An Integrated Framework for Image Acquisition, Processing, and Analysis Procedures for Automated Damage Evaluation of Concrete Surfaces
Abstract
1. Introduction
2. Scope of This Work
3. Materials and Methods
3.1. Concrete Specimen Employed for Image Acquisition
3.2. Primary Damage Quantification Assessment Method—Cracking Index (CI)
3.3. Image Acquisition
- Camera: A digital single-lens reflex (DSLR-Canon EOS-T8i EF-S 18–55 mm f/4–5.6 IS STM, Brampton, ON, Canada) camera was used, capturing images at a resolution of 24.1 megapixels, maximum image size of 6000 × 4000 pixels, and International Organization Standard (ISO) sensitivity range of 100–25,600. The camera was equipped with a versatile lens with a focal length range of 18 mm to 55 mm and up to 1.6× zoom capability.
- Remote shooting software: Commercial software (EOS Utility 3.17.0 included with the camera) compatible with the camera facilitates the connection of the camera to a computer for remote shooting and camera control using a USB cable or Wi-Fi connection. A remote shooting option is preferred during the capturing process since it minimizes vibrations. The connection also enables real-time review of captured images on the computer screen, serving as the first stage of the quality validation.
- Lighting: Compact and portable LED light kits (containing 480 LED units, 3360 Lux/m, color rendering index of ≥96) were used to enhance the visibility of crack features, with adjustable intensity and color temperature (i.e., 3200 K—yellow/amber) to 5600 K—white/cold). The adjustments are modifiable from the unit itself, which changes the white balance of the light.
- Reference frames: A 3D printed reference frame (25 cm × 25 cm) and a 3:2 ratio frame were used for image processing and perspective distortion correction. The frames were placed on top of the interest area and ensured a consistent camera-to-surface distance (i.e., not varying zoom ranges and adjusting the reference frame to the picture frame size), minimizing parameters that could affect image quality.
- Frame attachment: The 3D-printed CI frame and the 3:2 perspective correction frame were attached to the damaged surface. The purpose of the outer frame was to locate the ROI, and the inner frame is used to aid the camera to mitigate perspective distortion.
- Camera setup: A tripod was used to minimize movements and ensure that the camera is aligned with the center of the segment to prevent tilted or skewed images. The camera was set to manual focus mode, and the lens zoom was adjusted to the minimum level (1.0×). The camera’s position was adjusted to ensure the outer frame overlaps with the camera view’s border. When multiple ROIs need to be collected on the same surface, the distance between the camera lens and the objective surface was measured for further reference.
- Lighting setup: LED lights were placed at the same height as the camera and at 45-degree angles relative to the subject. These LED lights offered the capability to modify the color temperature within the range of 3200 K to 5600 K, allowing for a transition from a warm yellowish color to a colder white tone.
- Remote shooting: Connecting the remote shooting software on the computer to the camera allowed for full control of the target feature to be captured.
- Perspective adjustment: The camera lens’ zoom ring was adjusted to view the perspective frame (as shown in Figure 5). The height and shooting angle were tuned to guarantee that all four corners of the frame fit within the camera’s view. After the adjustment, the camera’s shooting angle should be corrected to be perpendicular to the targeted surface.
- 6.
- Enhance image quality: The zoom ring was adjusted to the maximum level (i.e., fully zoomed-in) until a crack or any other surface feature is in focus. This ensures the best image quality. The zoom ring was then brought back to its original position, and the image was captured. The light conditions were then modified, and a new image was captured.
3.4. Image Processing
- Capture calibration images: A series of images (around 20–30) of a calibration pattern were taken from different angles and distances within the camera’s field of view, ensuring that the calibration pattern covered a significant portion of each image. The study from Zhang et al. (2000) indicated that the chessboard/checkerboard pattern is commonly used as a calibration target, which includes a grid that has distinct corner geometry allowing for precise calibration calculations [37]. In this study, an aluminum board was used for rigidity and durability, and the pattern was printed by a local photography shop.
