Numerical Investigation on Precipitation Hardening of Mg-Gd Alloys
Abstract
1. Introduction
2. Experiments
2.1. Material Preparation and Microstructural Characterization
2.2. Mechanical Properties
3. Finite Element Modeling
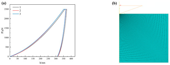
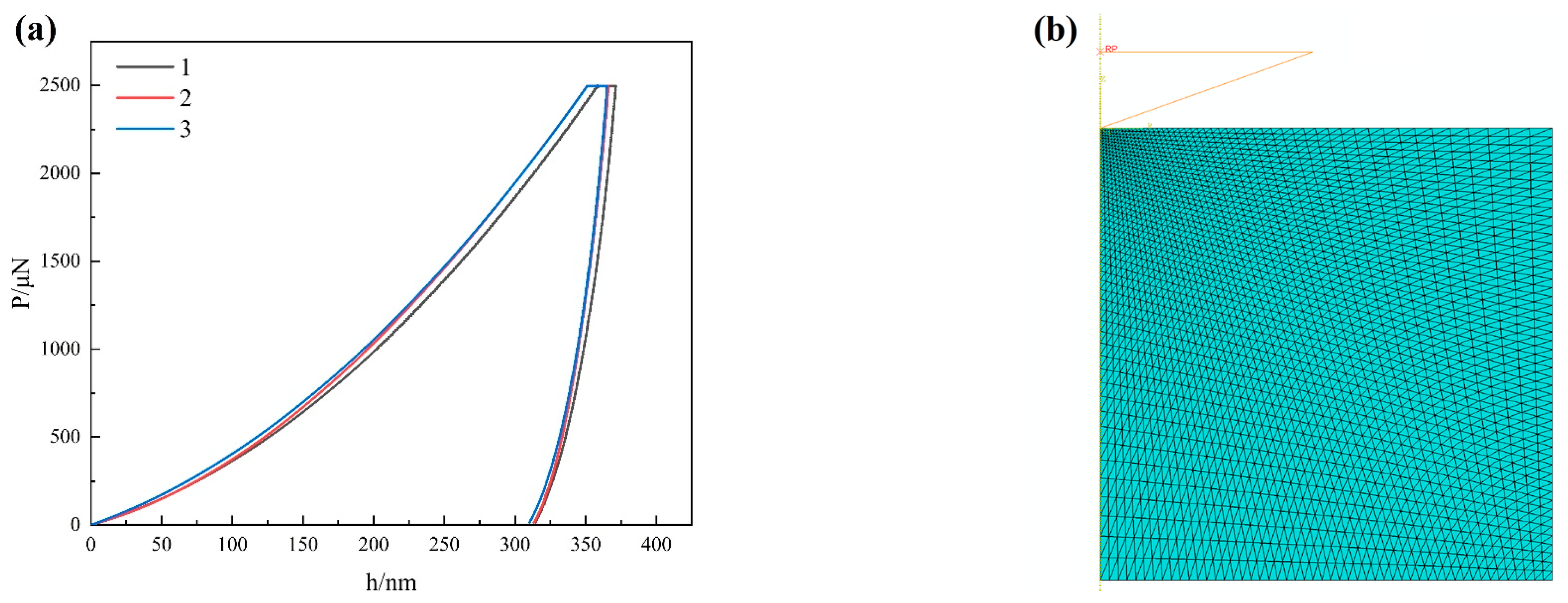
3.1. Microstructural Modeling
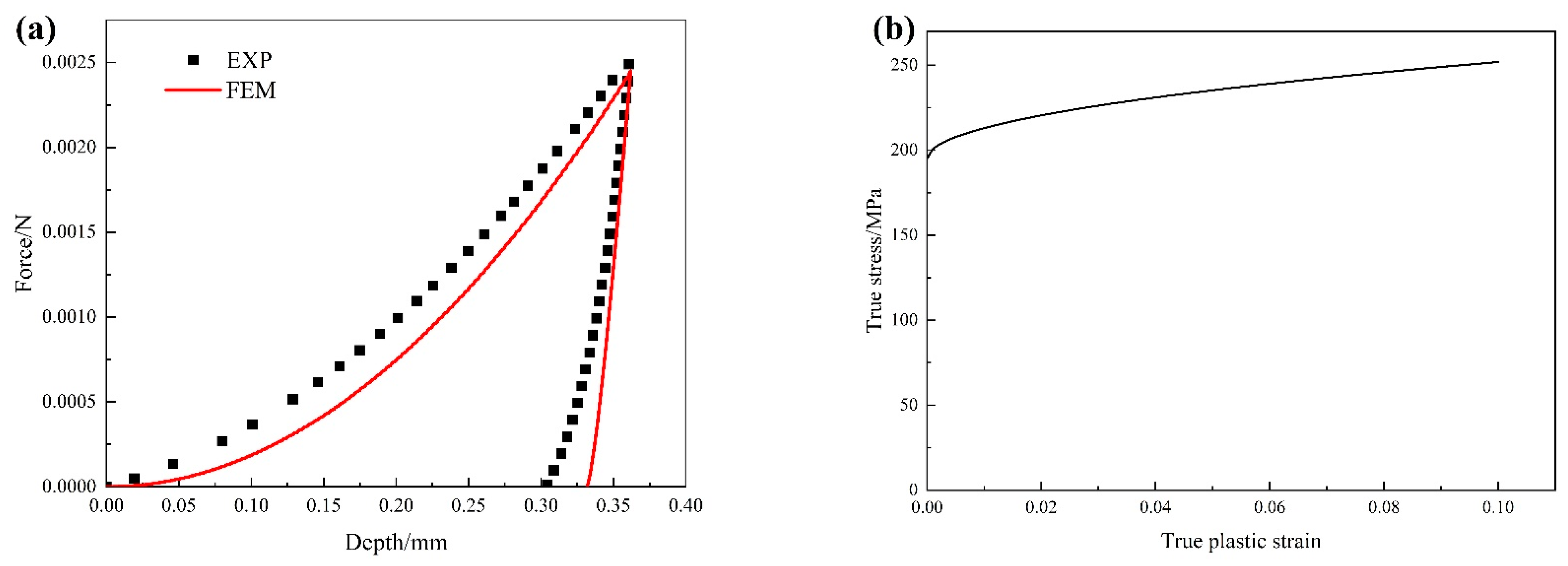
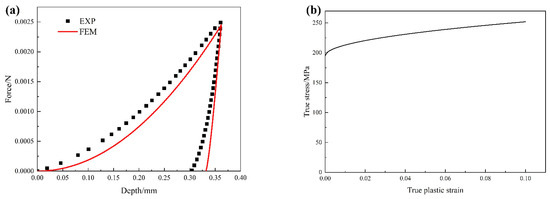
3.2. Material Properties
3.3. Periodic Boundary Conditions
3.4. Model Validation
4. Results and Discussions
4.1. Effects of Particle Distribution and Interface Strength
4.2. Effect of Size Ratio of Grain to Particle and Interface Strength
4.3. Effect of Particle Orientation and Interface Strength
5. Conclusions
- The influence of interface strength outweighs the effect of particle distribution in terms of precipitation hardening. The higher interface strength could cause higher plastic flow stress. When all the second-phase particles are located at grain boundaries, they could generate the best hardening effect compared to the homogeneous distributions (D-HO) and intragranular boundary distributions (D-IB).
- The influence of interface strength exceeds the effect of particle size on precipitation hardening. Larger particles in the matrix show stronger load-bearing capacity, while they also bring high local stress concentration, which may result in low ductility. However, when the interface is strong enough (i.e., perfect interface), the smaller particles could generate a higher hardening effect.
- The influence of the orientation of cylindrical particles at grain boundaries outweighs the effect of interface strength on precipitation hardening. The perpendicular orientation with respect to grain boundaries exhibits a stronger hardening effect than that from parallel orientation.
