High-Volume Phosphogypsum Cement Stabilized Road Base: Preparation Methods and Strength Formation Mechanism
Abstract
1. Introduction
2. Materials and Methods
2.1. Raw Materials
2.2. Mix Proportion Design
2.3. Proctor Compaction Test
2.4. Preparation Process of HPG-CSSB Sample
2.5. Analysis and Characterization Methods
3. Discussion of Results
3.1. Raw Materials Analysis
3.2. Unconfined Compressive Strength Analysis
3.3. Water Stability Analysis
3.4. XRD Analysis
3.5. FTIR Analysis
3.6. SEM-EDS Analysis
3.7. Leaching Toxicity Analysis
4. Conclusions
- (1)
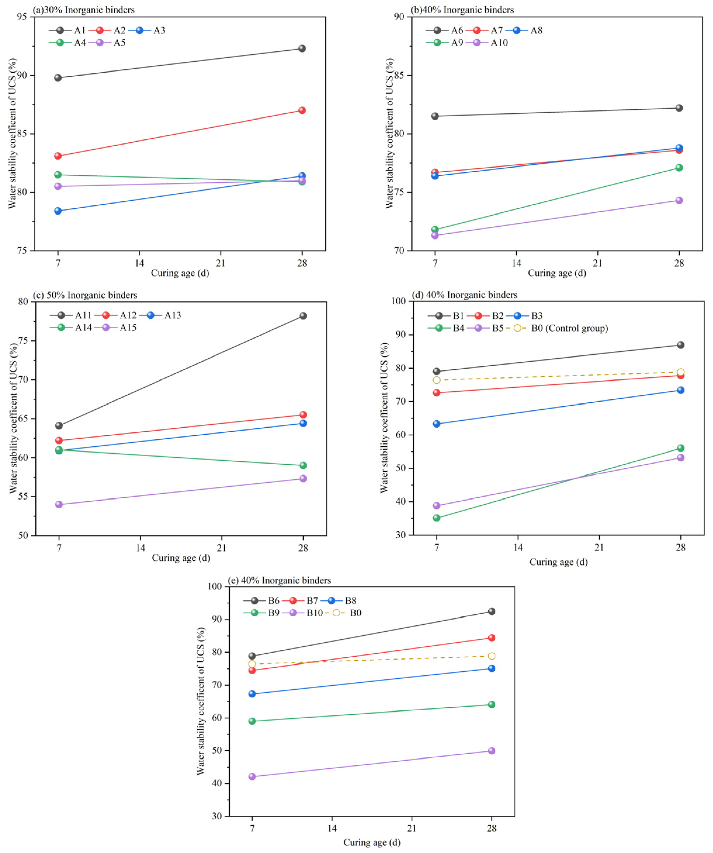
- The optimum mix ratio in HPG-CSSB was determined to be 4% cement, 1% CA2, 35% cement, and 60% graded crushed stone. The UCS of the samples at 7 d, 28 d, and 60 d under this mix ratio were 6.6 MPa, 9.3 MPa, and 11.3 MPa, respectively. Notably, the 7 d UCS met the criterion for cement-stabilized base layers of highways and primary roads under very heavy traffic, as outlined in JTG/T F20-2015 [39]. The water stability coefficients of the specimens at 7 d and 28 d were 78.8% and 92.4%, respectively. The material demonstrated robust strength properties and excellent water resistance.
- (2)
- The slag-based geopolymer curing agent has been demonstrated to stimulate the hydration activity of HPG-CSSB. In the absence of a curing agent, the high dosage of gypsum impeded cement hydration, resulting in a considerable quantity of PG remaining untransformed into AFt. Following the introduction of a modest quantity of curing agent, the concentration and stability of C-S-H gel and AFt crystals within the material were markedly enhanced, and the optimal hydration of HPG-CSSB based on optimal mixing ratios was observed from XRD, FTIR, and SEM-EDS.