- Detect calibration pattern corners: Detecting the corners of the calibration pattern was accomplished by inputting the calibration image set into a Python code named “calibration” [37] executed within the PyCharm 2023.2.5 software, an integrated development environment (IDE). This code can identify the corners of the calibration pattern in each image by detecting substantial changes in color in a pixel-wise manner.
- Calculate camera parameters: Calculating camera parameters involves utilizing the calibration algorithm to estimate intrinsic camera parameters (such as focal length, distortion coefficients, and principal points) as well as extrinsic parameters (comprising rotation and translation vectors). These estimations are derived from the identified corners within the calibration images.
- Undistort images: Another code named “undistortion” [37] is employed to fix the image barrel distortion within the assigned folder with the camera parameters (intrinsic and extrinsic matrix) input calculated using the “calibration” code from step 2. This code processes all subsequent images, utilizing the intrinsic camera parameters as input. This operation entails applying inverse distortion equations to each pixel, effectively eliminating the distortion effect.
4. Results
4.1. ASR Damage Measured Using the Cracking Index (CI)
4.2. Operator Sensitivity to Damage Quantification
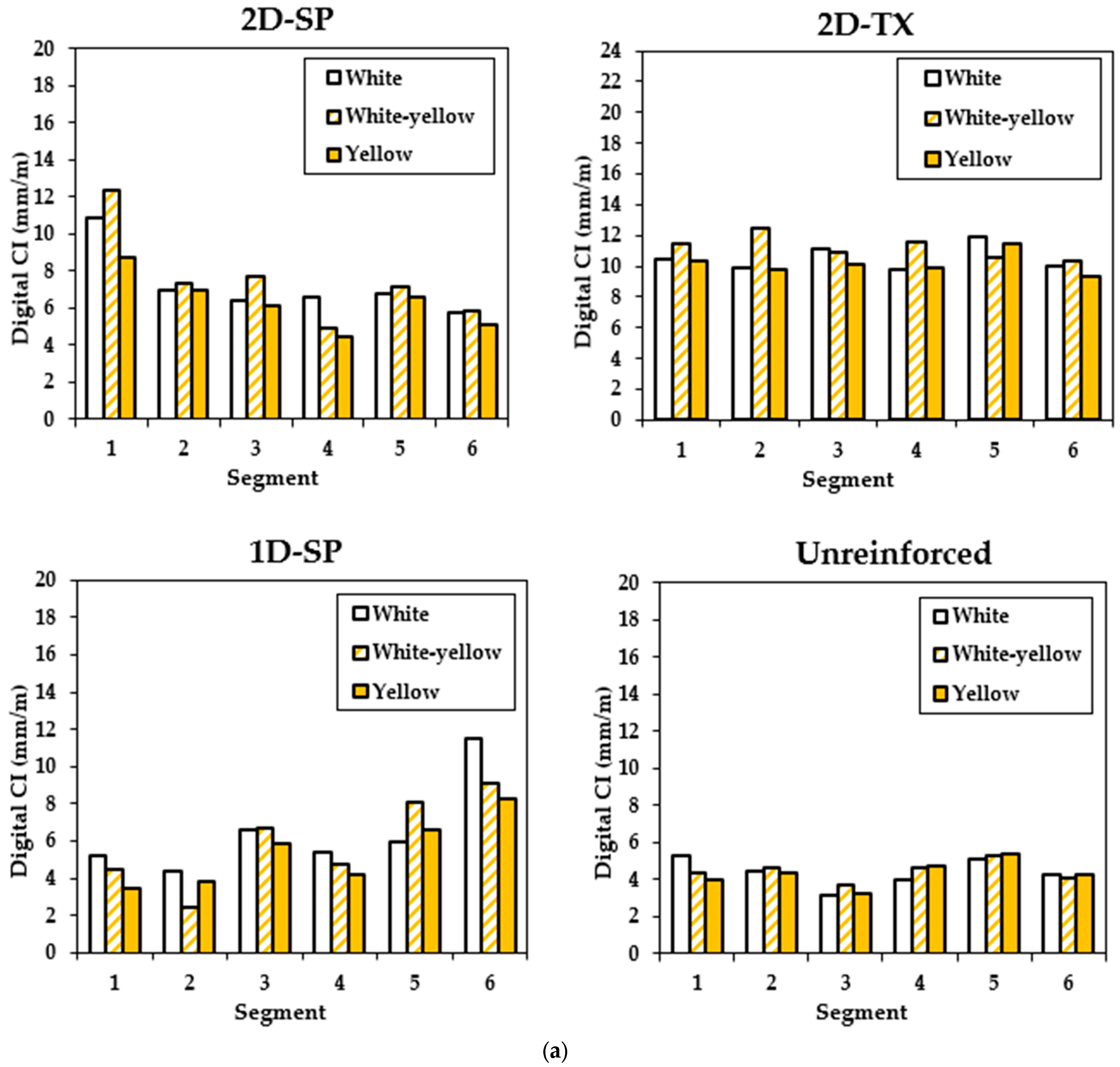
4.3. Effect of Light Temperature on the Image Analysis Result
4.4. Digital Cracking Index
4.5. Total Crack Length (TCL)
4.6. Crack Orientation
5. Discussion
5.1. Capturing Damage with Crack Directionality in Reinforced Concrete
5.2. Variability to Consider When Digitizing
5.3. Image Analysis for Damage Evaluation
6. Conclusions
- Variability in the CI computation between two operators was evaluated and was found to be negligible. Among other variable parameters that could be controlled in this study, artificial lighting was the most significant factor. All other variables were kept constant, such as the distance between the camera lens and the block surface, the camera zoom set to its minimal value, the position in the laboratory, angles adjusted for perspective distortions, and the area of analysis. Using three different light settings (all set to their maximum intensity to further reduce variability), image analysis was performed using the digital cracking index (where crack widths were measured on images) and the total crack length (where cracks were annotated/traced on images). It was thus revealed that the lighting conditions did not significantly influence the outcomes. Furthermore, converting the cracking index into a digital technique displayed a strong correlation, thereby validating the digitization process.