Author Contributions
Funding
Institutional Review Board Statement
Informed Consent Statement
Data Availability Statement
Conflicts of Interest
References
- Yang, Y.; Xiong, X.; Chen, J.; Peng, X.; Chen, D.; Pan, F. Research advances in magnesium and magnesium alloys worldwide in 2020. J. Magnes. Alloys 2021, 9, 705–747. [Google Scholar] [CrossRef]
- Sankaranarayanan, S.; Gupta, M. Emergence of god’s favorite metallic element: Magnesium based materials for engineering and biomedical applications. Mater. Today Proc. 2021, 39, 311–316. [Google Scholar] [CrossRef]
- Dziubińska, A.; Gontarz, A.; Dziubiński, M.; Barszcz, M. The Forming of Magnesium Alloy Forgings for Aircraft and Automotive Applications. Adv. Sci. Technol. Res. J. 2016, 10, 158–168. [Google Scholar] [CrossRef]
- Gupta, M.; Magnesium, N.M.L.S. Magnesium Alloys, and Magnesium Composites; Wiley: New York, NY, USA, 2010. [Google Scholar]
- Ferguson, J.B.; Sheykh-Jaberi, F.; Kim, C.-S.; Rohatgi, P.K.; Cho, K. On the strength and strain to failure in particle-reinforced magnesium metal-matrix nanocomposites (Mg MMNCs). Mater. Sci. Eng. A 2012, 558, 193–204. [Google Scholar] [CrossRef]
- Bian, M.; Nakatsugawa, I.; Matsuoka, Y.; Huang, X.; Tsukada, Y.; Koyama, T.; Chino, Y. Improving the mechanical and corrosion properties of pure magnesium by parts-per-million-level alloying. Acta Mater. 2022, 241, 118393. [Google Scholar] [CrossRef]
- Wang, F.; Dang, N.; Chen, J.; Li, J.; Hu, T.; Xiao, W.; Zheng, R.; Ji, V.; Ma, C. The microstructural features and strengthening mechanisms of Mg-Al-Zn-Ca-(RE) extruded alloys having high-volume fractions of second-phase particles. Mater. Sci. Eng. A 2023, 868, 144765. [Google Scholar] [CrossRef]
- Shen, M.-J.; Ying, T.; Chen, F.-Y.; Hou, J.-M. Effect of Micro- and Nano-SiC Particulate Reinforcements in Magnesium-Based Metal Matrix Composites. J. Mater. Eng. Perform. 2016, 25, 2222–2229. [Google Scholar] [CrossRef]
- Nie, K.B.; Wang, X.J.; Deng, K.K.; Hu, X.S.; Wu, K. Magnesium matrix composite reinforced by nanoparticles—A review. J. Magnes. Alloys 2021, 9, 57–77. [Google Scholar] [CrossRef]
- Zhang, J.; Liu, S.; Wu, R.; Hou, L.; Zhang, M. Recent developments in high-strength Mg-RE-based alloys: Focusing on Mg-Gd and Mg-Y systems. J. Magnes. Alloys 2018, 6, 277–291. [Google Scholar] [CrossRef]
- Xie, J.; Zhang, J.; You, Z.; Liu, S.; Guan, K.; Wu, R.; Wang, J.; Feng, J. Towards developing Mg alloys with simultaneously improved strength and corrosion resistance via RE alloying. J. Magnes. Alloys 2021, 9, 41–56. [Google Scholar] [CrossRef]
- Tekumalla, S.; Nandigam, Y.; Bibhanshu, N.; Rajashekara, S.; Yang, C.; Suwas, S.; Gupta, M. A strong and deformable in-situ magnesium nanocomposite igniting above 1000 degrees C. Sci. Rep. 2018, 8, 7038. [Google Scholar] [CrossRef]
- Jin, Z.-Z.; Zha, M.; Wang, S.-Q.; Wang, S.-C.; Wang, C.; Jia, H.-L.; Wang, H.-Y. Alloying design and microstructural control strategies towards developing Mg alloys with enhanced ductility. J. Magnes. Alloys 2022, 10, 1191–1206. [Google Scholar] [CrossRef]
- Chen, Y.; Tekumalla, S.; Guo, Y.B.; Gupta, M. Introducing Mg-4Zn-3Gd-1Ca/ZnO nanocomposite with compressive strengths matching/exceeding that of mild steel. Sci. Rep. 2016, 6, 32395. [Google Scholar] [CrossRef]
- Jafari Nodooshan, H.R.; Wu, G.; Liu, W.; Wei, G.; Li, Y.; Zhang, S. Effect of Gd content on high temperature mechanical properties of Mg–Gd–Y–Zr alloy. Mater. Sci. Eng. A 2016, 651, 840–847. [Google Scholar] [CrossRef]
