Shape Optimization and Experimental Investigation of Glue-Laminated Timber Beams
Highlights
- Shape optimization of GLT beams was performed by means of control theory taking into account anisotropic limit state condition and boundary conditions on oblique bottom face of beams.
- Results of the optimization were positively validated by detailed 3D FEM analysis.
- Results of experiments carried out on full-scale optimized and reference specimens confirm that proposed approach enable material savings.
Abstract
1. Introduction
- PROBLEM 1: Minimizing the volume of the beam for a given load , assuming a constant height of the beam. The obtained minimal admissible volume is denoted by .
- PROBLEM 2: Minimizing the volume of a beam of variable height for a given load (the same as in problem 1).
- PROBLEM 3: Maximizing the load , which may be applied to a beam of variable height and given volume (calculated in problem 1).
2. Materials
2.1. Glue-Laminated Timber
2.2. Polymer Spacers
3. Analytical Model of Beam
3.1. Geometry and Static Scheme of Designed Beams
3.2. Analytical Model
4. Control Theory Optimization Problem
4.1. State and Control Variables and Governing Equations
| |
| |
| |
| |
| |
|
4.2. Boundary and Compatibility Conditions
- Traction-free end at :
- Symmetry condition at :
4.3. Admissible Values of State and Control Variables and Constraints
- PROBLEM 1 (REF beam):
- PROBLEM 2 ( beam):
- PROBLEM 3 ( beam):
- PROBLEM 1 (REF beam):
- PROBLEM 2 ( beam):
- PROBLEM 3 ( beam):
4.4. Objective Function
- PROBLEM 1 (REF beam):
- PROBLEM 2 ( beam):
- PROBLEM 3 ( beam):
4.5. Results of PMP-Based Optimization
4.6. Numerical Validation Adjustment of Optimal Shapes
5. Experimental Validation of Optimization Process
5.1. Experimental Setup
5.2. Results
6. Discussion
- An interesting observation is that the and of REF beams are clearly lower than those of optimized beams. However, in our opinion, this might be unrelated to the optimization problem since both the first instance of cracking and the linearity of the beam’s response are highly affected by local flaws in the material.