- A thorough protocol for image acquisition, processing, and analysis was developed in this project to facilitate the creation of similar datasets. Datasets of quantifiable features of concrete cracking are non-existent and crucial for machine learning development. The application of the protocol can lend itself beyond cracks in concrete caused by the ASR. This protocol therefore can serve as an established method to produce standardized images, ensuring data quality for further model development.
- By evaluating the expansion as a function of the CI, a linear trend was observed; however, the distinction between the various reinforcement configurations was not apparent when compared to the use of digitally measured crack widths to calculate the CI and the total crack length. The division of the CI into two directions, horizontal and vertical, helped to understand the role of crack directionality in the CI prediction using image analysis based on the total crack length. This enabled the development of two models for which horizontal and vertical cracking are treated separately as a function of their proportions, thus outputting a CI in both directions.
- Research is currently ongoing to validate the methodology when applied to real structures in the field subject to Canadian climate conditions where the level of ASR-induced internal damage is already known. This will help to establish the correlations between internal damage and corresponding external cracking due to the ASR. Moreover, the current study focused exclusively on ASR cracking; thus, further work is necessary when combined mechanisms are involved, such as mechanical cracking, shrinkage, and other internal swelling reactions.
Author Contributions
Funding
Institutional Review Board Statement
Informed Consent Statement
Data Availability Statement
Acknowledgments
Conflicts of Interest
References
- Sims, I.; Poole, A. (Eds.) Alkali-Aggregate Reaction in Concrete: A World Review; CRC Press: Boca Raton, FL, USA; Taylor & Francis Group: Abingdon, UK, 2017; ISBN 978-1-138-02756-5. [Google Scholar]
- Fanijo, E.O.; Kolawole, J.T.; Almakrab, A. Alkali-Silica Reaction (ASR) in Concrete Structures: Mechanisms, Effects and Evaluation Test Methods Adopted in the United States. Case Stud. Constr. Mater. 2021, 15, e00563. [Google Scholar] [CrossRef]
- Sanchez, L.F.M.; Fournier, B.; Mitchell, D.; Bastien, J. Condition Assessment of an ASR-Affected Overpass after Nearly 50 Years in Service. Constr. Build. Mater. 2020, 236, 117554. [Google Scholar] [CrossRef]
- ACI 201.1R-08; Guide for Conducting a Visual Inspection of Concrete in Service. American Concrete Institute: Farmington Hills, MI, USA, 2008.