- Chen, Y.; Tekumalla, S.; Guo, Y.B.; Shabadi, R.; Shim, V.P.W.; Gupta, M. The dynamic compressive response of a high-strength magnesium alloy and its nanocomposite. Mater. Sci. Eng. A 2017, 702, 65–72. [Google Scholar] [CrossRef]
- Fu, W.; Wang, R.; Zhang, J.; Wu, K.; Liu, G.; Sun, J. The effect of precipitates on voiding, twinning, and fracture behaviors in Mg alloys. Mater. Sci. Eng. A 2018, 720, 98–109. [Google Scholar] [CrossRef]
- Lee, G.M.; Park, S.H. Underlying mechanisms of variation in yield asymmetry and strain hardening behavior of extruded pure Mg with Gd addition. J. Magnes. Alloys 2023, 12, 2165–2181. [Google Scholar] [CrossRef]
- Nie, J.-F. Precipitation and Hardening in Magnesium Alloys. Metall. Mater. Trans. A 2012, 43, 3891–3939. [Google Scholar] [CrossRef]
- Chen, Y.; Zhu, Z.; Zhou, J. Study on the strengthening mechanism of rare earth yttrium on magnesium alloys. Mater. Sci. Eng. A 2022, 850, 143513. [Google Scholar] [CrossRef]
- Kondori, B.; Benzerga, A.A. Modeling damage accumulation to fracture in a magnesium-rare earth alloy. Acta Mater. 2017, 124, 225–236. [Google Scholar] [CrossRef]
- Lin, Z.; Su, Y.; Qiu, C.; Yang, J.; Chai, X.; Liu, X.; Ouyang, Q.; Zhang, D. Configuration effect and mechanical behavior of particle reinforced aluminum matrix composites. Scr. Mater. 2023, 224, 115135. [Google Scholar] [CrossRef]
- Gao, X.; Zhang, X.; Geng, L. Strengthening and fracture behaviors in SiCp/Al composites with network particle distribution architecture. Mater. Sci. Eng. A 2019, 740–741, 353–362. [Google Scholar] [CrossRef]
- Wang, P.; Nian, G.; Qu, S.; Shan, Y.; Huang, L.; Peng, H.-X. Numerical Study on Mechanical Properties of Discontinuously Reinforced Titanium Matrix Composite with Network Reinforcement Architecture. Int. J. Appl. Mech. 2017, 9, 1750073. [Google Scholar] [CrossRef]
- Jiang, Y.; Sun, L.; Wu, Q.; Qiu, K. Enhanced tensile ductility of metallic glass matrix composites with novel microstructure. J. Non-Cryst. Solids 2017, 459, 26–31. [Google Scholar] [CrossRef]
- Liu, Q.; Qi, F.; Wang, Q.; Ding, H.; Chu, K.; Liu, Y.; Li, C. The influence of particles size and its distribution on the degree of stress concentration in particulate reinforced metal matrix composites. Mater. Sci. Eng. A 2018, 731, 351–359. [Google Scholar] [CrossRef]
- Yu, P.; Wang, L.; Fu, Y.; Feng, Y.; Kang, H.; Wang, L.; Guo, E. Studies on Microstructure and Fracture Behavior of As-Cast Mg-3Nd-1Y-xAl Alloys. J. Mater. Eng. Perform. 2022, 32, 7372–7380. [Google Scholar] [CrossRef]
- Shen, M.; Han, B.; Ying, T. Micromechanical simulations and experimental characteristics of randomly distributed carbon nanotubes reinforced Mg matrix composites. J. Alloys Compd. 2022, 924, 166589. [Google Scholar] [CrossRef]
- Chen, Y.; Guo, Y.; Tekumalla, S.; Gupta, M.; Shim, V.P.W. Influence of nanoparticles on the compressive rate-sensitivity of magnesium alloys. Int. J. Mech. Sci. 2023, 255, 108473. [Google Scholar] [CrossRef]
- Weng, L.; Fan, T.; Wen, M.; Shen, Y. Three-dimensional multi-particle FE model and effects of interface damage, particle size and morphology on tensile behavior of particle reinforced composites. Compos. Struct. 2019, 209, 590–605. [Google Scholar] [CrossRef]
