Fabrication of (Ge0.42Sn0.58)S Thin Films via Co-Evaporation and Their Solar Cell Applications
Abstract
1. Introduction
2. Materials and Methods
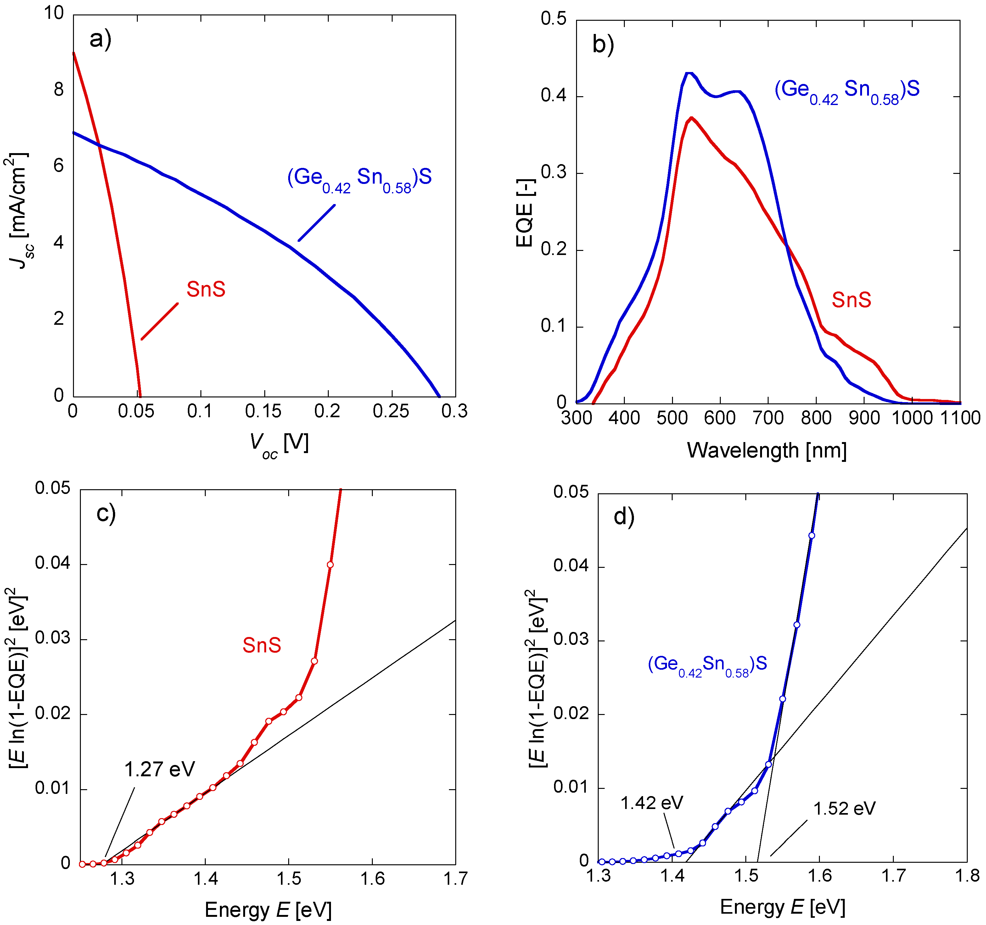
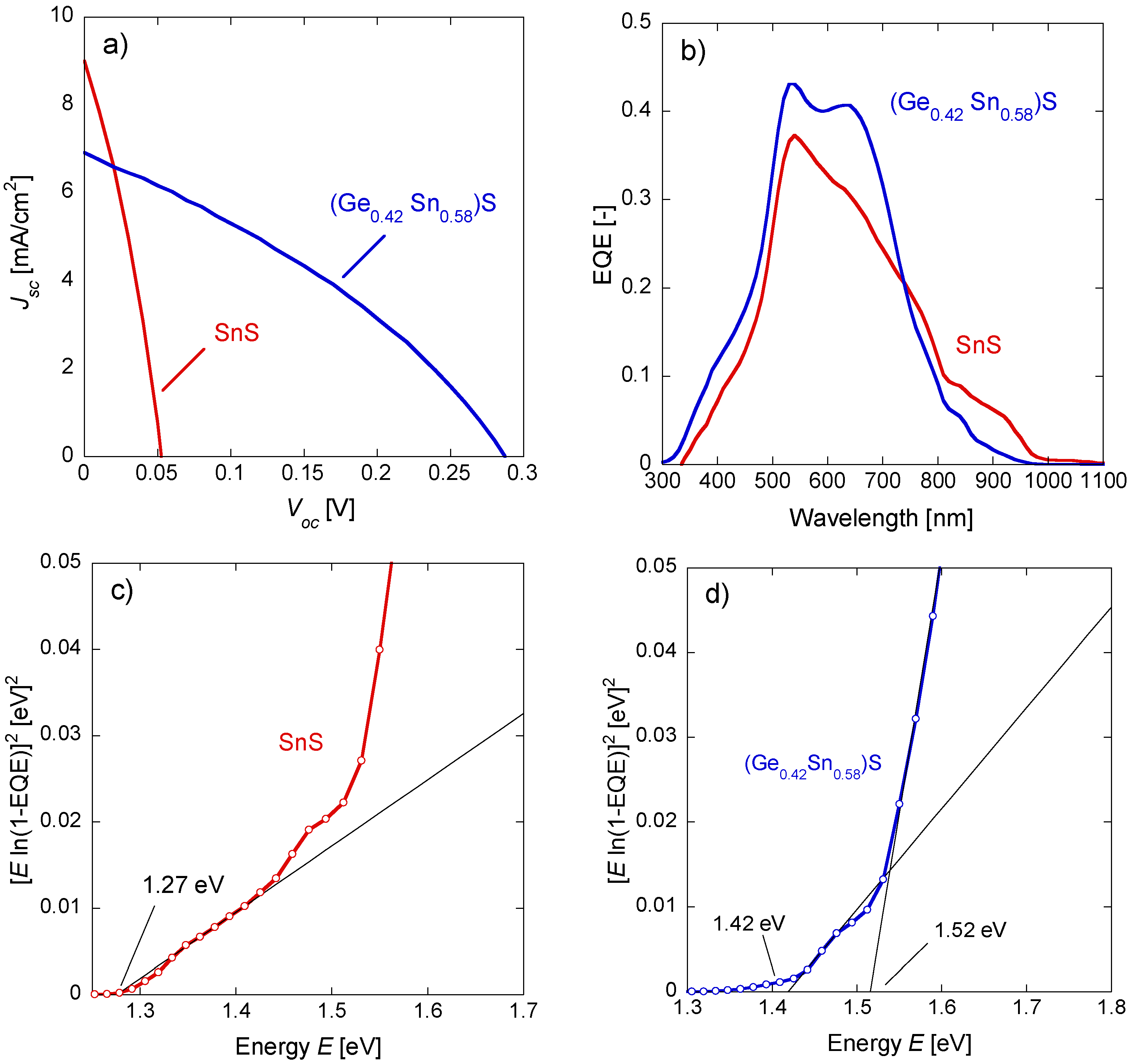
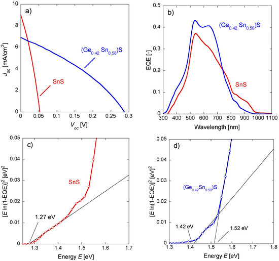
3. Results and Discussion
4. Conclusions
Author Contributions
Funding
Data Availability Statement
Conflicts of Interest
References
- Green, M.A.; Dunlop, E.D.; Yoshita, M.; Kopidakis, N.; Bothe, K.; Siefer, G.; Hao, X. Solar cell efficiency tables (version 62). Prog. Photovolt. Res. Appl. 2023, 31, 651–663. [Google Scholar] [CrossRef]
- Nair, P.K.; Garcia-Angelmo, A.R.; Nair, M.T.S. Cubic and orthorhombic SnS thin-film absorbers for tin sulfide solar cells. Phys. Status Solidi A 2016, 213, 170–177. [Google Scholar] [CrossRef]
- Garcia-Angelmo, A.R.; Romano-Trujillo, R.; Campos-Alvarez, J.; Gomez-Daza, O.; Nair, M.T.S.; Nair, P.K. Thin film solar cell of SnS absorber with cubic crystalline structure. Phys. Status Solidi A 2015, 212, 2332–2340. [Google Scholar] [CrossRef]
- Ahmet, I.Y.; Guc, M.; Sánchez, Y.; Neuschitzer, M.; Izquierdo-Roca, V.; Saucedo, E.; Johnson, A.L. Evaluation of AA-CVD deposited phase pure polymorphs of SnS for thin films solar cells. RSC Adv. 2019, 9, 14899. [Google Scholar] [CrossRef] [PubMed]
- Norton, K.J.; Alam, F.; Lewis, D.J. A Review of the Synthesis, Properties, and Applications of Bulk and Two-Dimensional Tin (II) Sulfide (SnS). Appl. Sci. 2021, 11, 2062. [Google Scholar] [CrossRef]
- Steinmann, V.; Jaramillo, R.; Hartman, K.; Chakraborty, R.; Brandt, R.E.; Poindexter, J.R.; Lee, Y.S.; Sun, L.; Polizzotti, A.; Park, H.H.; et al. 3.88% Efficient Tin Sulfide Solar Cells Using Congruent Thermal Evaporation. Adv. Mater. 2014, 26, 7488–7492. [Google Scholar] [CrossRef] [PubMed]
- Kawano, Y.; Chantana, J.; Minemoto, T. Impact of growth temperature on the properties of SnS film prepared by thermal evaporation and its photovoltaic performance. Curr. Appl. Phys. 2015, 15, 897–901. [Google Scholar] [CrossRef]
- Yago, A.; Kibishi, T.; Akaki, Y.; Nakamura, S.; Oomae, H.; Katagiri, H.; Araki, H. Influence of Sn/S composition ratio on SnS thin-film solar cells produced via co-evaporation method. Jpn. J. Appl. Phys. 2018, 57, 02CE08. [Google Scholar] [CrossRef]