- Saouma, V.E. (Ed.) Diagnosis & Prognosis of AAR Affected Structures: State-of-the-Art Report of the RILEM Technical Committee 259-ISR; RILEM State-of-the-Art Reports; Springer International Publishing: Cham, Switzerland, 2021; Volume 31, ISBN 978-3-030-44013-8. [Google Scholar]
- Fournier, B.; Bérubé, M.-A.; Thomas, M. Report on the Diagnosis, Prognosis, and Mitigation of Alkali-Silica Reaction (ASR) in Transportation Structures; The Transtec Group, Inc.: Austin, TX, USA, 2010; p. 154. [Google Scholar]
- El-Reedy, M.A. Assessment, Evaluation, and Repair of Concrete, Steel, and Offshore Structures, 1st ed.; CRC Press: Boca Raton, FL, USA, 2019; ISBN 978-0-429-42545-5. [Google Scholar]
- Zahedi, A.; Sanchez, L.F.M.; Noël, M. Appraisal of Visual Inspection Techniques to Understand and Describe ASR-Induced Development under Distinct Confinement Conditions. Constr. Build. Mater. 2022, 323, 126549. [Google Scholar] [CrossRef]
- Avendaño, J.C. Identification and Quantification of Concrete Cracks Using Image Analysis and Machine Learning. Master’s Thesis, School of Architecture and the Built Environment, Stockholm, Sweden, 2020. [Google Scholar]
- Fasseu, P.; Michel, M. Méthode D’essai LCPC No. 47 Détermination de L’indice de Fissuration d’un Parement de Béton; Laboratoire Central des Ponts et Chaussées (LCPC): Paris, France, 1997. [Google Scholar]
- Moliard, J.-M.; Baltazart, V.; Bérenger, B.; Perrin, T.; Tessier, C. Digitized Measurement of the Cracking Index on the Facings of Concrete Structures. In Proceedings of the 8th RILEM International Conference on Mechanisms of Cracking and Debonding in Pavements, Chabot, Nantes, France, 7–9 June 2016; Buttlar, W.G.A., Dave, E.V., Petit, C., Tebaldi, G., Eds.; RILEM Bookseries; Springer: Dordrecht, The Netherlands, 2016; Volume 13, pp. 731–737. [Google Scholar]
- Kabir, S. Imaging-Based Detection of AAR Induced Map-Crack Damage in Concrete Structure. NDT E Int. 2010, 43, 461–469. [Google Scholar] [CrossRef]
- Kim, B.; Cho, S. Image-based Concrete Crack Assessment Using Mask and Region-based Convolutional Neural Network. Struct Control. Health Monit 2019, 26, e2381. [Google Scholar] [CrossRef]
- Thériault, F.; Noël, M.; Sanchez, L.F.M. Simplified Approach for Quantitative Inspections of Concrete Structures Using Digital Image Correlation. Eng. Struct. 2022, 252, 113725. [Google Scholar] [CrossRef]
- Hsieh, Y.-A.; Tsai, Y.J. Machine Learning for Crack Detection: Review and Model Performance Comparison. J. Comput. Civ. Eng. 2020, 34, 04020038. [Google Scholar] [CrossRef]
- Mohan, A.; Poobal, S. Crack Detection Using Image Processing: A Critical Review and Analysis. Alex. Eng. J. 2018, 57, 787–798. [Google Scholar] [CrossRef]
- Munawar, H.S.; Hammad, A.W.A.; Haddad, A.; Soares, C.A.P.; Waller, S.T. Image-Based Crack Detection Methods: A Review. Infrastructures 2021, 6, 115. [Google Scholar] [CrossRef]
- Akgül, İ. Mobile-DenseNet: Detection of Building Concrete Surface Cracks Using a New Fusion Technique Based on Deep Learning. Heliyon 2023, 9, e21097. [Google Scholar] [CrossRef]
- Bai, Y.; Sezen, H.; Yilmaz, A. End-to-End Deep Learning Methods for Automated Damage Detection in Extreme Events at Various Scales. In Proceedings of the 2020 25th International Conference on Pattern Recognition (ICPR), Milan, Italy, 10–15 January 2021; pp. 6640–6647. [Google Scholar]
