Fatigue Life Prediction Model of FRP–Concrete Interface Based on Gene Expression Programming
Abstract
1. Introduction
2. Gene Expression Programming
3. GEP-Based Fatigue Life Prediction Model for FRP–Concrete Interface
3.1. Experimental Data and Correlation Analysis
3.2. GEP Model Parameter Settings
- Selection of the test set and training set: In this paper, 219 sets of data were randomly divided into the training set and the test set at a ratio of 3:1, and 165 sets of training set data and 54 sets of test set data were obtained.
- Selection of the fitness function: In this paper, we adopted the root-mean-squared error (RMSE) as the optimization objective, which quantifies the gap between the prediction result of an individual and the actual target, and we selected the population by calculating the RMSE as follows:In the equation, denotes the fitness value, denotes the total number of chromosomes, denotes the predicted value, and denotes the true value.
- 3.
- Determination of the endpoint set T and the function set F: The endpoint set T consists of numerical constants, variables to be solved, and uninvolved functions, and the function symbol set F consists of function symbols of the model expression. In this paper, , in which and represent, respectively, , and , and mathematical expressions can be constructed based on these function symbols.
- 4.
- Selection of the linkage function: The linkage function determines how to combine the genomes to form an effective gene expression. Commonly used linkage functions are addition (+), subtraction (−), multiplication (×), and division (/) [33]. In this study, better results can be obtained by choosing addition (+) as a linking function compared to other linking functions (−, ×, /), and the literature [34,35] yielded similar results.
- 5.
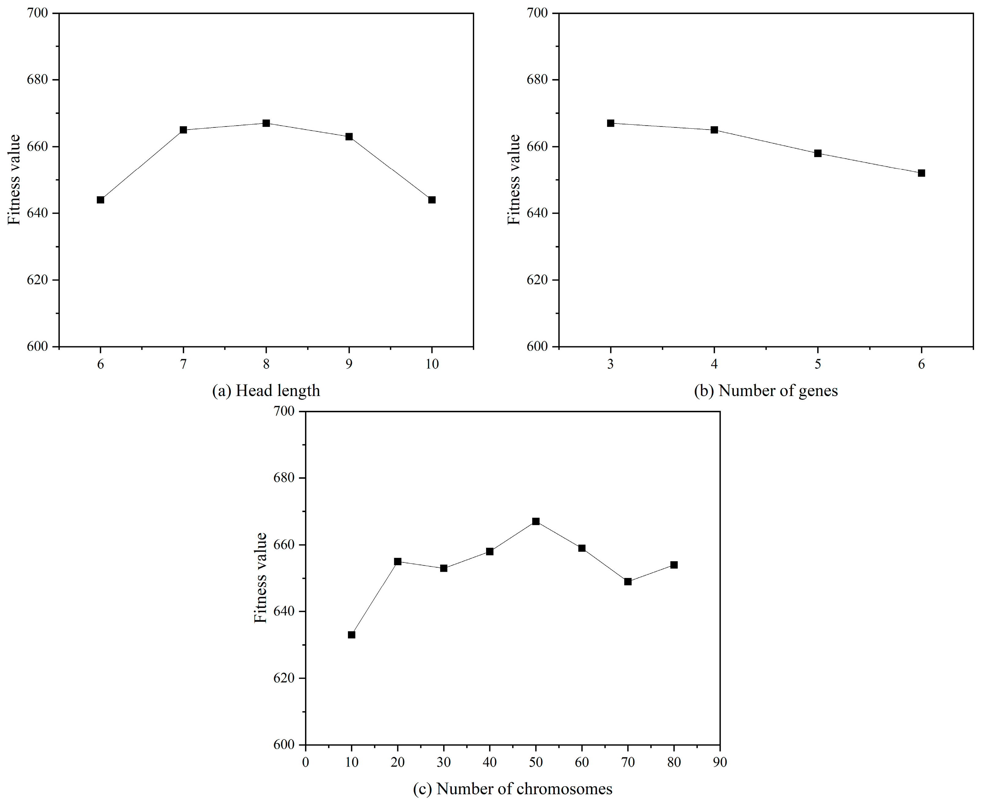
- Parameter setting: A trial-and-error strategy is used to determine the optimal values of gene head length (gene tail length is determined according to Equation (1)), gene number, and chromosome number. The change in fitness value with the gene head length, gene number, and chromosome number is shown schematically in Figure 4, and the value corresponding to the maximum fitness value is determined as the optimal value of this parameter. Obviously, the optimal values of gene head length, gene number, and chromosome number are 8, 3, and 50, respectively. The set of genetic operators is used to carry out the gene crossover, gene mutation, and other operations in the process of optimization of the gene expression programming algorithm, and the values of the genetic operator set in this paper are set according to the “optimal evolution” strategy in GeneXproTools 5.0 software. The values are shown in Table 2.
