Synthesis and Characterisation of Hemihydrate Gypsum–Polyacrylamide Composite: A Novel Inorganic/Organic Cementitious Material
Abstract
1. Introduction
2. Materials and Methods
2.1. Materials
2.2. Preparation of PAM Precursor Solutions
2.3. Preparation and Mechanical Property Testing of α-HHG/PAM Composites
2.4. Evaluation of Physical Properties of α-HHG/PAM Composite Slurry
- (1)
- Temperature Change. PAM precursor solution was added to 100 g of α-HHG and thoroughly mixed to formulate a standard-consistency α-HHG/PAM composite slurry. Subsequently, an automated temperature sensor (DS18B20, Dallas Semiconductor, Dallas, TX, USA) was promptly inserted into the slurry. The temperature changes during the hydration and hardening of the slurry were tested at room temperature (20 °C ± 3 °C).
- (2)
- Initial Setting Time. The initial setting time of α-HHG/PAM composites was determined by using a Vicat apparatus (ISO, Wuxi Zhongke Building Material Instrument Co., Ltd., Wuxi, China). As shown in Figure S1, the α-HHG/PAM composite slurry of the above standard consistency was poured into the annular mould of the Vicat apparatus, and the time was counted from when the α-HHG was mixed with the PAM precursor solution to the time when the Vicat apparatus pointer exceeded 1 and was stopped (measured at intervals of 30 s), which is the initial solidification time of the α-HHG/PAM composite.
- (3)
- Flowability. The flowability of the α-HHG/PAM composite slurry was determined using the diameter measurement method as shown in Figure S2. The α-HHG/PAM composite slurry of the above standard consistency was poured into the standard mould (LT-JJLD, Beijing Zhongke Luda Test Instrument Co., Ltd., Beijing, China) as soon as it was prepared, making sure the liquid level of the slurry was flush with the top. The mould was then rapidly lifted vertically to allow the slurry to flow naturally. After 15 s, the diameter of the slurry on the glass plate was measured, and the value was used to indicate the fluidity of the slurry.
2.5. Structural Analysis of α-HHG/PAM Composites
2.6. Thermogravimetric Analysis
2.7. Water Resistance Analysis of α-HHG/PAM Composites
3. Results and Discussion
3.1. Influence of PAM Precursor Addition on the Properties of α-HHG/PAM Composites
3.1.1. Influence on the Flowability of α-HHG/PAM Composite Slurries
3.1.2. Influence on the Hydration-Hardening Temperature of α-HHG/PAM Composites