- (3)
- The hydration mechanism of HPG-CSSB: The hydration reaction results in the rapid generation of AFt in cement and PG, where C3A is present and SO42− is present in PG. C3S in cement continues to undergo hydration, resulting in the generation of C-S-H gel and Ca(OH)2. The generated Ca(OH)2 is then converted to C-S-H through a volcanic ash reaction with PG and SiO2 in cement. The curing agent provides high volcanic ash activity, facilitating the hydration of Ca2+ in the system and SiO2 and Al2O3 in the curing agent twice to generate C-S-H and C-(A)-S-H. Subsequently, C2S in the cement continues to hydrate to generate C-S-H.
- (4)
- The hydration products in the HPG-CSSB system demonstrated a high capacity for target immobilization of toxic and hazardous substances present in PG. The system facilitated ion exchange and chemical precipitation of pollutants through the hydration-generated C-S-H gel and AFt, converting soluble F−, PO43−, and Ni2+ to insoluble substances. The leaching toxicity of the HPG-CSSB was found to comply with the current Chinese wastewater discharge standards.
Author Contributions
Funding
Institutional Review Board Statement
Informed Consent Statement
Data Availability Statement
Conflicts of Interest
References
- Thakur, Y.; Tyagi, A.; Sarkar, S. Utilization of Industrial Waste Phosphogypsum as Geomaterial: A Review. J. Hazard. Toxic. Radioact. Waste 2023, 27, 03123001. [Google Scholar] [CrossRef]
- Tayibi, H.; Gascó, C.; Navarro, N.; López-Delgado, A.; Choura, M.; Alguacil, F.J.; López Gómez, F.A. Radiochemical Characterization of Phosphogypsum for Engineering Use. J. Environ. Prot. 2011, 2, 168–174. [Google Scholar] [CrossRef]
- Hassoune, H.; Lachehab, A.; Hajjaji, K.E.; Mertah, O.; Kherbeche, A. Dynamic of Heavy Metals and Environmental Impact of Waste Phosphogypsum. In Fate and Transport of Subsurface Pollutants; Gupta, P.K., Bharagava, R.N., Eds.; Microorganisms for Sustainability; Springer: Singapore, 2021; Volume 24, pp. 57–77. ISBN 9789811565632. [Google Scholar]
- Diwa, R.R.; Tabora, E.U.; Palattao, B.L.; Haneklaus, N.H.; Vargas, E.P.; Reyes, R.Y.; Ramirez, J.D. Evaluating Radiation Risks and Resource Opportunities Associated with Phosphogypsum in the Philippines. J. Radioanal. Nucl. Chem. 2022, 331, 967–974. [Google Scholar] [CrossRef]
- Bilal, E.; Bellefqih, H.; Bourgier, V.; Mazouz, H.; Dumitraş, D.-G.; Bard, F.; Laborde, M.; Caspar, J.P.; Guilhot, B.; Iatan, E.-L.; et al. Phosphogypsum Circular Economy Considerations: A Critical Review from More than 65 Storage Sites Worldwide. J. Clean. Prod. 2023, 414, 137561. [Google Scholar] [CrossRef]
- Bouargane, B.; Laaboubi, K.; Biyoune, M.G.; Bakiz, B.; Atbir, A. Effective and Innovative Procedures to Use Phosphogypsum Waste in Different Application Domains: Review of the Environmental, Economic Challenges and Life Cycle Assessment. J. Mater. Cycles Waste Manag. 2023, 25, 1288–1308. [Google Scholar] [CrossRef]
- Akfas, F.; Elghali, A.; Bodinier, J.-L.; Parat, F.; Muñoz, M. Geochemical and Mineralogical Characterization of Phosphogypsum and Leaching Tests for the Prediction of the Mobility of Trace Elements. Environ. Sci. Pollut. Res. 2023, 30, 43778–43794. [Google Scholar] [CrossRef]
- Hilton, J.; Nichol, C.; Misra, R.; Theys, T.; Andresen, V. Phosphogypsum Leadership Innovation Partnership; IFA NORM Working Group: Paris, France, 2020; Volume 144. [Google Scholar]