3.3. Selection of the Optimal Input Form
3.4. Performance Evaluation of the Model
3.4.1. Sensitivity Analysis of the Model
3.4.2. Analysis of the Importance of Variables
4. Comparative Analysis with Existing Models
5. Conclusions
- Based on the results of the Pearson analysis of the database in this paper and the existing research results, five different input forms were selected to study their effects on the accuracy of fatigue life prediction. The optimal input form of the model was obtained, and the explicit expression of the fatigue life prediction model considering multiple factors was obtained.
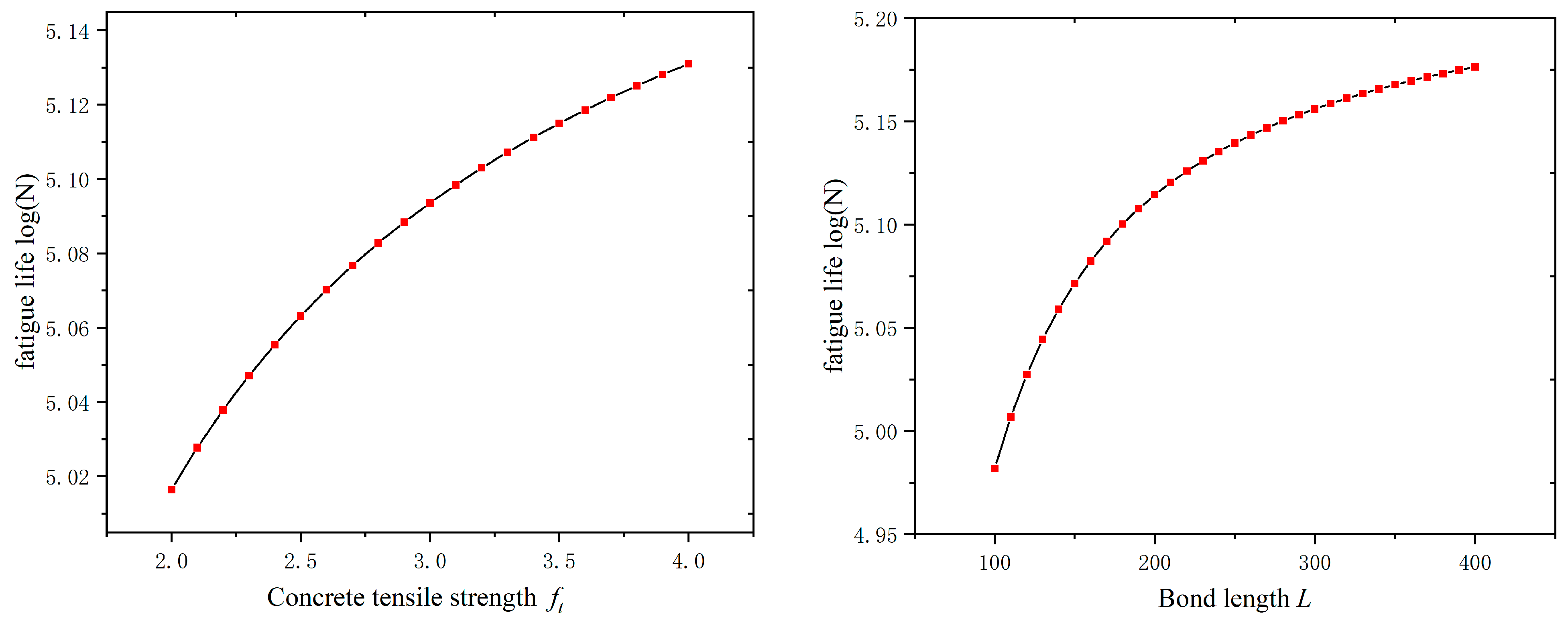
- The reasonableness of the model proposed in this paper is proven using variable sensitivity analysis and importance analysis. Among them, the fatigue life increases with the increase in concrete tensile strength and bond length and decreases with the increase in stress level. Further study is needed on the effects of the FRP-to-concrete width ratio (EB) and groove depth-to-width ratio (NSM) on fatigue life.