- Billah, U.H.; Tavakkoli, A.; La, H.M. Concrete Crack Pixel Classification Using an Encoder Decoder Based Deep Learning Architecture. In Advances in Visual Computing; Lecture Notes in Computer Science, Bebis, G., Boyle, R., Parvin, B., Koracin, D., Ushizima, D., Chai, S., Sueda, S., Lin, X., Lu, A., Thalmann, D., et al., Eds.; Springer International Publishing: Cham, Switzerland, 2019; Volume 11844, pp. 593–604. ISBN 978-3-030-33719-3. [Google Scholar]
- Chakurkar, P.S.; Vora, D.; Patil, S.; Mishra, S.; Kotecha, K. Data-Driven Approach for AI-Based Crack Detection: Techniques, Challenges, and Future Scope. Front. Sustain. Cities 2023, 5, 1253627. [Google Scholar] [CrossRef]
- Chen, Y.; Zhu, Z.; Lin, Z.; Zhou, Y. Building Surface Crack Detection Using Deep Learning Technology. Buildings 2023, 13, 1814. [Google Scholar] [CrossRef]
- Golding, V.P.; Gharineiat, Z.; Munawar, H.S.; Ullah, F. Crack Detection in Concrete Structures Using Deep Learning. Sustainability 2022, 14, 8117. [Google Scholar] [CrossRef]
- Islam, M.M.; Hossain, M.B.; Akhtar, M.N.; Moni, M.A.; Hasan, K.F. CNN Based on Transfer Learning Models Using Data Augmentation and Transformation for Detection of Concrete Crack. Algorithms 2022, 15, 287. [Google Scholar] [CrossRef]
- Katsigiannis, S.; Seyedzadeh, S.; Agapiou, A.; Ramzan, N. Deep Learning for Crack Detection on Masonry Façades Using Limited Data and Transfer Learning. J. Build. Eng. 2023, 76, 107105. [Google Scholar] [CrossRef]
- Kim, J.-H.; Lee, J. Efficient Dataset Collection for Concrete Crack Detection With Spatial-Adaptive Data Augmentation. IEEE Access 2023, 11, 121902–121913. [Google Scholar] [CrossRef]
- Meng, X. Concrete Crack Detection Algorithm Based on Deep Residual Neural Networks. Sci. Program. 2021, 2021, 3137083. [Google Scholar] [CrossRef]
- Padsumbiya, M.; Brahmbhatt, V.; Thakkar, S. Automatic Crack Detection Using Convolutional Neural Network. J. Soft Comput. Civ. Eng. 2022, 6, 1–17. [Google Scholar] [CrossRef]
- Palevičius, P.; Pal, M.; Landauskas, M.; Orinaitė, U.; Timofejeva, I.; Ragulskis, M. Automatic Detection of Cracks on Concrete Surfaces in the Presence of Shadows. Sensors 2022, 22, 3662. [Google Scholar] [CrossRef] [PubMed]
- Shim, S. Self-training Approach for Crack Detection Using Synthesized Crack Images Based on Conditional Generative Adversarial Network. Comput. Aided Civ. Eng. 2023, mice.13119. [Google Scholar] [CrossRef]
- Tello, C.; Jabari, S.; Waugh, L.; Masry, M.; McGinn, J. Improving Crack Detection on Concrete Structures Using Real-World Data Augmentation for Deep Learning Convolutional Neural Networks; Springer International Publishing: Moncton, NB, Canada, 2023. [Google Scholar]
- Ren, S.; He, K.; Girshick, R.; Sun, J. Faster R-CNN: Towards Real-Time Object Detection with Region Proposal Networks. IEEE Trans. Pattern Anal. Mach. Intell. 2017, 39, 1137–1149. [Google Scholar] [CrossRef]
- Zahedi, A.; Trottier, C.; Sanchez, L.F.M.; Noël, M. Condition Assessment of Alkali-Silica Reaction Affected Concrete under Various Confinement Conditions Incorporating Fine and Coarse Reactive Aggregates. Cem. Concr. Res. 2022, 153, 106694. [Google Scholar] [CrossRef]
- Zahedi, A. Evaluating ASR Physicochemical Process under Distinct Restraint Conditions for a Better Assessment of Affected Concrete Infrastructure; University of Ottawa: Ottawa, ON, Canada, 2021. [Google Scholar]
- ASTM C1293-20a; Standard Test Method for Determination of Length Change of Concrete Due to Alkali-Silica Reaction. ASTM International: West Conshohocken, PA, USA, 1995.