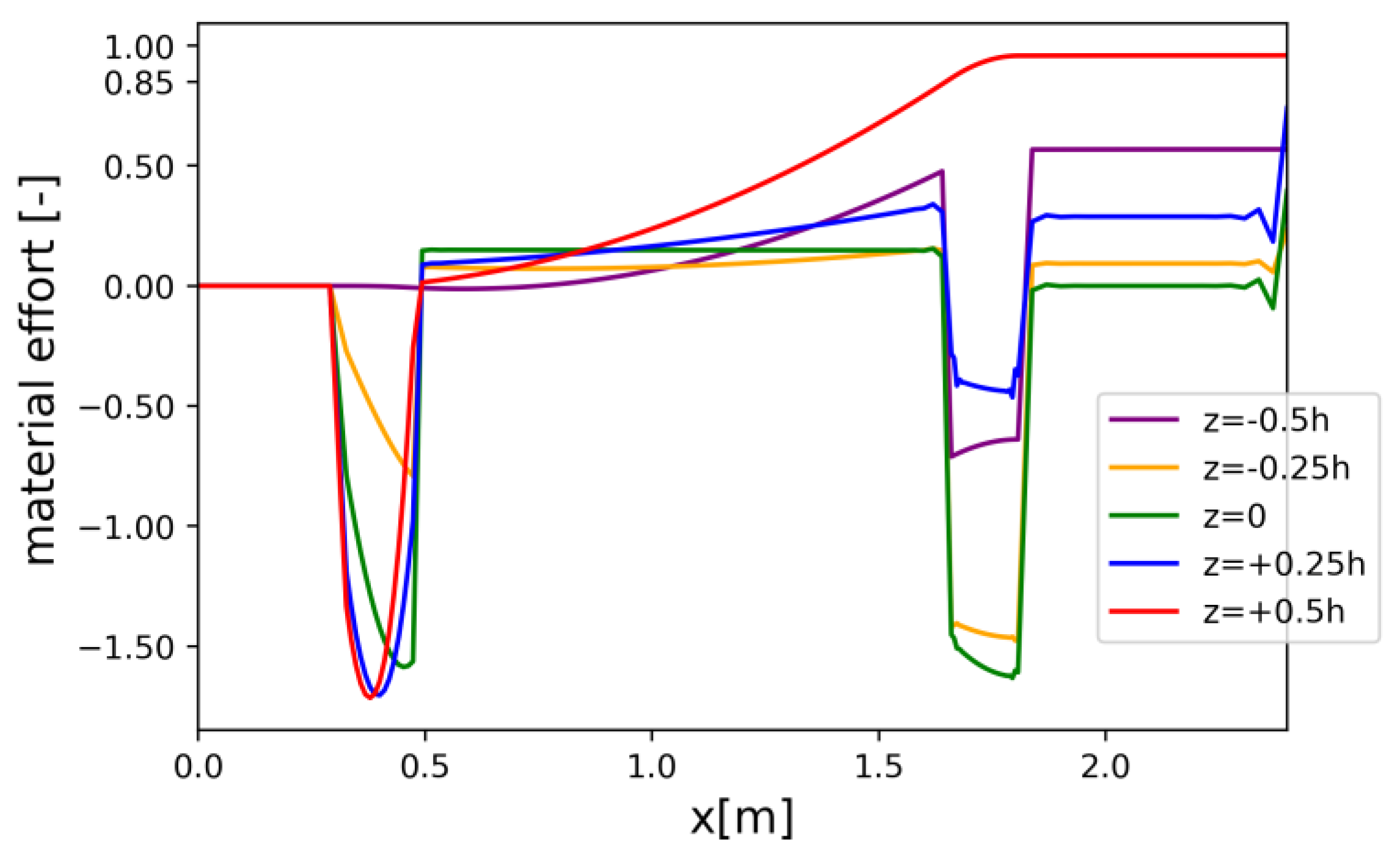
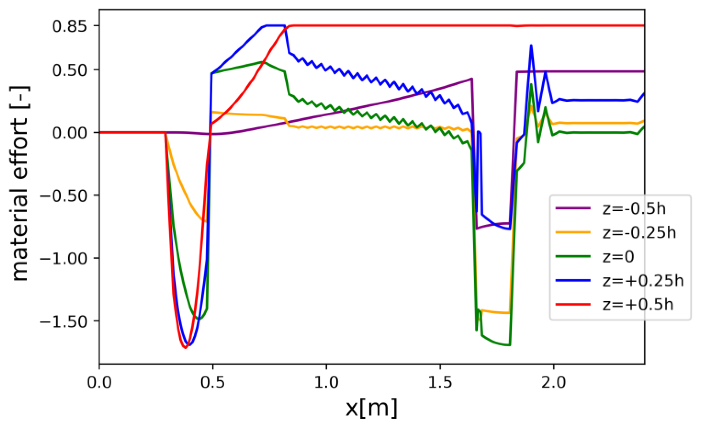
- The rectangular REF beams all failed in the middle of the span because the tensile strength of the fibers on the bottom face of the beam was exceeded. The crack pattern indicates that the shear strength was also exceeded in the areas under applied load near the neutral axis, which is the area of maximal shear stress. Almost all optimized beams (except for the Vmin 3 beam) were destroyed due to failure in the predicted area of material effort concentration (see Figure 13 and Figure 14). Shear failure along the wood grain may be observed; however, crack initiation occurred due to a multidimensional stress state at the oblique boundary involving both shear stress and transverse normal stress. The material strength values for these two stress components are the smallest of all the strength parameters (see Table 1). The fact that the Vmin 3 beam was destroyed in a similar manner as the REF beams may indicate that optimization was successful, namely, that the beams were in an approximately fully stressed state.
7. Conclusions
- Reference beams with a constant cross-section height exhibit a larger load-carrying capacity due to the redundant amount of material, which provides overall cohesion even after crack initialization. It may be noted that the average load required to cause the first instance of cracking in the REF beams was the smallest of all the examined beam types, while the maximal applicable load was the largest.
- The overall performance of both optimized beam types (Vmin and Qmax) was very similar. This is probably due to local defects in the wood and the insufficient size of the statistical sample; the Qmax beams did not exhibit a significantly larger load-carrying capacity.
- Practically all cracks in the examined beams propagated through the GLT without aligning with the lamella interfaces. This indicates that the adhesive layers bonding the lamellae in the GLT do not introduce any significant inhomogeneity in the mechanical and strength properties of the GLT.