- Sarvesha, R.; Alam, W.; Gokhale, A.; Guruprasad, T.S.; Bhagavath, S.; Karagadde, S.; Jain, J.; Singh, S.S. Quantitative assessment of second phase particles characteristics and its role on the deformation response of a Mg-8Al-0.5Zn alloy. Mater. Sci. Eng. A 2019, 759, 368–379. [Google Scholar] [CrossRef]
- Tian, L.-N.; Liu, L.; Hou, N.; Zhou, J.-X.; Guo, W.-M.; Yuan, Q.-X.; Zaïri, F.; Ding, N. Quantitative assessment of multi-scale second phase particles and their roles in the deformation response of ZK60 alloy. Mater. Today Commun. 2021, 26, 101708. [Google Scholar] [CrossRef]
- Nafar Dastgerdi, J.; Anbarlooie, B.; Miettinen, A.; Hosseini-Toudeshky, H.; Remes, H. Effects of particle clustering on the plastic deformation and damage initiation of particulate reinforced composite utilizing X-ray CT data and finite element modeling. Compos. Part B Eng. 2018, 153, 57–69. [Google Scholar] [CrossRef]
- William, D.; David, C.; Rethwisch, G. Materials Science and Engineering: An Introduction, 9th ed.; Wiley: Hoboken, NJ, USA, 2013; ISBN-13:978-1118324578. [Google Scholar]
- Chen, Y.; Guo, Y.B.; Gupta, M.; Shim, V.P.W. Dynamic tensile response of magnesium nanocomposites and the effect of nanoparticles. Mater. Sci. Eng. A 2013, 582, 359–367. [Google Scholar] [CrossRef]
- Huang, L.J.; Geng, L.; Peng, H.X. Microstructurally inhomogeneous composites: Is a homogeneous reinforcement distribution optimal? Prog. Mater. Sci. 2015, 71, 93–168. [Google Scholar] [CrossRef]
- Quey, R.; Kasemer, M. The Neper/FEPX Project: Free/Open-source Polycrystal Generation, Deformation Simulation, and Post-processing. IOP Conf. Ser. Mater. Sci. Eng. 2022, 1249, 012021. [Google Scholar] [CrossRef]
- ABAQUS. Abaqus/CAE 2022; Dassault Systemes Simulia Corp: Johnston, RI, USA, 2022. [Google Scholar]
- ABAQUS Inc. Abaqus 6.14 Analysis User’s Guide; Dassault Systemes: Providence, RI, USA, 2013. [Google Scholar]
- Yang, L.; Yuan, Y.; Chen, T.; Dai, X.; Zhang, L.; Li, D.; Tang, A.; Yi, W.; Zhang, L.; Pan, F. Diffusion behaviour and mechanical properties of binary Mg–Gd system. Intermetallics 2021, 133, 107171. [Google Scholar] [CrossRef]
- Meng, Q.; Wang, Z. Prediction of interfacial strength and failure mechanisms in particle-reinforced metal-matrix composites based on a micromechanical model. Eng. Fract. Mech. 2015, 142, 170–183. [Google Scholar] [CrossRef]
- Macaulay, W.H. Note on the deflection of the beams, Messenger of Mathematics. Messenger Math. 1919, 48, 129–130. [Google Scholar]
- Akpoyomare, A.I.; Okereke, M.I.; Bingley, M.S. Virtual testing of composites: Imposing periodic boundary conditions on general finite element meshes. Compos. Struct. 2017, 160, 983–994. [Google Scholar] [CrossRef]
- Oliver, W.C.; Pharr, G.M. Measurement of hardness and elastic modulus by instrumented indentation: Advances in understanding and refinements to methodology. J. Mater. Res. 2004, 19, 3–20. [Google Scholar] [CrossRef]
- Fujisawa, S.; Yonezu, A.; Noda, M.; Xu, B. Evaluation of Elastoplasticity-Dependent Creep Property of Magnesium Alloy With Indentation Method: A Reverse Numerical Algorithm and Experimental Validation. J. Eng. Mater. Technol. 2017, 139, 021004. [Google Scholar] [CrossRef]
- Yonezu, A.; Akimoto, H.; Fujisawa, S.; Chen, X. Spherical indentation method for measuring local mechanical properties of welded stainless steel at high temperature. Mater. Des. (1980–2015) 2013, 52, 812–820. [Google Scholar] [CrossRef]