- Stankiewicz, O.; Lafruit, G.; Domański, M. Multiview Video: Acquisition, Processing, Compression, and Virtual View Rendering. In Academic Press Library in Signal Processing; Elsevier: Amsterdam, The Netherlands, 2018; Volume 6, pp. 3–74. ISBN 978-0-12-811889-4. [Google Scholar]
- Zhang, Z. A Flexible New Technique for Camera Calibration. IEEE Trans. Pattern Anal. Machine Intell. 2000, 22, 1330–1334. [Google Scholar] [CrossRef]
- Culjak, I.; Abram, D.; Pribanic, T.; Dzapo, H.; Cifrek, M. A Brief Introduction to OpenCV. In Proceedings of the 2012 Proceedings of the 35th International Convention MIPRO, Opatija, Croatia, 21–25 May 2012; pp. 1725–1730. [Google Scholar]
- Schneider, C.A.; Rasband, W.S.; Eliceiri, K.W. NIH Image to ImageJ: 25 years of image analysis. Nat. Methods 2012, 9, 671–675. [Google Scholar] [CrossRef]




















| Block Title | Description | Measured Expansion % | |
|---|---|---|---|
| Longitudinal | Transverse | ||
| B3 | Unconfined, SP | 0.817 | 0.818 |
| B5 | Unconfined, SP | 0.817 | 0.818 |
| B12 | 1D-SP | 0.817 | 0.818 |
| B2D21 | 2D-SP | 0.700 | 0.710 |
| B2D19 | 2D-SP | 0.700 | 0.710 |
| B25 | 2D-TX | 0.801 | 0.826 |
| B2D29 | 2D-TX | 0.801 | 0.826 |
| Operator 1 | Operator 2 | |
|---|---|---|
| Mean | 5.74 | 5.88 |
| Variance | 7.51 | 7.08 |
| Observations | 66 | 66 |
| Pearson Correlation | 0.95 | |
| Hypothesized Mean Difference | 0 | |
| df | 65 | |
| t Stat | −1.46 | |
| p (T ≤ t) one-tail | 0.37 | |
| t Critical one-tail | 1.66 |
| (a) ANOVA of the Cracking Index under Different Light Conditions | |||
| Block type | F | p-Value | F-Critical |
| 2D-SP | 0.54 | 0.59 | 3.68 |
| 2D-TX | 1.86 | 0.19 | 3.68 |
| 1D-SP | 0.51 | 0.61 | 3.68 |
| Unreinforced | 0.67 | 0.53 | 3.68 |
| (b) ANOVA of Total Crack Length under Different Light Conditions | |||
| Block type | F | p-Value | F-Critical |
| 2D-SP | 1.95 | 0.18 | 3.68 |
| 2D-TX | 0.12 | 0.89 | 3.68 |
| 1D-SP | 0.46 | 0.64 | 3.68 |
| Unreinforced | 1.86 | 0.19 | 3.68 |
| Block Label | 1 | 2 | 3 | 4 | 5 | 6 | Average |
|---|---|---|---|---|---|---|---|
| 1D-SP | 36.99 | 35.91 | 30.38 | 44.74 | 43.35 | 37.83 | 38.20 |
| 2D-SP | 33.32 | 40.23 | 25.17 | 34.82 | 43.70 | 35.00 | 35.37 |
| 2D-TX | 40.22 | 26.09 | 34.34 | 33.93 | 30.34 | 33.77 | 33.12 |
| Unreinforced | 44.60 | 44.51 | 56.42 | 38.39 | 42.82 | 45.99 | 45.46 |
| Description | Expansion % | Difference % | |
|---|---|---|---|
| Average Measured | Calculated | ||
| Unconfined, SP | 0.818 | 0.333 | 59 |
| 1D-SP | 0.818 | 0.289 | 65 |
| 2D-SP | 0.705 | 0.541 | 23 |
| 2D-TX | 0.814 | 0.431 | 47 |
| Horizontal Direction | Manual | Digital | Vertical Direction | Manual | Digital |
|---|---|---|---|---|---|
| Mean (mm/m) | 3.55 | 3.90 | Mean (mm/m) | 1.25 | 1.29 |
