.; Ran, R.; Shao, Z. Cobalt-Free SrNbxFe1−xO3−δ (x = 0.05, 0.1 and 0.2) Perovskite Cathodes for Intermediate Temperature Solid Oxide Fuel Cells. J. Power Sources 2015, 298, 209–216. [Google Scholar] [CrossRef]
- Xia, W.; Li, Q.; Sun, L.; Huo, L.; Zhao, H. Electrochemical Performance of Sn-Doped Bi0.5Sr0.5FeO3−δ Perovskite as Cathode Electrocatalyst for Solid Oxide Fuel Cells. J. Alloys Compd. 2020, 835, 155406. [Google Scholar]
- Gao, L.; Zhu, M.; Li, Q.; Sun, L.; Zhao, H.; Grenier, J.-C. Electrode Properties of Cu-Doped Bi0.5Sr0.5FeO3−δ Cobalt-Free Perovskite as Cathode for Intermediate-Temperature Solid Oxide Fuel Cells. J. Alloys Compd. 2017, 700, 29–36. [Google Scholar] [CrossRef]
- Gao, J.; Li, Q.; Sun, L.; Huo, L.; Zhao, H. Enhanced Electrocatalytic Activity and CO2 Tolerant Bi0.5Sr0.5Fe1−xTaxO3−δ as Cobalt-Free Cathode for Intermediate-Temperature Solid Oxide Fuel Cells. Ceram. Int. 2019, 45, 20226–20233. [Google Scholar] [CrossRef]
- Ghoneum, M.; Badr El-Din, N.K.; Alaa El-Dein, M. Anti-Radiation Effect of MRN-100: A Hydro-Ferrate Fluid, in Vivo. J. Radiat. Res. 2024, 65, 145–148. [Google Scholar] [CrossRef]
- Niu, Y.; Zhou, W.; Sunarso, J.; Ge, L.; Zhu, Z.; Shao, Z. High Performance Cobalt-Free Perovskite Cathode for Intermediate Temperature Solid Oxide Fuel Cells. J. Mater. Chem. 2010, 20, 9619. [Google Scholar] [CrossRef]
- Mushtaq, N.; Xia, C.; Dong, W.; Abbas, G.; Raza, R.; Ali, A.; Rauf, S.; Wang, B.; Kim, J.-S.; Zhu, B. Perovskite SrFe1−xTixO3−δ (x < = 0.1) Cathode for Low Temperature Solid Oxide Fuel Cell. Ceram. Int. 2018, 44, 10266–10272. [Google Scholar]
- Zhu, Z.; Wei, Z.; Zhao, Y.; Chen, M.; Wang, S. Properties Characterization of Tungsten Doped Strontium Ferrites as Cathode Materials for Intermediate Temperature Solid Oxide Fuel Cells. Electrochim. Acta 2017, 250, 203–211. [Google Scholar] [CrossRef]
- Porotnikova, N.; Osinkin, D. Segregation and Interdiffusion Processes in Perovskites: A Review of Recent Advances. J. Mater. Chem. A 2024, 12, 2620–2646. [Google Scholar] [CrossRef]
- Kim, D.-Y.; Park, C.-H.; Park, B.-K. Enhancing Sr-Deficient Sr (Ti0.3Fe0.7) O3–δ Cathode Performance through Sm0.5Sr0.5CoO3–δ Infiltration. J. Electrochem. Soc. 2024, 171, 034504. [Google Scholar] [CrossRef]
- Porotnikova, N.M.; Khodimchuk, A.V.; Zakharov, D.M.; Bogdanovich, N.M.; Osinkin, D.A. Enhancement of Surface Exchange and Oxygen Diffusion of Sr1.95Fe1.4Ni0.1Mo0.5O6–δ Oxide Determined by Two Independent Isotope Exchange Methods. Appl. Surf. Sci. 2023, 613, 156015. [Google Scholar] [CrossRef]
- Porotnikova, N.; Zakharov, D.; Khodimchuk, A.; Kurumchin, E.; Osinkin, D. Determination of Kinetic Parameters and Identification of the Rate-Determining Steps in the Oxygen Exchange Process for LaNi0.6Fe0.4O3−δ. IJMS 2023, 24, 13013. [Google Scholar] [CrossRef]
- Gao, L.; Li, Q.; Sun, L.; Zhang, X.; Huo, L.; Zhao, H.; Grenier, J.-C. A Novel Family of Nb-Doped Bi0.5Sr0.5FeO3–δ Perovskite as Cathode Material for Intermediate-Temperature Solid Oxide Fuel Cells. J. Power Sources 2017, 371, 86–95. [Google Scholar] [CrossRef]
- Gao, L.; Li, Q.; Sun, L.; Xia, T.; Huo, L.; Zhao, H.; Grenier, J.-C. Antimony-Doped Bi0.5 Sr 0.5 FeO 3−δ as a Novel Fe-Based Oxygen Reduction Electrocatalyst for Solid Oxide Fuel Cells below 600 °C. J. Mater. Chem. A 2018, 6, 15221–15229. [Google Scholar] [CrossRef]
- Liu, J.-W.; Li, Q.; Sun, L.-P.; Huo, L.-H.; Zhao, H.; Jean-Marc, B.; Sébastien, F.; Jean-Claude, G. Tuning the High Temperature Properties of PrSrCoO4 Cathode with Cu2+ Dopant for Intermediate Temperature Solid Oxide Fuel Cells. Renew. Energy 2020, 159, 486–493. [Google Scholar] [CrossRef]