- Yago, A.; Sasagawa, S.; Akaki, Y.; Nakamura, S.; Oomae, H.; Katagiri, H.; Araki, H. Comparison of buffer layers on SnS thin-film solar cells prepared by co-evaporation. Phys. Status Solidi C 2017, 14, 1600194. [Google Scholar] [CrossRef]
- Cifuentes, C.; Botero, M.; Romero, E.; Calderón, C.; Gordillo, G. Optical and structural studies on SnS films grown by co-evaporation. Braz. J. Phys. 2006, 36, 1046–1049. [Google Scholar] [CrossRef]
- Arepalli, V.K.; Shin, Y.; Kim, J. Photovoltaic behavior of the room temperature grown RF-Sputtered SnS thin films. Opt. Mater. 2019, 88, 594–600. [Google Scholar] [CrossRef]
- Zhao, L.; Di, Y.; Yan, C.; Liu, F.; Cheng, Z.; Jiang, L.; Hao, X.; Lai, Y.; Li, J. In situ growth of SnS absorbing layer by reactive sputtering for thin film solar cells. RSC Adv. 2016, 6, 4108–4115. [Google Scholar] [CrossRef]
- Suzuki, I.; Kawanishi, S.; Bauers, S.R.; Zakutayev, A.; Lin, Z.; Tsukuda, S.; Shibata, H.; Kim, M.; Yanagi, H.; Omata, T. n-type electrical conduction in SnS thin films. Phys. Rev. Mater. 2021, 5, 125405. [Google Scholar] [CrossRef]
- Kawanishi, S.; Suzuki, I.; Bauers, S.R.; Zakutayev, A.; Shibata, H.; Yanagi, H.; Omata, T. SnS Homojunction Solar Cell with n-Type Single Crystal and p-Type Thin Film. Sol. RRL 2021, 5, 2000708. [Google Scholar] [CrossRef]
- Sugiyama, M.; Reddy, K.T.R.; Revathi, R.; Shimamoto, Y.; Murata, Y. Band offset of SnS solar cell structure measured by X-ray photoelectron spectroscopy. Thin Solid Films 2011, 519, 7429–7431. [Google Scholar] [CrossRef]
- Minemura, T.; Miyauchi, K.; Noguchi, K.; Ohtsuka, K.; Nakanishi, H.; Sugiyama, M. Preparation of SnS films by low-temperature sulfurization. Phys. Status Solidi C 2009, 6, 1221–1224. [Google Scholar] [CrossRef]
- Sinsermsuksakul, P.; Heo, J.; Noh, W.; Hock, A.S.; Gordon, R.G. Atomic Layer Deposition of Tin Monosulfide Thin Films. Adv. Energy Mater. 2011, 1, 1116–1125. [Google Scholar] [CrossRef]
- Sinsermsuksakul, P.; Sun, L.; Lee, S.W.; Park, H.H.; Kim, S.B.; Yang, C.; Gordon, R.G. Overcoming Efficiency Limitations of SnS-Based Solar Cells. Adv. Energy Mater. 2014, 4, 1400496. [Google Scholar] [CrossRef]