3.1.3. Influence on the Initial Setting Time of α-HHG/PAM Composites
3.1.4. Influence on the Mechanical Properties of α-HHG/PAM Composites
3.2. Influence of PAM Precursor Solution Concentration on the Properties of α-HHG/PAM Composites
3.2.1. Influence on the Flowability of α-HHG/PAM Composite Slurries
3.2.2. Influence on the Hydration-Hardening Temperature of α-HHG/PAM Composites
3.2.3. Influence on the Initial Setting Time of α-HHG/PAM Composites
3.2.4. Influence on the Mechanical Properties of α-HHG/PAM Composites
3.3. Phase Analysis of α-HHG/PAM Composite Materials
3.4. Fracture Analysis of α-HHG/PAM Composite Materials
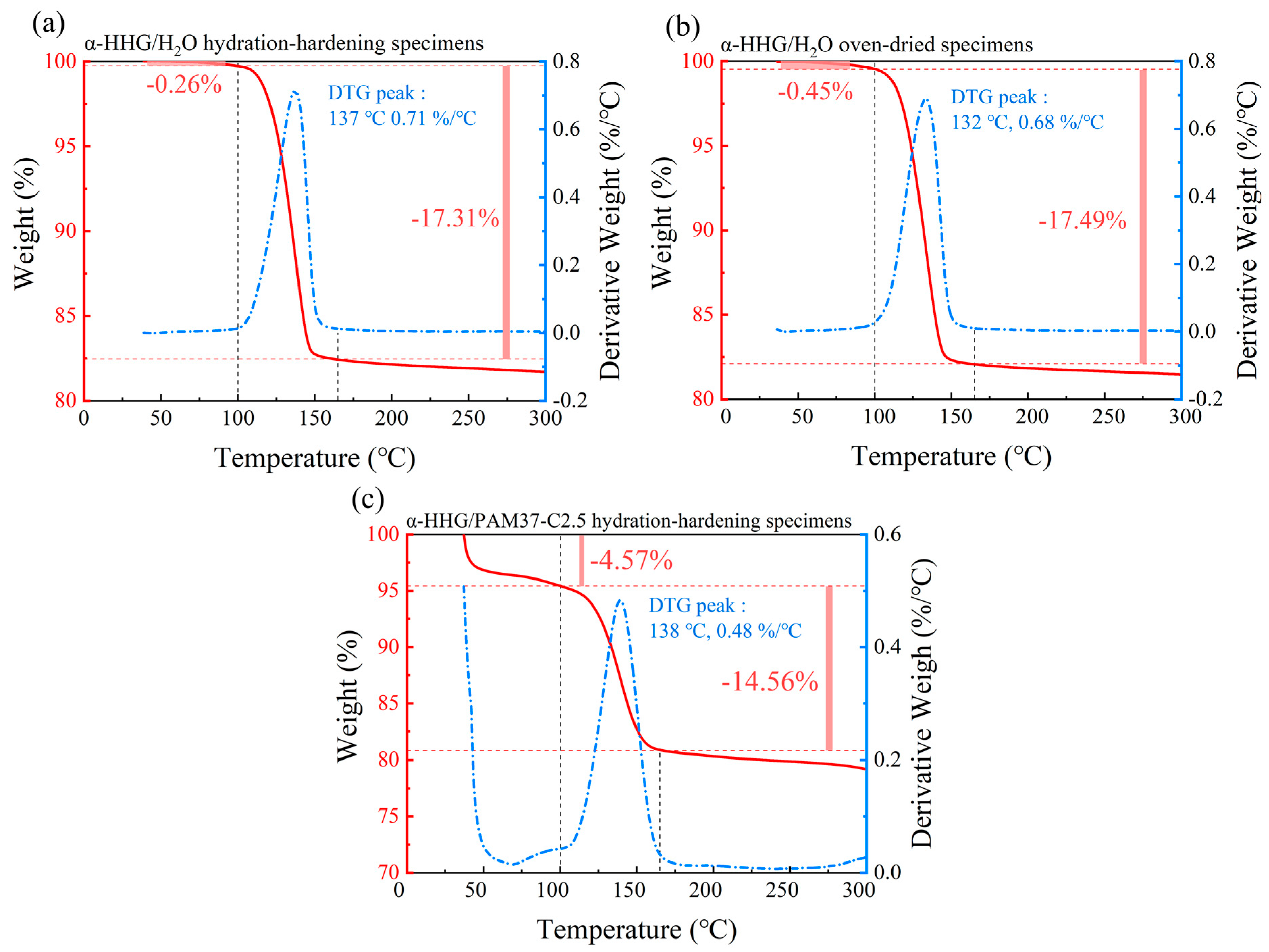
3.5. Thermogravimetric Analysis of α-HHG/PAM Composite Materials
3.6. Investigation into the Hydration-Hardening Kinetics of α-HHG/PAM Composite Materials
3.7. Water Resistance Analysis
4. Conclusions
- (i).
- The initial setting time of the α-HHG/PAM composite material is 25.7 min, which is an extension of 127.43% compared to α-HHG. The flexural strength and compressive strength of the oven-dried specimens are 23.4 MPa and 58.6 MPa, respectively, representing increases of 34.73% and 84.86% over α-HHG. The enhancement of strength and prolongation of initial setting time make α-HHG/PAM composites more promising for practical engineering applications.
- (ii).
- The strength of α-HHG/PAM composites exhibits minimal variation across different molar concentrations of PAM precursor liquid, specifically 2.5, 3.0, and 3.5 mol/L. However, the initial setting time of the slurry is reduced sequentially, with durations of 25, 21, and 19 min, respectively. Notably, the slurry demonstrates optimal fluidity when the molar concentration of PAM precursor liquid is 2.5 mol/L, resulting in a spreading diameter of 18.36 cm.
- (iii).
- XRD, FE-SEM, and TGA results all indicated that the hydration of α-HHG in the composite material was incomplete. The incompleteness is caused by the competition between the hydration process of inorganic α-HHG and the gelation process of the organic acrylamide solution for water, which hinders certain α-HHG from entirely reacting with water.
- (iv).
- The water resistance of the α-HHG/PAM composite material is inferior to that of the α-HHG/H2O pure water control group, with the former having a softening coefficient of 0.21, which is lower than the latter’s 0.43. This imposes certain limitations on its application scenarios.