- The optimized beams exhibited significantly larger flexural stiffness, which is particularly evident in the Qmax specimens compared to the REF beams. While both beam types had the same volume, , in the case of the optimized beams, larger cross-sections were found in the areas of the greatest bending moments (due to the optimization of the load-carrying capacity), which simultaneously contributed to the decrease in the local curvature of the deformed beams and, consequently, to the smaller deflections.
- Strain gauge measurements indicate that the normal stress in the edge fibers in the middle of the span in the optimized beams, corresponding to the smallest force causing initial cracking (not in the midspan cross-section), is smaller than the characteristic tensile or compressive strength. However, in the case of the optimal Vmin 1 beam, the tensile stress, corresponding to (compared to ), is close to .
- Stress tensor components and material effort were estimated using the mean values of the stiffness moduli for the assumed class of the GLT and records from strain gauge rosettes. It can be observed that while the longitudinal normal stress was predicted correctly by the FEA, the numerical estimates of and were approximately twice the measured values. Since these two components influence the limit state condition to the greatest extent, the measure of material effort also seems to be overestimated. Finding the accurate magnitudes of stress and the material effort according to the measurements performed using rosette strain gauges is impossible without knowing all the true elastic constants of the GLT. This is the subject of ongoing research, including material testing on destroyed GLT beams and the comparison of the strain gauge records with full-field DIC measurements.
Author Contributions
Funding
Data Availability Statement
Acknowledgments
Conflicts of Interest
References
- Moody, R.C.; Hernandez, R.; Liu, J.Y. Chapter 11: Glued Structural Members. In Wood Handbook—Wood as an Engineering Material; General Technical Report FPL-GTR-190; Forest Products Laboratory, Forest Service: Madison, WI, USA, 2010. [Google Scholar]
- Hassan, O.A.B.; Nour, N.E.; Abdulahad, G. A comparative study between glulam and concrete columns in view of design, economy and environment. Case Stud. Constr. Mater. 2022, 16, e00966. [Google Scholar] [CrossRef]
- Hassan, O.A.B.; Johansson, C. Glued laminated timber and steel beams: A comparative study of structural design, economic and environmental consequences. J. Eng. Des. Technol. 2018, 16, 398–417. [Google Scholar] [CrossRef]
- Darby, H.J.; Elmualim, A.A.; Kelly, F. A case study to investigate the life cycle carbon emissions and carbon storage capacity of a cross laminated timber, multi-storey residential building. In Proceedings of the Sustainable Building Conference, SB13, Munich, Germany, 23–25 April 2013. [Google Scholar]
- Abed, J.; Rayburg, S.; Rodwell, J.; Neave, M. A Review of the Performance and Benefits of Mass Timber as an Alternative to Concrete and Steel for Improving the Sustainability of Structures. Sustainability 2022, 14, 5570. [Google Scholar] [CrossRef]
- Risse, M.; Weber-Blaschke, G.; Richter, K. Eco-efficiency analysis of recycling recovered solid wood from construction into laminated timber products. Sci. Total Environ. 2019, 661, 107–119. [Google Scholar] [CrossRef] [PubMed]
- Šilih, S.; Kravanja, S.; Premrov, M. Shape and discrete sizing optimization of timber trusses by considering of joint flexibility. Adv. Eng. Softw. 2010, 41, 286–294. [Google Scholar] [CrossRef]