- Choi, Y.; Park, H.; Lee, N.; Kim, B.; Lee, J.; Lee, G.; Jeon, H. Deposition of the tin sulfide thin films using ALD and a vacuum annealing process for tuning the phase transition. J. Alloys Compd. 2022, 896, 162806. [Google Scholar] [CrossRef]
- Higareda-Sánchez, A.; Mis-Fernández, R.; Rimmaudo, I.; Camacho-Espinosa, E.; Peña, J.L. Evaluation of pH and deposition mechanisms effect on tin sulfide thin films deposited by chemical bath deposition. Superlattices Microstruct. 2021, 151, 106831. [Google Scholar] [CrossRef]
- Araki, H.; Abe, M.; Yago, A.; Katagiri, H.; Akaki, Y. Preparation of SnS Thin Films Using Close Space Sublimation. J. Nanoelectron. Optoelectron. 2019, 12, 920–924. [Google Scholar] [CrossRef]
- Lin, D.-Y.; Hsu, H.-P.; Liu, K.-H.; Wu, P.-H.; Shih, Y.-T.; Wu, Y.-F.; Wang, Y.-P.; Lin, C.-F. Enhanced Optical Response of SnS/SnS2 Layered Heterostructure. Sensors 2023, 23, 4976. [Google Scholar] [CrossRef]
- Noguchi, H.; Setiyadi, A.; Tanamura, H.; Nagatomo, T.; Omoto, O. Characterization of vacuum-evaporated tin sulfide film for solar cell materials. Sol. Energy Mater. Sol. Cells 1994, 35, 325–331. [Google Scholar] [CrossRef]
- Reddy, K.T.R.; Reddy, N.K.; Miles, R.W. Photovoltaic properties of SnS based solar cells. Sol. Energy Mater. Sol. Cells 2006, 90, 3041–3046. [Google Scholar] [CrossRef]
- Ikuno, T.; Suzuki, R.; Kitazumi, K.; Takahashi, N.; Kato, N.; Higuchi, K. SnS thin film solar cells with Zn1−xMgxO buffer layers. Appl. Phys. Lett. 2013, 102, 193901. [Google Scholar] [CrossRef]
- Cho, J.Y.; Kim, S.Y.; Nandi, R.; Jang, J.; Yun, H.-S.; Enkhbayar, E.; Kim, J.H.; Lee, D.-K.; Chung, C.-H.; Kim, J.H.; et al. Achieving over 4% efficiency for SnS/CdS thin-film solar cells by improving the heterojunction interface quality. J. Mater. Chem. A 2020, 8, 20658–20665. [Google Scholar] [CrossRef]
- Yun, H.-S.; Park, B.; Choi, Y.C.; Im, J.; Shin, T.J.; Seok, S. Efficient Nanostructured TiO2/SnS Heterojunction. Sol. Cells Adv. Energy Mater. 2019, 9, 1901343. [Google Scholar] [CrossRef]
- Andrade-Arvizua, J.A.; García-Sánchez, M.F.; Courel-Piedrahitaa, M.; Pulgarín-Agudeloa, F.; Santiago-Jaimes, E.; Valencia-Resendiz, E.; Arce-Plazac, A.; Vigil-Galána, O. Suited growth parameters inducing type of conductivity conversions on chemical spray pyrolysis synthesized SnS thin films. J. Anal. Appl. Pyrolysis 2016, 121, 347–359. [Google Scholar] [CrossRef]