Supplementary Materials
Author Contributions
Funding
Institutional Review Board Statement
Informed Consent Statement
Data Availability Statement
Conflicts of Interest
References
- Ravenhill, E.R.; Kirkman, P.M.; Unwin, P.R. Microscopic Studies of Calcium Sulfate Crystallization and Transformation at Aqueous-Organic Interfaces. Cryst. Growth Des. 2016, 16, 5887–5895. [Google Scholar] [CrossRef]
- Vidales-Barriguete, A.; Santa-Cruz-Astorqui, J.; Piña-Ramírez, C.; Kosior-Kazberuk, M.; Kalinowska-Wichrowska, K.; Atanes-Sánchez, E. Study of the Mechanical and Physical Behavior of Gypsum Boards with Plastic Cable Waste Aggregates and Their Application to Construction Panels. Materials 2021, 14, 2255. [Google Scholar] [CrossRef] [PubMed]
- Stawski, T.M.; Besselink, R.; Chatzipanagis, K.; Hovelmann, J.; Benning, L.G.; Van, D.; Alexander, E.S. Nucleation pathway of calcium sulfate hemihydrate (bassanite) from solution: Implications for Calcium Sulfates on Mars. J. Phys. Chem. C 2020, 124, 411–8422. [Google Scholar] [CrossRef]
- Follner, S.; Wolter, A.; Preusser, A.; Indris, S.; Silber, C.; Follner, H. The setting behavior of α- and β- CaSO4·0.5H2O as a function of crystal structure and morphology. Cryst. Res. Technol. 2002, 37, 1075–1087. [Google Scholar] [CrossRef]
- Li, Y.; Ni, W.; Duan, P.; Zhang, S.; Wang, J. Experimental Study and Mechanism Analysis of Preparation of α-Calcium Sulfate Hemihydrate from FGD Gypsum with Dynamic Method. Materials 2022, 15, 3382. [Google Scholar] [CrossRef] [PubMed]
- Barluenga, G.; Hernandez-Olivares, F. Self-Levelling cement mortar containing grounded slate from quarrying waste. Constr. Build. Mater. 2010, 24, 1601–1607. [Google Scholar] [CrossRef]
- Zając, K.; Janus, M.; Morawski, A.W. Improved Self-Cleaning Properties of Photocatalytic Gypsum Plaster Enriched with Glass Fiber. Materials 2019, 12, 357. [Google Scholar] [CrossRef] [PubMed]
- Sophia, M.; Sakthieswaran, N. Synergistic effect of mineral admixture and bio-carbonate fillers on the physico-mechanical properties of gypsum plaster. Constr. Build. Mater. 2019, 204, 419–439. [Google Scholar] [CrossRef]
- Dima, C.; Badanoiu, A.; Cirstea, S.; Nicoara, A.I.; Stoleriu, S. Lightweight Gypsum Materials with Potential Use for Thermal Insulations. Materials 2020, 13, 5454. [Google Scholar] [CrossRef] [PubMed]
- Wu, Q.; Zhu, Z.; Li, S.; Wang, S.; Chen, B. Effect of polyacrylic ester emulsion on mechanical properties of macro-defect free desulphurization gypsum plaster. Constr. Build. Mater. 2017, 153, 656–662. [Google Scholar] [CrossRef]
- Jia, C.; Wu, L.; Chen, Q.; Ke, P.; Yoreo, D.J.J.; Guan, B. Structural evolution of amorphous calcium sulfate nanoparticles into crystalline gypsum phase. Crystengcomm 2020, 22, 6805–6810. [Google Scholar] [CrossRef]
- Hossain, M.S.; Ahmed, S. Synthesis of nano-crystallite gypsum and bassanite from waste pila globosa shells: Crystallographic characterization. RSC Adv. 2022, 12, 25096–25105. [Google Scholar] [CrossRef] [PubMed]
- Fantilli, A.P.; Jóźwiak-Niedźwiedzka, D.; Denis, P. Bio-Fibres as a Reinforcement of Gypsum Composites. Materials 2021, 14, 4830. [Google Scholar] [CrossRef] [PubMed]
- Yu, Y.; Mu, Z.; Jin, B.; Liu, Z.; Tang, R. Organic-inorganic copolymerization for a homogenous composite without an interphase boundary. Angew. Chem.-Int. Edit. 2020, 59, 2071–2075. [Google Scholar] [CrossRef] [PubMed]