- When comparing and analyzing the GEP model with the existing model, we found that the of the GEP model is higher than that of the existing model, and the statistical indices such as are lower than that of other models, while the prediction error is smaller. This shows that the GEP model proposed in this paper has a better prediction effect and provides a new idea for studying the fatigue life of the FRP–concrete interface.
- The prediction model has a certain generalization ability, and the data can be expanded to improve the generalization and accuracy of the model.
Supplementary Materials
Author Contributions
Funding
Institutional Review Board Statement
Informed Consent Statement
Data Availability Statement
Conflicts of Interest
References
- Aidoo, J.; Harries, K.A.; Petrou, M.F. Fatigue behavior of carbon fiber reinforced polymer-strengthened reinforced concrete bridge girders. J. Compos. Constr. 2004, 8, 501–509. [Google Scholar] [CrossRef]
- Kim, Y.J.; Heffernan, P.J. Fatigue behavior of externally strengthened concrete beams with fiber-reinforced polymers: State of the art. J. Compos. Constr. 2008, 12, 246–256. [Google Scholar] [CrossRef]
- Oudah, F.; El-Hacha, R. Research progress on the fatigue performance of RC beams strengthened in flexure using Fiber Reinforced Polymers. Compos. Part B Eng. 2013, 47, 82–95. [Google Scholar] [CrossRef]
- Mukhtar, F.M.; Faysal, R.M. A review of test methods for studying the FRP-concrete interfacial bond behavior. Constr. Build. Mater. 2018, 169, 877–887. [Google Scholar] [CrossRef]
- Ma, T.; Pan, J.; Wei, H. Experimental study of bond behavior between CFRP and concrete under cyclic loading. Build. Struct. 2013, 45, 15–18. [Google Scholar]
- Bizindavyi, L.; Neale, K.; Erki, M. Experimental investigation of bonded fiber reinforced polymer-concrete joints under cyclic loading. J. Compos. Constr. 2003, 7, 127–134. [Google Scholar] [CrossRef]
- Ke, L.; Shuangyin, C.; Xinling, W.; Long, Z. Fatigue analysis of CFRP-concrete interface based on modified beam tests. J. Build. Struct. 2015, 36, 143–150. [Google Scholar]
- Zhu, J.-T.; Wang, X.-L.; Kang, X.-D.; Li, K. Analysis of interfacial bonding characteristics of CFRP-concrete under fatigue loading. Constr. Build. Mater. 2016, 126, 823–833. [Google Scholar] [CrossRef]
- Xie, J.H.; Huang, K.H.; Li, Z.J.; Zhang, H.; Xu, G.H. Experiment on Fatigue Behaviors of Flexural Concrete Interface Strengthened with BFRP and CFRP. J. Archit. Civ. Eng. 2015, 32, 53–59. [Google Scholar]
- Chalot, A.; Michel, L.; Ferrier, E. Experimental study of external bonded CFRP-concrete interface under low cycle fatigue loading. Compos. Part B Eng. 2019, 177, 107255. [Google Scholar] [CrossRef]
- Min, X. Study on Fatigue Performance of Concrete Flexural Members Strengthened with Prestressed CFRP Plates. Ph.D. Thesis, Southeast University, Nanjing, China, 2021. [Google Scholar]