- Alfimova, N.; Pirieva, S.; Titenko, A. Utilization of gypsum-bearing wastes in materials of the construction industry and other areas. Constr. Mater. Prod. 2021, 4, 5–17. [Google Scholar] [CrossRef]
- Amrani, M.; Taha, Y.; Kchikach, A.; Benzaazoua, M.; Hakkou, R. Phosphogypsum Recycling: New Horizons for a More Sustainable Road Material Application. J. Build. Eng. 2020, 30, 101267. [Google Scholar] [CrossRef]
- Shen, W.; Zhou, M.; Ma, W.; Hu, J.; Cai, Z. Investigation on the Application of Steel Slag–Fly Ash–Phosphogypsum Solidified Material as Road Base Material. J. Hazard. Mater. 2009, 164, 99–104. [Google Scholar] [CrossRef] [PubMed]
- Ghosh, A. Compaction Characteristics and Bearing Ratio of Pond Ash Stabilized with Lime and Phosphogypsum. J. Mater. Civ. Eng. 2010, 22, 343–351. [Google Scholar] [CrossRef]
- Dutta, R.K. Strength Characteristics of Fly Ash Stabilized with Lime and Modified with Phosphogypsum. J. Build. Eng. 2017, 14, 32–40. [Google Scholar] [CrossRef]
- Weiksnar, K.D.; Lott, D.J.; Townsend, T.G. Blending Phosphogypsum to Mitigate Radionuclide Leaching for Sustainable Road Base Applications. Sci. Total Environ. 2024, 954, 176628. [Google Scholar] [CrossRef] [PubMed]
- Gregory, C.A.; Saylak, D.; Ledbetter, W.B. The Use of By-Product Phosphogypsum for Road Bases and Subbases. Transp. Res. Rec. 1984, 998, 47–52. [Google Scholar]
- Shen, W.; Zhou, M.; Zhao, Q. Study on Lime–Fly Ash–Phosphogypsum Binder. Constr. Build. Mater. 2007, 21, 1480–1485. [Google Scholar] [CrossRef]
- Zhang, H.; Cheng, Y.; Yang, L.; Song, W. Modification of Lime-Fly Ash-Crushed Stone with Phosphogypsum for Road Base. Adv. Civil. Eng. 2020, 2020, 8820522. [Google Scholar] [CrossRef]
- Qian, G.; Zhong, Y.; Li, X.; Peng, H.; Su, J.; Huang, Z. Experimental Study on the Road Performance of High Content of Phosphogypsum in the Lime–Fly Ash Mixture. Front. Mater. 2022, 9, 935113. [Google Scholar] [CrossRef]
- Bumanis, G.; Vaičiukynienė, D.; Tambovceva, T.; Puzule, L.; Sinka, M.; Nizevičienė, D.; Fornés, I.V.; Bajare, D. Circular Economy in Practice: A Literature Review and Case Study of Phosphogypsum Use in Cement. Recycling 2024, 9, 63. [Google Scholar] [CrossRef]
- Wan, X.; Ding, J.; Mou, C.; Gao, M.; Jiao, N. Role of Bayer Red Mud and Phosphogypsum in Cement-Stabilized Dredged Soil with Different Water and Cement Contents. Constr. Build. Mater. 2024, 418, 135396. [Google Scholar] [CrossRef]
- Wu, Y.; Bian, X.; Liu, J.; Chi, R.; Chen, X. Performance Improvement and Microstructure Characterization of Cement-Stabilized Roadbase Materials Containing Phosphogypsum/Recycled Concrete Aggregate. Materials 2023, 16, 6607. [Google Scholar] [CrossRef]
- Sun, Q.; Tao, L.; Li, X.; Xu, W.; Yao, S.; Li, J.; Ren, Q.; Chen, Y.; Xu, C.; Wu, Z.; et al. Study on Preparation of Inorganic Binder Stabilized Material with Large Dosage of Phosphogypsum. J. Korean Ceram. Soc. 2023, 60, 883–895. [Google Scholar] [CrossRef]
- Liang, Y.; Guan, B.; Cao, T.; Liu, G.; Tang, P.; He, M.; Cheira, M.F.; Rashad, A.M. Study on the Properties of an Excess-Sulphate Phosphogypsum Slag Cement Stabilized Base-Course Mixture Containing Phosphogypsum-Based Artificial Aggregate. Constr. Build. Mater. 2023, 409, 134095. [Google Scholar] [CrossRef]
- JTG E42-2005; Test Methods of Aggregate for Highway Engineering. Research Institute of Highway Ministry of Transport: Beijing, China, 2005.