- Kravanja, S.; Žula, T. Optimization of a timber hall structure. WIT Trans. Built Environ. 2020, 196, 183–192. [Google Scholar]
- Kravanja, S.; Žula, T. Optimization of a single-storey timber building structure. Int. J. Comput. Methods Exp. Meas. 2021, 9, 126–140. [Google Scholar] [CrossRef]
- Gao, Y.; Shao, Y.; Akbarzadeh, M. Application of Graphic Statics and Strut-and-Tie Models Optimization Algorithm in Innovative Timber Structure Design. Buildings 2023, 13, 2946. [Google Scholar] [CrossRef]
- Hua, H.; Hovestadt, L.; Tang, P. Optimization and prefabrication of timber Voronoi shells. Struct. Multidiscip. Optim. 2020, 61, 1897–1911. [Google Scholar] [CrossRef]
- Jelušič, P.; Kravanja, S. Optimal Design and Competitive Spans of Timber Floor Joists Based on Multi-Parametric MINLP Optimization. Materials 2022, 15, 3217. [Google Scholar] [CrossRef]
- Villar-García, J.R.; Vidal-López, P.; Rodríguez-Robles, D.; Guaita, M. Cost optimisation of glued laminated timber roof structures using genetic algorithms. Biosyst. Eng. 2019, 187, 258–277. [Google Scholar] [CrossRef]
- Simón-Portela, M.; Villar-García, J.R.; Rodríguez-Robles, D.; Vidal-López, P. Optimization of Glulam Regular Double-Tapered Beams for Agroforestry Constructions. Appl. Sci. 2023, 13, 5731. [Google Scholar] [CrossRef]
- Decker, S.A.; Ndiaye, A.; Brangeon, B.; Sempey, A.; Galimard, P.; Pauly, M.; Lagière, P.; Bos, F. Design of multi-story timber building using mutli-objective particle swarm optimization. In Proceedings of the WCTE 2014—World Conference on Timber Engineering, Quebec City, QC, Canada, 10–14 August 2014; Volume 2, pp. 10–15. [Google Scholar]
- Kaziolas, D.N.; Bekas, G.K.; Zygomalas, I.; Stavroulakis, G.E. Life cycle analysis and optimization of a timber building. Energy Procedia 2015, 83, 41–49. [Google Scholar] [CrossRef]
- Mayencourt, P.; Mueller, C. Hybrid analytical and computational optimization methodology for structural shaping: Material-efficient mass timber beams. Eng. Struct. 2020, 215, 110532. [Google Scholar] [CrossRef]
- de Vito, A.F.; Vicente, W.M.; Xie, Y.M. Topology optimization applied to the core of structural engineered wood product. Structures 2023, 48, 1567–1575. [Google Scholar] [CrossRef]
- Mayencourt, P.; Mueller, C. Structural Optimization of Cross-laminated Timber Panels in One-way Bending. Structures 2019, 18, 48–59. [Google Scholar] [CrossRef]
- Pech, S.; Kandler, G.; Lukacevic, M.; Füssl, J. Metamodel assisted optimization of glued laminated timber beams by using metaheuristic algorithms. Eng. Appl. Artif. Intell. 2019, 79, 129–141. [Google Scholar] [CrossRef]
- Mangasarian, O.L. Sufficient Conditions for the Optimal Control of Nonlinear Systems. SIAM J. Control 1966, 4, 139–152. [Google Scholar] [CrossRef]
- Kamien, M.I.; Schwartz, N.L. Sufficient conditions in optimal control theory. J. Econ. Theory 1971, 3, 207–214. [Google Scholar] [CrossRef]
- Laskowski, H. Optimal design of structural elements as a control theory problem. Tech. Trans. 2017, 6, 119–134. [Google Scholar] [CrossRef][Green Version]
- Jasińska, D.; Mikulski, L. Optimal shaping of the composite bridge girder by means of optimal control. AIP Conf. Proc. 2019, 2078, 020040. [Google Scholar] [CrossRef]
- Szeptyński, P.; Mikulski, L. Preliminary optimization technique in the design of steel girders according to Eurocode 3. Arch. Civ. Eng. 2023, 69, 71–89. [Google Scholar] [CrossRef]
- Atanackovic, T.M.; Jakovljevic, B.B.; Petkovic, M.R. On the optimal shape of a column with partial elastic foundation. Eur. J. Mech. A/Solids 2010, 29, 283–289. [Google Scholar] [CrossRef]
- Warner, W.H. Optimal design of elastic rods under axial gravitational load using the maximum principle. Int. J. Solids Struct. 2000, 37, 2709–2726. [Google Scholar] [CrossRef]