- Fathi, A.; El-Saikaly, G.; Chaallal, O. Fatigue Behavior in the Carbon-Fiber-Reinforced Polymer-to-Concrete Bond by Cyclic Pull-Out Test: Experimental and Analytical Study. J. Compos. Constr. 2023, 27, 4023033. [Google Scholar] [CrossRef]
- Al-Saadi, N.T.K.; Al-Mahaidi, R. Fatigue performance of NSM CFRP strips embedded in concrete using epoxy adhesive. Compos. Struct. 2016, 154, 419–432. [Google Scholar] [CrossRef]
- Chou, J.-X.; Zhang, Z.-T.; Zhang, J.-R.; Su, M.; Peng, H. Study on Fatigue Bond Behavior of NSM CFRP-concrete Interface. China J. Highw. Transp. 2022, 35, 234. [Google Scholar]
- Zhang, F.; Wang, C.; Liu, J.; Zou, X.; Sneed, L.H.; Bao, Y.; Wang, L. Prediction of FRP-concrete interfacial bond strength based on machine learning. Eng. Struct. 2023, 274, 115156. [Google Scholar] [CrossRef]
- Carloni, C.; Subramaniam, K.V.; Savoia, M.; Mazzotti, C. Experimental determination of FRP–concrete cohesive interface properties under fatigue loading. Compos. Struct. 2012, 94, 1288–1296. [Google Scholar] [CrossRef]
- Wang, F. Experimental Study and Finite Element Simulation of Interfacial Bond Behavior of CFRP-Concrete under Cyclic Loading. Master’s Thesis, Qingdao University of Technology, Qingdao, China, 2021. [Google Scholar]
- Wang, B. Bonding Interface Fatigue Behavior between CFRP and Concrete Based on Different Bonding Lengths and Cohesive Thicknesses. Master’s Thesis, Changsha University of Science & Technology, Changsha, China, 2013. [Google Scholar]
- Zhang, W. Prediction of the bond–slip law between externally bonded concrete substrates and CFRP plates under fatigue loading. Int. J. Civ. Eng. 2018, 16, 1085–1096. [Google Scholar] [CrossRef]
- Yun, Y.; Wu, Y.-F.; Tang, W.C. Performance of FRP bonding systems under fatigue loading. Eng. Struct. 2008, 30, 3129–3140. [Google Scholar] [CrossRef]
- Daud, R.A.; Cunningham, L.S.; Wang, Y.C. Static and fatigue behaviour of the bond interface between concrete and externally bonded CFRP in single shear. Eng. Struct. 2015, 97, 54–67. [Google Scholar] [CrossRef]
- Zheng, X.; Huang, P.; Han, Q.; Chen, G. Bond behavior of interface between CFL and concrete under static and fatigue load. Constr. Build. Mater. 2014, 52, 33–41. [Google Scholar] [CrossRef]
- Zhou, H.; Fernando, D.; Dai, J.-G. The bond behaviour of CFRP-to-concrete bonded joints under fatigue cyclic loading: An experimental study. Constr. Build. Mater. 2021, 273, 121674. [Google Scholar] [CrossRef]
- Diab, H.; Wu, Z.; Iwashita, K. Theoretical solution for fatigue debonding growth and fatigue life prediction of FRP-concrete interfaces. Adv. Struct. Eng. 2009, 12, 781–792. [Google Scholar] [CrossRef]
- Carloni, C.; Subramaniam, K.V. Investigation of sub-critical fatigue crack growth in FRP/concrete cohesive interface using digital image analysis. Compos. Part B Eng. 2013, 51, 35–43. [Google Scholar] [CrossRef]