- Yanagi, H.; Iguchi, Y.; Sugiyama, T.; Kamiya, T.; Hosono, H. N-type conduction in SnS by anion substitution with Cl. Appl. Phys. Express 2016, 9, 051201. [Google Scholar] [CrossRef]
- Kawamura, F.; Song, Y.; Murata, H.; Tampo, H.; Nagai, T.; Koida, T.; Imura, M.; Yamada, N. Tunability of the bandgap of SnS by variation of the cell volume by alloying with A.E. elements. Sci. Rep. 2022, 12, 7434. [Google Scholar] [CrossRef]
- Im, H.Y.; Myung, Y.; Park, K.; Jung, C.S.; Lim, Y.R.; Jang, D.M.; Park, J. Ternary alloy nanocrystals of tin and germanium chalcogenides. RSC Adv. 2014, 4, 15695–15701. [Google Scholar] [CrossRef]
- Motai, D.; Tasaki, T.; Araki, H. Fabrication of solar cell using Ge-Sn-S thin film prepared by co-evaporation. Jpn. J. Appl. Phys. 2023, 62, SK1037. [Google Scholar] [CrossRef]
- Motai, D.; Ohashi, R.; Araki, H. Effect of annealing temperature on p–n junction formation in Cu2SnS3 thin-film solar cells fabricated via the co-evaporation of elemental precursors. Jpn. J. Appl. Phys. 2022, 61, SB1043. [Google Scholar] [CrossRef]
- Malone, B.D.; Gali, A.; Kaxiras, E. First principles study of point defects in SnS. Phys. Chem. Chem. Phys. 2014, 16, 26176–26183. [Google Scholar] [CrossRef]
- Li, M.; Wu, Y.; Li, T.; Chen, Y.; Ding, H.; Lin, Y.; Pan, N.; Wang, X. Revealing anisotropy and thickness dependence of Raman spectra for SnS flakes. RSC Adv. 2017, 7, 48759–48765. [Google Scholar] [CrossRef]
- Tan, D.; Lim, H.E.; Wang, F.; Mohamed, N.B.; Mouri, S.; Zhang, W.; Miyauchi, Y.; Ohfuchi, M.; Matsuda, K. Anisotropic optical and electronic properties of two-dimensional layered germanium sulfide. Nano Res. 2017, 10, 546–555. [Google Scholar] [CrossRef]
- Stetsenko, M.О.; Voznyi, A.A.; Kosyak, V.V.; Rudenko, S.P.; Maksimenko, L.S.; Serdega, B.K.; Opanasuk, A.S. Plasmonic Effects in Tin Disulfide Nanostructured Thin Films Obtained by the Close-Spaced Vacuum Sublimation. Plasmonics 2016, 12, 1213–1220. [Google Scholar] [CrossRef]
- Araki, H.; Yamano, M.; Nishida, G.; Takeuchi, A.; Aihara, N.; Tanaka, K. Synthesis and characterization of Cu2Sn1−xGexS3. Phys. Stat. Sol. 2014, 14, 1600199. [Google Scholar] [CrossRef]