- JTG E51-2009; Test Method of Inorganic Binder Stabilizing Material for Highway Engineering. Research Institute of Highway Ministry of Transport: Beijing, China, 2017.
- HJ 557-2010; Solid Waste-Extraction Procedure for Leaching Toxicity-Horizontal Vibration Method. China SEPA: Beijing, China, 2010.
- Duan, P.; Shui, Z.; Chen, W.; Shen, C. Effects of Metakaolin, Silica Fume and Slag on Pore Structure, Interfacial Transition Zone and Compressive Strength of Concrete. Constr. Build. Mater. 2013, 44, 1–6. [Google Scholar] [CrossRef]
- Kamitsou, M.D.; Kostakopoulos, E.; Kanellopoulou, D.G.; Hallet, V.; Petrica, P.; Christogerou, A.; Angelopoulos, G.N. Formation, Characterization and SEM Microanalysis of Yeelimite. Mater. Proc. 2022, 5, 106. [Google Scholar] [CrossRef]
- Tang, L.; He, Z.; Pei, S.; Han, J.; Zou, M.; Qin, M.; Yu, Z. Hydration Characteristics and Pollutant Solidification Mechanism of Full Solid Waste Electrolytic Manganese Residue Super Sulfate Cement. J. Build. Eng. 2024, 84, 108563. [Google Scholar] [CrossRef]
- Palou, M.T.; Kuzielová, E.; Novotný, R.; Šoukal, F.; Žemlička, M. Blended Cements Consisting of Portland Cement–Slag–Silica Fume–Metakaolin System. J. Therm. Anal. Calorim. 2016, 125, 1025–1034. [Google Scholar] [CrossRef]
- Walkley, B.; San Nicolas, R.; Sani, M.-A.; Gehman, J.D.; van Deventer, J.S.; Provis, J.L. Phase Evolution of Na2O–Al2O3–SiO2–H2O Gels in Synthetic Aluminosilicate Binders. Dalton Trans. 2016, 45, 5521–5535. [Google Scholar] [CrossRef]
- Sikandar, M.A.; Jo, B.W.; Baloch, Z.; Khan, M.A. Properties of Chemically Synthesized Nano-Geopolymer Cement Based Self-Compacting Geopolymer Concrete(SCGC). J. Wuhan Univ. Technol. (Mater. Sci.) 2019, 34, 98–106. [Google Scholar] [CrossRef]
- Yue, D.; Yue, H.E.; Xingchen, L.I.; Han, L.I.; Hao, T.; Hongen, W. Effect of the Retarder on Initial Hydration and Mechanical Properties of the “One-Step” Alkaliactivated Composite Cementitious Materials. J. Wuhan Univ. Technol. (Mater. Sci.) 2024, 39, 1199–1213. [Google Scholar] [CrossRef]
- Kani, E.N.; Mehdizadeh, H. Investigating Gel Molecular Structure and Its Relation with Mechanical Strength in Geopolymer Cement Based on Natural Pozzolan Using in Situ ATR-FTIR Spectroscopy. J. Mater. Civil. Eng. 2017, 29, 04017078. [Google Scholar] [CrossRef]
- Santos, V.H.J.M.d.; Pontin, D.; Ponzi, G.G.D.; Stepanha, A.S.d.G.e; Martel, R.B.; Schütz, M.K.; Einloft, S.M.O.; Vecchia, F.D. Application of Fourier Transform Infrared Spectroscopy (FTIR) Coupled with Multivariate Regression for Calcium Carbonate (CaCO3) Quantification in Cement. Constr. Build. Mater. 2021, 313, 125413. [Google Scholar] [CrossRef]
- State Technology Supervision Bureau; National Environmental Protection Bureau. GB 8978-1996; Integrated Wastewater Discharge Standard. Standards Press of China: Beijing, China, 1996.