- Fernandes, P.M.; Silva, P.M.; Sena-Cruz, J. Bond and flexural behavior of concrete elements strengthened with NSM CFRP laminate strips under fatigue loading. Eng. Struct. 2015, 84, 350–361. [Google Scholar] [CrossRef]
- Ding, Z. NSM CFRP-Concrete Interface Properties Research under Static and Fatigue Loading. Master’s Thesis, East China Jiaotong University, Nanchang, China, 2014. [Google Scholar]
- Al-Saadi, N.T.K.; Mohammed, A.; Al-Mahaidi, R. Fatigue performance of NSM CFRP strips embedded in concrete using innovative high-strength self-compacting cementitious adhesive (IHSSC-CA) made with graphene oxide. Compos. Struct. 2017, 163, 44–62. [Google Scholar] [CrossRef]
- Wang, X.; Cheng, L. Fatigue Bond Characteristics of NSM CFRP in Concrete Due to Adhesive and Surface Treatment. In Proceedings of the 10th International Conference on FRP Composites in Civil Engineering, İstanbul, Turkey, 8–10 December 2021; Proceedings of CICE 2020/2021. pp. 1925–1939. [Google Scholar]
- Fathi, A. Bond Behavior of FRP-to-Concrete under Cyclic Fatigue Loading of RC Structures Strengthened with EB-FRP Composites. Ph.D. Thesis, École de Technologie Supérieure, Montreal, QC, Canada, 2023. [Google Scholar]
- Khan, M.A.; Zafar, A.; Akbar, A.; Javed, M.F.; Mosavi, A. Application of Gene Expression Programming (GEP) for the prediction of compressive strength of geopolymer concrete. Materials 2021, 14, 1106. [Google Scholar] [CrossRef] [PubMed]
- Han, Q. Study on the Bond-Slip Mechanism of CFRP-Concrete Interface. Ph.D. Thesis, South China University of Technology, Guangzhou, China, 2010. [Google Scholar]
- Ferreira, C. Gene Expression Programming: A New Adaptive Algorithm for Solving Problems. Complex Syst. 2001, 13, 87–129. [Google Scholar]
- Mahdinia, S.; Eskandari-Naddaf, H.; Shadnia, R. Effect of cement strength class on the prediction of compressive strength of cement mortar using GEP method. Constr. Build. Mater. 2019, 198, 27–41. [Google Scholar] [CrossRef]
- Zhang, R.; Xue, X. A predictive model for the bond strength of near-surface-mounted FRP bonded to concrete. Compos. Struct. 2021, 262, 113618. [Google Scholar] [CrossRef]












| Parameter | Min | Max | Average | Median | Standard Deviation |
|---|---|---|---|---|---|
| 1.99 | 4.08 | 3.28 | 3.14 | 0.45 | |
| 20 | 530 | 202.32 | 180 | 98.24 | |
| 4.18 | 140 | 33.98 | 28 | 28.32 | |
| 60 | 264.86 | 186.18 | 212 | 44.23 | |
| 0.17 | 6 | 1.91 | 1 | 2 | |
| 0.3 | 0.9 | 0.64 | 0.66 | 0.12 | |
| 0.04 | 0.33 | 0.12 | 0.1 | 0.06 | |
| 169.62 | 24,500 | 5032.21 | 3696 | 4533.35 | |
| 0.12 | 0.80 | 0.52 | 0.5 | 0.13 | |
| 0.19 | 0.51 | 0.38 | 0.39 | 0.07 | |
| S | 0.04 | 0.4 | 0.2 | 0.21 | 0.08 |
| 3.11 | 6.47 | 5.19 | 5.14 | 0.99 |
| Parameter Types | Setting | Parameter Types | Setting |
|---|---|---|---|
| Population size | 50 | Gene Number | 3 |
| Head length | 8 | Chromosome length | 45 |