- Wang, J.; Lam, K.Y.; Saccoccio, M.; Gao, Y.; Chen, D.; Ciucci, F. Ca and In Co-Doped BaFeO3−δ as a Cobalt-Free Cathode Material for Intermediate-Temperature Solid Oxide Fuel Cells. J. Power Sources 2016, 324, 224–232. [Google Scholar] [CrossRef]
- Chen, K.; He, S.; Li, N.; Cheng, Y.; Ai, N.; Chen, M.; Rickard, W.D.A.; Zhang, T.; Jiang, S.P. Nb and Pd Co-Doped La0.57Sr0.38Co0.19Fe0.665Nb0.095Pd0.05O3−δ as a Stable, High Performance Electrode for Barrier-Layer-Free Y2O3-ZrO2 Electrolyte of Solid Oxide Fuel Cells. J. Power Sources 2018, 378, 433–442. [Google Scholar] [CrossRef]
- Yao, C.; Yang, J.; Zhang, H.; Meng, J.; Meng, F. Cobalt-free Perovskite SrTa0.1Mo0.1Fe0.8O3- δ as Cathode for Intermediate-temperature Solid Oxide Fuel Cells. Int. J. Energy Res. 2020, 44, 925–933. [Google Scholar] [CrossRef]
- Kresse, G.; Joubert, D. From Ultrasoft Pseudopotentials to the Projector Augmented-Wave Method. Phys. Rev. B 1999, 59, 1758–1775. [Google Scholar] [CrossRef]
- Kresse, G.; Furthmüller, J. Efficient Iterative Schemes for Ab Initio Total-Energy Calculations Using a Plane-Wave Basis Set. Phys. Rev. B 1996, 54, 11169–11186. [Google Scholar] [CrossRef]
- Kulik, H.J.; Cococcioni, M.; Scherlis, D.A.; Marzari, N. Density Functional Theory in Transition-Metal Chemistry: A Self-Consistent Hubbard U Approach. Phys. Rev. Lett. 2006, 97, 0031–9007. [Google Scholar] [CrossRef]
- Solovyev, I.V.; Dederichs, P.H.; Anisimov, V.I. Corrected Atomic Limit in the Local-Density Approximation and the Electronic Structure of d Impurities in Rb. Phys. Rev. B 1994, 50, 0163–1829. [Google Scholar] [CrossRef]
- Suen, Y.W. Anomalous Temperature Dependence of the Correlated V = 1 Quantum Hall Effect in Bilayer Electron Systems. Phys. Rev. B 1994, 50, 0163–1829. [Google Scholar]












| Materials | a (Å) | b (Å) | c (Å) | Unit Volume (V, Å3) |
|---|---|---|---|---|
| PSF | 5.487 | 7.761 | 5.489 | 233.798 |
| PSFN | 5.542 | 7.820 | 5.546 | 240.494 |
Disclaimer/Publisher’s Note: The statements, opinions and data contained in all publications are solely those of the individual author(s) and contributor(s) and not of MDPI and/or the editor(s). MDPI and/or the editor(s) disclaim responsibility for any injury to people or property resulting from any ideas, methods, instructions or products referred to in the content. |
© 2024 by the authors. Licensee MDPI, Basel, Switzerland. This article is an open access article distributed under the terms and conditions of the Creative Commons Attribution (CC BY) license (https://creativecommons.org/licenses/by/4.0/).
Share and Cite
Chen, H.; Lü, Z.; Wu, Y. Enhanced Cathode Performance in Pr0.5Sr0.5FeO3−δ of Perovskite Catalytic Materials via Doping with VB Subgroup Elements (V, Nb, and Ta). Materials 2024, 17, 1635. https://doi.org/10.3390/ma17071635
Chen H, Lü Z, Wu Y. Enhanced Cathode Performance in Pr0.5Sr0.5FeO3−δ of Perovskite Catalytic Materials via Doping with VB Subgroup Elements (V, Nb, and Ta). Materials. 2024; 17(7):1635. https://doi.org/10.3390/ma17071635
Chicago/Turabian StyleChen, Hongfei, Zhe Lü, and Yujie Wu. 2024. "Enhanced Cathode Performance in Pr0.5Sr0.5FeO3−δ of Perovskite Catalytic Materials via Doping with VB Subgroup Elements (V, Nb, and Ta)" Materials 17, no. 7: 1635. https://doi.org/10.3390/ma17071635
APA StyleChen, H., Lü, Z., & Wu, Y. (2024). Enhanced Cathode Performance in Pr0.5Sr0.5FeO3−δ of Perovskite Catalytic Materials via Doping with VB Subgroup Elements (V, Nb, and Ta). Materials, 17(7), 1635. https://doi.org/10.3390/ma17071635