- Banai, R.E.; Horn, M.W.; Browson, J.R.S. A review of tin (II) monosulfide and its potential as a photovoltaic absorber. Sol. Energy Mater. Sol. Cells 2016, 150, 112–129. [Google Scholar] [CrossRef]






| SnS [32] | (Gex Sn1−x)S | |
|---|---|---|
| Deposition time [hours] | 3 | 3 |
| Ge cell temperature [°C] | - | 1200 |
| Sn cell temperature [°C] | 1015 | 1010 |
| S temperature [°C] | 150 | 150 |
| Substrate temperature [°C] | 300 | 150 |
| S-Valve opening | 3 | 1.5 |
| Thickness [µm] | Ge/(Ge + Sn) | (Ge + Sn)/S | |
|---|---|---|---|
| SnS [32] | 0.687 | 0 | 0.98 |
| (Gex Sn1−x)S (As deposited) | 1.087 | 0.42 | 0.95 |
| (Gex Sn1−x)S (Annealed) | 1.033 | 0.42 | 0.98 |
| Area [cm2] | Voc [V] | Jsc [mA/cm2] | FF | PCE [%] | |
|---|---|---|---|---|---|
| SnS [32] | 0.1577 | 0.053 | 9.00 | 0.32 | 0.15 |
| (Ge0.42 Sn0.58)S | 0.1514 | 0.29 | 6.92 | 0.34 | 0.67 |
Disclaimer/Publisher’s Note: The statements, opinions and data contained in all publications are solely those of the individual author(s) and contributor(s) and not of MDPI and/or the editor(s). MDPI and/or the editor(s) disclaim responsibility for any injury to people or property resulting from any ideas, methods, instructions or products referred to in the content. |
© 2024 by the authors. Licensee MDPI, Basel, Switzerland. This article is an open access article distributed under the terms and conditions of the Creative Commons Attribution (CC BY) license (https://creativecommons.org/licenses/by/4.0/).
Share and Cite
Motai, D.; Araki, H. Fabrication of (Ge0.42Sn0.58)S Thin Films via Co-Evaporation and Their Solar Cell Applications. Materials 2024, 17, 692. https://doi.org/10.3390/ma17030692
Motai D, Araki H. Fabrication of (Ge0.42Sn0.58)S Thin Films via Co-Evaporation and Their Solar Cell Applications. Materials. 2024; 17(3):692. https://doi.org/10.3390/ma17030692
Chicago/Turabian StyleMotai, Daiki, and Hideaki Araki. 2024. "Fabrication of (Ge0.42Sn0.58)S Thin Films via Co-Evaporation and Their Solar Cell Applications" Materials 17, no. 3: 692. https://doi.org/10.3390/ma17030692
APA StyleMotai, D., & Araki, H. (2024). Fabrication of (Ge0.42Sn0.58)S Thin Films via Co-Evaporation and Their Solar Cell Applications. Materials, 17(3), 692. https://doi.org/10.3390/ma17030692