- Chinese Academy of Environmental Sciences, Institute of Solid Waste Pollution Control Technology. GB 5085.3-2007; Identification Standards for Hazardous Wastes-Identification for Extraction Toxicity. Standards Press of China: Beijing, China, 2007.
- Wu, F.; Chen, B.; Qu, G.; Liu, S.; Zhao, C.; Ren, Y.; Liu, X. Harmless Treatment Technology of Phosphogypsum: Directional Stabilization of Toxic and Harmful Substances. J. Environ. Manag. 2022, 311, 114827. [Google Scholar] [CrossRef]
- The Standardization Administration of the People’s Republic of China. JTG/T F20-2015; Technical Guidelines for Construction of Highway Roadbases. Research Institute of Highway Ministry of Transport: Beijing, China, 2015.











| Sieve Aperture Size/mm | The Pass Rate of Each Sieve Aperture in the Gradation Design/% |
|---|---|
| 19 | 100 |
| 16 | 90.5 |
| 13.2 | 81 |
| 9.5 | 65.5 |
| 4.75 | 40 |
| 2.36 | 24.8 |
| 1.18 | 14.5 |
| 0.6 | 8 |
| 0.3 | 1.5 |
| Number | Graded Crushed Stone Dosage | Cement Dosage | PG Dosage | Cement PG Ratio |
|---|---|---|---|---|
| A1 | 70% | 5.0% | 25.0% | 1:5 |
| A2 | 70% | 4.3% | 25.7% | 1:6 |
| A3 | 70% | 3.8% | 26.3% | 1:7 |
| A4 | 70% | 3.3% | 26.7% | 1:8 |
| A5 | 70% | 3.0% | 27.0% | 1:9 |
| A6 | 60% | 6.7% | 33.3% | 1:5 |
| A7 | 60% | 5.7% | 34.3% | 1:6 |
| A8 | 60% | 5.0% | 35.0% | 1:7 |
| A9 | 60% | 4.4% | 35.6% | 1:8 |
| A10 | 60% | 4.0% | 36.0% | 1:9 |
| A11 | 50% | 8.3% | 41.7% | 1:5 |
| A12 | 50% | 7.1% | 42.9% | 1:6 |
| A13 | 50% | 6.3% | 43.7% | 1:7 |
| A14 | 50% | 5.6% | 44.4% | 1:8 |
| A15 | 50% | 5.0% | 45.0% | 1:9 |
| Number | Graded Crushed Stone Dosage | Curing Agent Type | Cement Dosage | Curing Agent Dosage | PG Dosage | |
|---|---|---|---|---|---|---|
| B0 (Control group) | 60% | - | 5.0% | - | 35.0% | |
| B1 | 60% | CA1 | 4.0% | 1.0% | 35.0% | |
| B2 | 60% | 3.0% | 2.0% | 35.0% | ||
| B3 | 60% | 2.0% | 3.0% | 35.0% | ||
| B4 | 60% | 1.0% | 4.0% | 35.0% | ||
| B5 | 60% | 0% | 5.0% | 35.0% | ||
| B6 | 60% | CA2 | 4.0% | 1.0% | 35.0% | |
| B7 | 60% | 3.0% | 2.0% | 35.0% | ||
| B8 | 60% | 2.0% | 3.0% | 35.0% | ||
| B9 | 60% | 1.0% | 4.0% | 35.0% | ||
| B10 | 60% | 0% | 5.0% | 35.0% | ||
| Number | Optimum Water Content (%) | Maximum Dry Density (g/cm3) |
|---|---|---|
| A1 | 9.41 | 2.285 |
| A2 | 9.67 | 2.251 |
| A3 | 9.83 | 2.237 |
| A4 | 10.03 | 2.219 |
| A5 | 10.2 | 2.203 |
| A6 | 11.34 | 2.089 |
| A7 | 11.6 | 2.078 |
| A8 | 11.77 | 2.071 |
| A9 | 11.89 | 2.056 |
| A10 | 12.02 | 2.053 |
| A11 | 13.21 | 1.860 |
| A12 | 13.45 | 1.841 |
| A13 | 13.68 | 1.828 |
| A14 | 13.8 | 1.823 |
| A15 | 13.95 | 1.812 |
| B1 | 11.71 | 2.077 |
| B2 | 11.67 | 2.080 |
| B3 | 11.59 | 2.086 |
| B4 | 11.55 | 2.091 |