- Zhou, Y.; Tian, W.; Dong, Q.; Wang, H.; Tan, J.; Chen, X.; Zheng, K.; Pan, F. A First-principles Study on the Adhesion Strength, Interfacial Stability, and Electronic Properties of Mg/Mg2Y Interface. Acta Metall. Sin. (Engl. Lett.) 2023. [Google Scholar] [CrossRef]
- Liu, R.; Yin, X.; Feng, K.; Xu, R. First-principles calculations on Mg/TiB2 interfaces. Comput. Mater. Sci. 2018, 149, 373–378. [Google Scholar] [CrossRef]
- Zhuo, X.R.; Ma, A. Molecular Dynamics-Based Cohesive Zone Model for Mg/Mg17Al12 Interface. Metals 2020, 10, 836. [Google Scholar] [CrossRef]
- Zhou, X.; Bu, W.; Song, S.; Sansoz, F.; Huang, X. Multiscale modeling of interfacial mechanical behaviours of SiC/Mg nanocomposites. Mater. Des. 2019, 182, 108093. [Google Scholar] [CrossRef]
- Wu, H.; Xu, W.; Shan, D.; Wang, X.; Guo, B.; Jin, B.C. Micromechanical modeling of damage evolution and fracture behavior in particle reinforced metal matrix composites based on the conventional theory of mechanism-based strain gradient plasticity. J. Mater. Res. Technol. 2023, 22, 625–641. [Google Scholar] [CrossRef]
- Nafar Dastgerdi, J.; Anbarlooie, B.; Marzban, S.; Marquis, G. Mechanical and real microstructure behavior analysis of particulate-reinforced nanocomposite considering debonding damage based on cohesive finite element method. Compos. Struct. 2015, 122, 518–525. [Google Scholar] [CrossRef]
- Bower, A.F. Applied Mechanics of Solids, 1st ed.; CRC Press: Boca Raton, FL, USA, 2009; ISBN 9780429193323. [Google Scholar]






















| Property | HB | LB |
|---|---|---|
| Interface stiffness (GPa) | 100 | 100 |
| Interface strength (MPa) | 500 | 300 |
| Fracture energy (J/m2) | 5 | 3 |
| Failure displacement (μm) | 0.02 | 0.02 |
| Maximum Feret Diameter (μm) | Volume Fraction of Particle (%) | Aspect Ratio | |
|---|---|---|---|
| SPP | 1.38 | 1.32 | 4.60 |
| Material | Young’s Modulus, E (GPa) | Poisson’s Ratio, υ | Plastic Property, σ |
|---|---|---|---|
| α-Mg | 37.57 | 0.3 | 195 + 180 ε0.5 |
| SPP [33] | 57.8 ± 4.79 | 0.25 | - |
Disclaimer/Publisher’s Note: The statements, opinions and data contained in all publications are solely those of the individual author(s) and contributor(s) and not of MDPI and/or the editor(s). MDPI and/or the editor(s) disclaim responsibility for any injury to people or property resulting from any ideas, methods, instructions or products referred to in the content. |
© 2024 by the authors. Licensee MDPI, Basel, Switzerland. This article is an open access article distributed under the terms and conditions of the Creative Commons Attribution (CC BY) license (https://creativecommons.org/licenses/by/4.0/).
Share and Cite
Ge, Y.; Yang, C.; Ma, Y.; Chen, Y.; Gupta, M. Numerical Investigation on Precipitation Hardening of Mg-Gd Alloys. Materials 2024, 17, 1393. https://doi.org/10.3390/ma17061393
Ge Y, Yang C, Ma Y, Chen Y, Gupta M. Numerical Investigation on Precipitation Hardening of Mg-Gd Alloys. Materials. 2024; 17(6):1393. https://doi.org/10.3390/ma17061393
Chicago/Turabian StyleGe, Yulong, Chunyan Yang, Yuwei Ma, Yang Chen, and Manoj Gupta. 2024. "Numerical Investigation on Precipitation Hardening of Mg-Gd Alloys" Materials 17, no. 6: 1393. https://doi.org/10.3390/ma17061393
APA StyleGe, Y., Yang, C., Ma, Y., Chen, Y., & Gupta, M. (2024). Numerical Investigation on Precipitation Hardening of Mg-Gd Alloys. Materials, 17(6), 1393. https://doi.org/10.3390/ma17061393