| Variance ((mm/m)2) | 3.01 | 3.50 | Variance ((mm/m)2) | 0.56 | 0.56 |
| Observations | 24.00 | 24.00 | Observations | 24.00 | 24.00 |
| Pearson Correlation | 0.92 | Pearson Correlation | 0.91 | ||
| Hypothesized Mean Difference | 0.00 | Hypothesized Mean Difference | 0.00 | ||
| df | 23.00 | df | 23.00 | ||
| t Stat | −2.30 | t Stat | −0.67 | ||
| p (T ≤ t) two-tail | 0.05 | p (T ≤ t) two-tail | 0.05 | ||
| t Critical two-tail | 2.07 | t Critical two-tail | 2.07 |
| Horizontal Direction | Predicted | Manual | Vertical Direction | Predicted | Manual |
|---|---|---|---|---|---|
| Mean (mm/m) | 3.90 | 3.90 | Mean (mm/m) | 1.24 | 1.23 |
| Variance ((mm/m)2) | 3.50 | 2.24 | Variance ((mm/m)2) | 0.50 | 0.20 |
| Observations | 24.00 | 24.00 | Observations | 24.00 | 24.00 |
| Pearson Correlation | 0.80 | Pearson Correlation | 0.74 | ||
| Hypothesized Mean Difference | 0.00 | Hypothesized Mean Difference | 0.00 | ||
| df | 23.00 | df | 23.00 | ||
| t Stat | 0.00 | t Stat | 0.07 | ||
| p (T ≤ t) two-tail | 0.96 | p (T ≤ t) two-tail | 0.94 | ||
| t Critical two-tail | 2.07 | t Critical two-tail | 2.07 |
Disclaimer/Publisher’s Note: The statements, opinions and data contained in all publications are solely those of the individual author(s) and contributor(s) and not of MDPI and/or the editor(s). MDPI and/or the editor(s) disclaim responsibility for any injury to people or property resulting from any ideas, methods, instructions or products referred to in the content. |
© 2024 by the authors. Licensee MDPI, Basel, Switzerland. This article is an open access article distributed under the terms and conditions of the Creative Commons Attribution (CC BY) license (https://creativecommons.org/licenses/by/4.0/).
Share and Cite
Zhang, H.; Trottier, C.; Sanchez, L.F.M.; Allard, A. An Integrated Framework for Image Acquisition, Processing, and Analysis Procedures for Automated Damage Evaluation of Concrete Surfaces. Materials 2024, 17, 813. https://doi.org/10.3390/ma17040813
Zhang H, Trottier C, Sanchez LFM, Allard A. An Integrated Framework for Image Acquisition, Processing, and Analysis Procedures for Automated Damage Evaluation of Concrete Surfaces. Materials. 2024; 17(4):813. https://doi.org/10.3390/ma17040813
Chicago/Turabian StyleZhang, Haixu, Cassandra Trottier, Leandro F. M. Sanchez, and Anthony Allard. 2024. "An Integrated Framework for Image Acquisition, Processing, and Analysis Procedures for Automated Damage Evaluation of Concrete Surfaces" Materials 17, no. 4: 813. https://doi.org/10.3390/ma17040813
APA StyleZhang, H., Trottier, C., Sanchez, L. F. M., & Allard, A. (2024). An Integrated Framework for Image Acquisition, Processing, and Analysis Procedures for Automated Damage Evaluation of Concrete Surfaces. Materials, 17(4), 813. https://doi.org/10.3390/ma17040813