| Connection function | + | Mutation rate | 0.00138 |
| Gene transposition rate | 0.00277 | Gene recombination rate | 0.00277 |
| IS transposition rate | 0.00546 | RIS transposition rate | 0.00546 |
| One-point recombination rate | 0.00277 | Two-point recombination rate | 0.00277 |
| Model | Fatigue Life log(N) |
|---|---|
| A | |
| B | |
| C | |
| D | |
| E |
| Model | R2 | RMSE | MAE | RRSE | MAPE |
|---|---|---|---|---|---|
| Model A | 0.751 | 0.504 | 0.411 | 0.499 | 0.083 |
| Model B | 0.734 | 0.528 | 0.431 | 0.523 | 0.089 |
| Model C | 0.648 | 0.604 | 0.499 | 0.598 | 0.103 |
| Model D | 0.623 | 0.621 | 0.496 | 0.614 | 0.103 |
| Model E | 0.819 | 0.423 | 0.352 | 0.426 | 0.071 |
| Reinforcement Method | Model and Year | Fatigue Life |
|---|---|---|
| EB | Fathi [12] (2023) | |
| Min [11] (2020) | ||
| Chalot [10] (2019) | ||
| Zhu [8] (2016) | ||
| Li [7] (2015) | ||
| NSM | Chou [14] (2022) | |
| Al-Saadi [13] (2016) |
| Reinforcement Method | Model | R2 | RMSE | MAE | RRSE | MAPE |
|---|---|---|---|---|---|---|
| EB | GEP | 0.841 | 0.406 | 0.329 | 0.398 | 0.071 |
| Fathi [12] | 0.697 | 0.681 | 0.545 | 0.654 | 0.115 | |
| Min [11] | 0.692 | 1.606 | 1.02 | 1.543 | 0.199 | |
| Chalot [10] | 0.758 | 1.355 | 0.916 | 1.302 | 0.178 | |
| Zhu [8] | 0.557 | 1.169 | 0.919 | 1.124 | 0.196 | |
| Li [7] | 0.627 | 1.208 | 0.799 | 1.161 | 0.177 | |
| NSM | GEP | 0.762 | 0.439 | 0.373 | 0.504 | 0.070 |
| Chou [14] | 0.151 | 7.396 | 5.031 | 8.461 | 1.017 | |
| Al-Saadi [13] | 0.007 | 5.964 | 5.019 | 6.823 | 0.926 |
Disclaimer/Publisher’s Note: The statements, opinions and data contained in all publications are solely those of the individual author(s) and contributor(s) and not of MDPI and/or the editor(s). MDPI and/or the editor(s) disclaim responsibility for any injury to people or property resulting from any ideas, methods, instructions or products referred to in the content. |
© 2024 by the authors. Licensee MDPI, Basel, Switzerland. This article is an open access article distributed under the terms and conditions of the Creative Commons Attribution (CC BY) license (https://creativecommons.org/licenses/by/4.0/).
Share and Cite
Zhang, Z.; Huo, Y. Fatigue Life Prediction Model of FRP–Concrete Interface Based on Gene Expression Programming. Materials 2024, 17, 690. https://doi.org/10.3390/ma17030690
Zhang Z, Huo Y. Fatigue Life Prediction Model of FRP–Concrete Interface Based on Gene Expression Programming. Materials. 2024; 17(3):690. https://doi.org/10.3390/ma17030690
Chicago/Turabian StyleZhang, Zhimei, and Yinglong Huo. 2024. "Fatigue Life Prediction Model of FRP–Concrete Interface Based on Gene Expression Programming" Materials 17, no. 3: 690. https://doi.org/10.3390/ma17030690
APA StyleZhang, Z., & Huo, Y. (2024). Fatigue Life Prediction Model of FRP–Concrete Interface Based on Gene Expression Programming. Materials, 17(3), 690. https://doi.org/10.3390/ma17030690