- Mroz, P.; Mucha, M. Hydroxyethyl methyl cellulose as a modifier of gypsum properties. J. Therm. Anal. Calorim. 2018, 134, 1083–1089. [Google Scholar] [CrossRef]
- Ding, X.; Wang, S.; Dai, R.; Chen, H.; Shan, Z. Hydrogel beads derived from chrome leather scraps for the preparation of lightweight gypsum. Environ. Technol. Innov. 2022, 25, 102224. [Google Scholar] [CrossRef]
- Thompson, B.R.; Horozov, T.S.; Stoyanov, S.D.; Paunov, V.N. Hierarchically porous composites fabricated by hydrogel templating and viscous trapping techniques. Mater. Des. 2018, 137, 384–393. [Google Scholar] [CrossRef]
- Pedrajas, D.L.; Franco, M.C.; Sáenz, I.G.; Mellado, F.J.R.; Romero, J.F.R.; Simón, A.M.B. Polystyrene nanoparticles slurry as an additive for developing insulating and waterproof gypsum composites. Appl. Therm. Eng. 2022, 217, 1359–4311. [Google Scholar] [CrossRef]
- Charai, M.; Mghazli, M.O.; Channouf, S.; Jagadesh, P.; Moga, L.; Mezrhab, A. Lightweight waste-based gypsum composites for building temperature and moisture control using coal fly ash and plant fibers. Constr. Build. Mater. 2023, 393, 132092. [Google Scholar] [CrossRef]
- Bai, B.; Zhou, J.; Yin, M. A comprehensive review of polyacrylamide polymer gels for conformance control. Pet. Explor. Dev. 2015, 42, 525–532. [Google Scholar] [CrossRef]
- Karoyo, A.H.; Wilson, L.D. A Review on the Design and Hydration Properties of Natural Polymer-Based Hydrogels. Materials 2021, 14, 1095. [Google Scholar] [CrossRef] [PubMed]
- Li, X.; Peng, W.; Li, L.; Chen, S.; Ye, L.; Peng, C. Simple Synthesis of Copper/MXene/Polyacrylamide Hydrogel Catalyst for 4-nitrophenol Reduction. Mater. Lett. 2022, 324, 132705. [Google Scholar] [CrossRef]
- Spalding, B.P.; Brooks, S.C.; Watson, D.B. Hydrogel-encapsulated soil: A tool to measure contaminant attenuation in situ. Environ. Sci. Technol. 2010, 44, 3047–3051. [Google Scholar] [CrossRef] [PubMed]
- Chiang, C.Y.; Chu, C.C. Synthesis of photoresponsive hybrid alginate hydrogel with photo-controlled release behavior. Carbohydr. Polym. 2015, 119, 18–25. [Google Scholar] [CrossRef] [PubMed]
- Murakami, K.; Aoki, H.; Nakamura, S.; Nakamura, S.; Takikawa, M.; Hanzawa, M.; Kishimoto, S.; Hattori, H.; Tanaka, Y.; Kiyosawa, T.; et al. Hydrogel blends of chitin/chitosan, fucoidan and alginate as healing-impaired wound dressings. Biomaterials 2010, 31, 83–90. [Google Scholar] [CrossRef] [PubMed]
- Cruz, H.; Luckman, P.; Seviour, T.; Verstraete, W.; Laycock, B.; Pikaar, I. Rapid removal of ammonium from domestic wastewater using polymer hydrogels. Sci. Rep. 2018, 8, 2912. [Google Scholar] [CrossRef] [PubMed]
- Sun, J.Y.; Zhao, X.; Illeperuma, W.R.K.; Chaudhuri, O.; Oh, K.H.; Mooney, D.J.; Vlassak, J.J.; Suo, Z. Highly stretchable and tough hydrogels. Nature 2012, 489, 133–136. [Google Scholar] [CrossRef] [PubMed]
- Haneklaus, N.; Barbossa, S.; Basallote, M.D.; Bertau, M.; Bilal, E.; Chajduk, E.; Chernysh, Y.; Chubur, V.; Cruz, J.; Dziarczykowski, K.; et al. Closing the upcoming EU gypsum gap with phosphogypsum. Resour. Conserv. Recycl. 2022, 182, 106328. [Google Scholar] [CrossRef]
- GB/T 17669.3-1999; Gypsum Plasters—Determination of Mechanical Properties. The State Bureau of Quality and Technical Supervision: Beijing, China, 1999.
- GB/T 17669.5-1999; Gypsum Plasters—Determination of Physical Properties of Powder. The State Bureau of Quality and Technical Supervision: Beijing, China, 1999.