- Skruch, P.; Mitkowski, W. Optimum Design of Shapes Using the Pontryagin Principle of Maximum. Automatyka 2009, 13, 65–78. [Google Scholar]
- Szeptyński, P.; Jasińska, D.; Mikulski, L. Analytical modelling and shape optimization of composite girder with adhesive bondline. J. Theor. Appl. Mech. 2024, 62, 129–142. [Google Scholar] [CrossRef]
- Obradović, A.; Jeremić, B.; Tomović, A.; Šalinić, S.; Mitrović, Z. Mass Minimization of Axially Functionally Graded Euler–Bernoulli Beams with Coupled Bending and Axial Vibrations. Mech. Solids 2024, 59, 1358–1375. [Google Scholar] [CrossRef]
- Jasińska, D.; Kropiowska, D. The optimal design of an arch girder of variable curvature and stiffness by means of control theory. Math. Probl. Eng. 2018, 2018, 8239464. [Google Scholar] [CrossRef]
- Kropiowska, D.; Mikulski, L.; Szeptyński, P. Optimal design of a Kirchhoff-Love plate of variable thickness by application of the minimum principle. Struct. Multidiscip. Optim. 2019, 59, 1581–1598. [Google Scholar] [CrossRef]
- Wróblewski, A. Optimal design of circular plates against creep buckling. Eng. Optim. 1992, 20, 111–128. [Google Scholar] [CrossRef]
- Kropiowska, D.; Mikulski, L.; Styrna, M. Optymalne kształtowanie łuków sprężystych z uwagi na stateczność (Shape optimization of elastic arches with respect to stability – in Polish). Pomiary Autom. Kontrola 2012, 58, 896–900. [Google Scholar]
- Gajewski, A.; Życzkowski, M. Mechanics of Elastic Stability Vol. 13: Optimal Structural Design under Stability Constraints; Springer Science & Business Media: Berlin/Heidelberg, Germany, 2012; ISBN 9789400927544. [Google Scholar]
- von Stryk, O. User’s Guide for DIRCOL: A Direct Collocation Method for the Numerical Solution of Optimal Control Problems. Version 2.1; TU Darmstadt: Darmstadt, Germany, 2002. [Google Scholar]
- Dassault Systèmes Simulia Corp. Abaqus Documentation; Dassault Systèmes Simulia Corp: Providence, RI, USA, 2023. [Google Scholar]
- EN 14080; Timber Structures—Glued Laminated Timber—Requirements. European Committee for Standardization: Brussels, Belgium, 2013.
- EN 1995-2:2007; Design of Timber Structures—Part 2: Bridges. European Committee for Standardization: Brussels, Belgium, 2007.
- EN 1995-1-1:2010; Design of Timber Structures—Part 1-1: General—Common Rules and Rules for Buildings. European Committee for Standardization: Brussels, Belgium, 2010.
- EN 338:2016; Structural Timber—Strength Classes. European Committee for Standardization: Brussels, Belgium, 2016.
- Szeptyński, P. Energy-Based Yield Criteria for Orthotropic Materials, Exhibiting Strength-Differential Effect. Specification for Sheets under Plane Stress State. Arch. Metall. Mater. 2017, 62, 729–736. [Google Scholar] [CrossRef][Green Version]
- Rychlewski, J. On Hooke’s law. J. Appl. Math. Mech. 1984, 48, 303–314. [Google Scholar] [CrossRef]
- Burzyński, W. Selected passages from Włodzimierz Burzyński’s doctoral dissertation “Study on material effort hypotheses” printed in Polish by the Academy of Technical Sciences Lwów, 1928, 1–192. Eng. Trans. 2009, 57, 185–215. [Google Scholar]
- Kowalczyk-Gajewska, K.; Ostrowska-Maciejewska, J. Review on spectral decomposition of Hooke’s tensor for all symmetry groups of linear elastic materials. Eng. Trans. 2009, 57, 145–183. [Google Scholar]
- Bronshtein, I.N.; Semendyayev, K.A. Handbook of Mathematics, 4th ed.; Springer: Berlin/Heidelberg, Germany, 2004. [Google Scholar]
- Rychlewski, J. Elastic energy decomposition and limit criteria. Eng. Trans. 2011, 59, 31–63. [Google Scholar]