| B5 | 11.48 | 2.099 |
| B6 | 11.74 | 2.073 |
| B7 | 11.68 | 2.079 |
| B8 | 11.63 | 2.083 |
| B9 | 11.58 | 2.086 |
| B10 | 11.51 | 2.095 |
| Chemical Compositions | SO3 | CaO | SiO2 | F | P2O5 | Al2O3 | Fe2O3 | Na2O | MgO | Others |
|---|---|---|---|---|---|---|---|---|---|---|
| PG | 52.64 | 38.36 | 4.15 | 1.73 | 1.51 | 0.57 | 0.21 | 0.21 | 0.19 | 0.43 |
| Cement | 1.25 | 54.43 | 22.71 | - | - | 9.86 | 4.75 | 0.86 | 2.28 | 3.86 |
| Sample | Leaching Concentration (mg/L) | |||||||
|---|---|---|---|---|---|---|---|---|
| F− | PO43− | Pb2+ | Cr6+ | Total Cr | As3+ | Ba2+ | Ni2+ | |
| Raw PG | 144.143 | 315.923 | 0.019 | - | 0.046 | 1.628 | 0.069 | 0.054 |
| A10 | 11.311 | 0.963 | 0.021 | - | 0.042 | 0.018 | 0.042 | 0.012 |
| A8 | 8.878 | 0.257 | 0.018 | - | 0.037 | 0.012 | 0.031 | 0.008 |
| A6 | 7.159 | 0.128 | 0.007 | - | 0.033 | - | 0.022 | - |
| B1 | 7.120 | 0.196 | 0.012 | - | 0.041 | 0.003 | 0.033 | 0.013 |
| B6 | 5.434 | 0.085 | - | - | 0.023 | - | 0.019 | 0.008 |
| GB 8978-1996 [36] Class A | 10 | 0.5 | 1.0 | 0.5 | 1.5 | 0.5 | - | 1.0 |
| GB 5085.3-2007 [37] | 100 | - | 5 | 5 | 15 | 5 | 100 | 5 |
Disclaimer/Publisher’s Note: The statements, opinions and data contained in all publications are solely those of the individual author(s) and contributor(s) and not of MDPI and/or the editor(s). MDPI and/or the editor(s) disclaim responsibility for any injury to people or property resulting from any ideas, methods, instructions or products referred to in the content. |
© 2024 by the authors. Licensee MDPI, Basel, Switzerland. This article is an open access article distributed under the terms and conditions of the Creative Commons Attribution (CC BY) license (https://creativecommons.org/licenses/by/4.0/).
Share and Cite
Zou, M.; He, Z.; Xia, Y.; Li, Q.; Yao, Q.; Cao, D. High-Volume Phosphogypsum Cement Stabilized Road Base: Preparation Methods and Strength Formation Mechanism. Materials 2024, 17, 6201. https://doi.org/10.3390/ma17246201
Zou M, He Z, Xia Y, Li Q, Yao Q, Cao D. High-Volume Phosphogypsum Cement Stabilized Road Base: Preparation Methods and Strength Formation Mechanism. Materials. 2024; 17(24):6201. https://doi.org/10.3390/ma17246201
Chicago/Turabian StyleZou, Meng, Zhaoyi He, Yuhua Xia, Qinghai Li, Qiwen Yao, and Dongwei Cao. 2024. "High-Volume Phosphogypsum Cement Stabilized Road Base: Preparation Methods and Strength Formation Mechanism" Materials 17, no. 24: 6201. https://doi.org/10.3390/ma17246201
APA StyleZou, M., He, Z., Xia, Y., Li, Q., Yao, Q., & Cao, D. (2024). High-Volume Phosphogypsum Cement Stabilized Road Base: Preparation Methods and Strength Formation Mechanism. Materials, 17(24), 6201. https://doi.org/10.3390/ma17246201