- Nissinen, T.; Li, M.; Brielles, N.; Mann, S. Calcium sulfate hemihydrate-mediated crystallization of gypsum on Ca2+-activated cellulose thin films. Crystengcomm 2013, 15, 3793–3798. [Google Scholar] [CrossRef]
- Zhang, J.; Lin, Z.; Wang, C.; Ma, X.; Zhang, Z.; Xiao, H. Stable bassanite bulk phase formed in aqueous solution under the control of polymer-mediated water cctivity. Cryst. Growth Des. 2023, 23, 1172–1178. [Google Scholar] [CrossRef]
- Zhao, H.; Hu, G.H.; Ye, G.B.; Ren, X.M.; Zhang, Q.C.; Jiang, T. Effects of superplasticisers on hydration process, structure and properties of α-hemihydrate calcium sulfate. Adv. Cem. Res. 2018, 30, 37–44. [Google Scholar] [CrossRef]
- Guan, B.; Ye, Q.; Zhang, J.; Lou, W.; Wu, Z. Interaction between α-calcium sulfate hemihydrate and superplasticizer from the point of adsorption characteristics, hydration and hardening process. Cem. Concr. Res. 2010, 40, 253–259. [Google Scholar] [CrossRef]
- Florian, B.; João, G.D.P.; Florian, F.; Emmanuelle, G.; Sara, Q.; Gilles, W. From atom level to macroscopic scale: Structural mechanism of gypsum dehydration. Solid State Sci. 2022, 126, 1293–2558. [Google Scholar] [CrossRef]
- Tang, Y.B.; Gao, J.M.; Liu, C.B.; Chen, X.M.; Zhao, Y.S. Dehydration pathways of gypsum and the rehydration mechanism of soluble anhydrite γ-CaSO4. ACS Omega 2019, 4, 7636–7642. [Google Scholar] [CrossRef] [PubMed]








| Precursor Solutions | AM (g) | APS (g) | MBA (g) | TEMED (mL) | Deionised Water (mL) |
|---|---|---|---|---|---|
| PAM-C2.5 | 8.8850 | 0.0285 | 0.0193 | 0.0645 | 50 |
| PAM-C3.0 | 10.662 | 0.0342 | 0.0231 | 0.0774 | 50 |
| PAM-C3.5 | 12.439 | 0.0399 | 0.0270 | 0.0903 | 50 |
Disclaimer/Publisher’s Note: The statements, opinions and data contained in all publications are solely those of the individual author(s) and contributor(s) and not of MDPI and/or the editor(s). MDPI and/or the editor(s) disclaim responsibility for any injury to people or property resulting from any ideas, methods, instructions or products referred to in the content. |
© 2024 by the authors. Licensee MDPI, Basel, Switzerland. This article is an open access article distributed under the terms and conditions of the Creative Commons Attribution (CC BY) license (https://creativecommons.org/licenses/by/4.0/).
Share and Cite
Chen, Y.; Mi, Z.; Yang, J.; Zheng, X.; Wang, H.; Record, M.-C.; Boulet, P.; Wang, J.; Albina, J.-M.; Huang, Y. Synthesis and Characterisation of Hemihydrate Gypsum–Polyacrylamide Composite: A Novel Inorganic/Organic Cementitious Material. Materials 2024, 17, 1510. https://doi.org/10.3390/ma17071510
Chen Y, Mi Z, Yang J, Zheng X, Wang H, Record M-C, Boulet P, Wang J, Albina J-M, Huang Y. Synthesis and Characterisation of Hemihydrate Gypsum–Polyacrylamide Composite: A Novel Inorganic/Organic Cementitious Material. Materials. 2024; 17(7):1510. https://doi.org/10.3390/ma17071510
Chicago/Turabian StyleChen, Yuan, Zerui Mi, Jiatong Yang, Xuan Zheng, Huihu Wang, Marie-Christine Record, Pascal Boulet, Juan Wang, Jan-Michael Albina, and Yiwan Huang. 2024. "Synthesis and Characterisation of Hemihydrate Gypsum–Polyacrylamide Composite: A Novel Inorganic/Organic Cementitious Material" Materials 17, no. 7: 1510. https://doi.org/10.3390/ma17071510
APA StyleChen, Y., Mi, Z., Yang, J., Zheng, X., Wang, H., Record, M.-C., Boulet, P., Wang, J., Albina, J.-M., & Huang, Y. (2024). Synthesis and Characterisation of Hemihydrate Gypsum–Polyacrylamide Composite: A Novel Inorganic/Organic Cementitious Material. Materials, 17(7), 1510. https://doi.org/10.3390/ma17071510