- Büskens, C.; Pesch, H.J.; Winderl, S. Real-Time Solutions of Bang-Bang and Singular Optimal Control Problems. In Online Optimization of Large Scale Systems; Grötschel, M., Krumke, S.O., Rambau, J., Eds.; Springer: Berlin/Heidelberg, Germany, 2001; pp. 129–142. ISBN 978-3-642-07633-6. [Google Scholar]



























| Mechanical Property | Value |
|---|---|
| Characteristic flexural strength | 24 MPa |
| Characteristic tensile strength parallel to grain | 19.2 MPa |
| Characteristic tensile strength perpendicular to grain | 0.5 MPa |
| Characteristic compressive strength parallel to grain | 24 MPa |
| Characteristic compressive strength perpendicular to grain | 2.5 MPa |
| Characteristic shear strength | 3.5 MPa |
| Mean modulus of elasticity parallel to grain | 11.5 GPa |
| Characteristic modulus of elasticity parallel to grain | 9.6 GPa |
| Mean modulus of elasticity perpendicular to grain | 0.3 GPa |
| Mean shear modulus | 0.65 GPa |
| Poisson ratio (according to [39]) | 0 |
| Parameter |
|---|
| Beam type | Beam 1 | Beam 2 | Beam 3 | Average | Std. Dev. |
|---|---|---|---|---|---|
| REF | 9022.337 | 9187.666 | 8947.826 | 9052.610 | 122.75 |
| 9208.991 | 10,082.187 | 8999.455 | 9430.211 | 574.27 | |
| 12,391.280 | 12,662.917 | 13,603.633 | 12,885.943 | 636.20 |
| Beam type | Specimen | [kN] | [kN] | [kN] |
|---|---|---|---|---|
| REF | REF 1 | 269 | 219 | 232 |
| REF 2 | 286 | 286 | 266 | |
| REF 3 | 263 | 180 | 175 | |
| Mean REF | 273 | 228 | 224 | |
| Std. Dev. REF | 11.93 | 53.61 | 45.98 | |
| Vmin | Vmin 1 | 230 | 201 | 220 |
| Vmin 2 | 280 | 280 | 280 | |
| Vmin 3 | 268 | 227 | 227 | |
| Mean Vmin | 259 | 236 | 242 | |
| Std. Dev. Vmin | 25.80 | 40.09 | 32.60 | |
| Qmax | Qmax 1 | 251 | 251 | 239 |
| Qmax 2 | 291 | 251 | 251 | |
| Qmax 3 | 240 | 238 | 232 | |
| Mean Qmax | 261 | 247 | 241 | |
| Std. Dev. Qmax | 26.84 | 7.51 | 9.61 | |
| FEA | Vmin 1 Beam | Vmin 2 Beam | Vmin 3 Beam | |
|---|---|---|---|---|
| 9.67 | 9.89 | 10.6 | 7.96 | |
| 0.235 | 0.104 | 0.119 | 0.162 | |
| 1.53 | 0.589 | 0.598 | 0.829 | |
| material effort Equation (1) | 0.916 | 0.519 | 0.586 | 0.556 |
| −2.8 × 10−5 | ||||
| 2.3 × 10−4 | ||||
| 2.7 × 10−4 | ||||
| material effort Equation (1) | 0.915 |
Disclaimer/Publisher’s Note: The statements, opinions and data contained in all publications are solely those of the individual author(s) and contributor(s) and not of MDPI and/or the editor(s). MDPI and/or the editor(s) disclaim responsibility for any injury to people or property resulting from any ideas, methods, instructions or products referred to in the content. |
© 2024 by the authors. Licensee MDPI, Basel, Switzerland. This article is an open access article distributed under the terms and conditions of the Creative Commons Attribution (CC BY) license (https://creativecommons.org/licenses/by/4.0/).
Share and Cite
Szeptyński, P.; Jasińska, D.; Mikulski, L. Shape Optimization and Experimental Investigation of Glue-Laminated Timber Beams. Materials 2024, 17, 6263. https://doi.org/10.3390/ma17246263
Szeptyński P, Jasińska D, Mikulski L. Shape Optimization and Experimental Investigation of Glue-Laminated Timber Beams. Materials. 2024; 17(24):6263. https://doi.org/10.3390/ma17246263
Chicago/Turabian StyleSzeptyński, Paweł, Dorota Jasińska, and Leszek Mikulski. 2024. "Shape Optimization and Experimental Investigation of Glue-Laminated Timber Beams" Materials 17, no. 24: 6263. https://doi.org/10.3390/ma17246263
APA StyleSzeptyński, P., Jasińska, D., & Mikulski, L. (2024). Shape Optimization and Experimental Investigation of Glue-Laminated Timber Beams. Materials, 17(24), 6263. https://doi.org/10.3390/ma17246263

