Molecular Beam Epitaxial Growth and Optical Properties of InN Nanostructures on Large Lattice-Mismatched Substrates
Abstract
1. Introduction
2. Materials and Methods
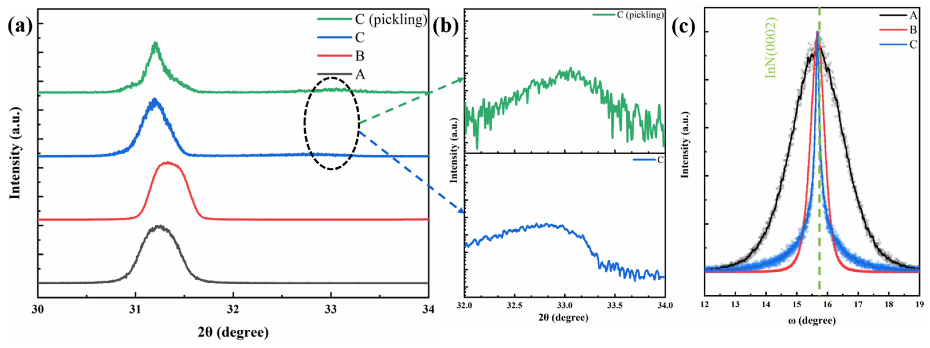
3. Results and Discussion
4. Conclusions
Author Contributions
Funding
Institutional Review Board Statement
Informed Consent Statement
Data Availability Statement
Conflicts of Interest
References
- Fukuda, M.; Mura, G. 1-Laser Diode Reliability. In Advanced Laser Diode Reliability; Vanzi, M., Béchou, L., Fukuda, M., Mura, G., Eds.; Elsevier: Amsterdam, The Netherlands, 2021; pp. 1–49. [Google Scholar] [CrossRef]
- Andrade, N.M.; Hooten, S.; Kim, Y.; Kim, J.; Yablonovitch, E.; Wu, M.C. Sub-50 Cm/s Surface Recombination Velocity in InGaAsP/InP Ridges. Appl. Phys. Lett. 2021, 119, 191102. [Google Scholar] [CrossRef]
- Braga, O.M.; Delfino, C.A.; Kawabata, R.M.S.; Pinto, L.D.; Vieira, G.S.; Pires, M.P.; Souza, P.L.; Marega, E.; Carlin, J.A.; Krishna, S. Investigation of InGaAs/InP Photodiode Surface Passivation Using Epitaxial Regrowth of InP via Photoluminescence and Photocurrent. Mater. Sci. Semicond. Process. 2023, 154, 107200. [Google Scholar] [CrossRef]
- Wu, X.; Pan, W.; Zhang, Z.; Li, Y.; Cao, C.; Liu, J.; Zhang, L.; Song, Y.; Ou, H.; Wang, S. 1.142 Μm GaAsBi/GaAs Quantum Well Lasers Grown by Molecular Beam Epitaxy. ACS Photonics 2017, 4, 1322–1326. [Google Scholar] [CrossRef]
- Imran, A.; Sulaman, M.; Yang, S.; Bukhtiar, A.; Qasim, M.; Elshahat, S.; Khan, M.S.A.; Dastgeer, G.; Zou, B.; Yousaf, M. Molecular Beam Epitaxy Growth of High Mobility InN Film for High-Performance Broadband Heterointerface Photodetectors. Surf. Interfaces 2022, 29, 101772. [Google Scholar] [CrossRef]
- Liu, H.; Sheng, B.; Wang, T.; Kudryavtsev, K.; Yablonskiy, A.; Wei, J.; Imran, A.; Chen, Z.; Wang, P.; Zheng, X.; et al. Infrared Stimulated Emission with an Ultralow Threshold from Low-Dislocation-Density InN Films Grown on a Vicinal GaN Substrate. Fundam. Res. 2022, 2, 794–798. [Google Scholar] [CrossRef] [PubMed]
- He, Z.; Huang, H.; Huang, J.; Xiang, G.; Zhang, J.; Yue, Z.; Zhang, X.; Wang, Y.; Ding, J.; Li, J.; et al. Study on the Effect of Sputtering Pressure on the Physical Properties of InN Films on ITO Substrate and the Dependence of Carrier Transport Characteristics of Li-Doped p-NiO/n-InN Heterojunction on the Environmental Temperature. Vacuum 2024, 220, 112833. [Google Scholar] [CrossRef]
- Matsuoka, T. Progress in nitride semiconductors from GaN to InN—MOVPE growth and characteristics. Superlattices Microstruct. 2005, 37, 19–32. [Google Scholar] [CrossRef]
- Andreev, B.A.; Lobanov, D.N.; Krasil’nikova, L.V.; Bushuykin, P.A.; Yablonskiy, A.N.; Novikov, A.V.; Davydov, V.Y.; Yunin, P.A.; Kalinnikov, M.I.; Skorohodov, E.V.; et al. Emission Properties of Heavily Doped Epitaxial Indium-Nitride Layers. Semiconductors 2019, 53, 1357–1362. [Google Scholar] [CrossRef]
- Andreev, B.A.; Kudryavtsev, K.E.; Yablonskiy, A.N.; Lobanov, D.N.; Bushuykin, P.A.; Krasilnikova, L.V.; Skorokhodov, E.V.; Yunin, P.A.; Novikov, A.V.; Davydov, V.Y.; et al. Towards the indium nitride laser: Obtaining infrared stimulated emission from planar monocrystalline InN structures. Sci. Rep. 2018, 8, 9454. [Google Scholar] [CrossRef] [PubMed]
- Wu, G.-G.; Li, W.-C.; Shen, C.-S.; Gao, F.-B.; Liang, H.-W.; Wang, H.; Song, L.-J.; Du, G.-T. Near infrared electroluminescence from n-InN/p-GaN light-emitting diodes. Appl. Phys. Lett. 2012, 100, 103504. [Google Scholar] [CrossRef]
- Reddeppa, M.; Park, B.-G.; Nam, D.-J.; Thota, C.; Bak, N.-H.; Pasupuleti, K.S.; Kim, Y.-H.; Kim, S.-G.; Kim, M.-D. Photovoltaic Photodetectors Based on In2O3/InN Core–Shell Nanorods. ACS Appl. Nano Mater. 2022, 5, 7418–7426. [Google Scholar] [CrossRef]
- Moore, S.A.; Faolain, L.O.; Cataluna, M.A.; Flynn, M.B.; Kotlyar, M.V.; Krauss, T.F. Reduced surface sidewall recombination and diffusion in quantum-dot lasers. IEEE Photon. Technol. Lett. 2006, 18, 1861–1863. [Google Scholar] [CrossRef]
- Chowdhury, A.M.; Singh, D.K.; Roul, B.; Nanda, K.K.; Krupanidhi, S.B. Overcoming the Challenges Associated with the InN/InGaN Heterostructure via a Nanostructuring Approach for Broad Band Photodetection. ACS Appl. Electron. Mater. 2021, 3, 4243–4253. [Google Scholar] [CrossRef]
- Wu, Y.; Liu, X.; Pandey, A.; Zhou, P.; Dong, W.J.; Wang, P.; Min, J.; Deotare, P.; Kira, M.; Kioupakis, E.; et al. III-nitride nanostructures: Emerging applications for Micro-LEDs, ultraviolet photonics, quantum optoelectronics, and artificial photosynthesis. Prog. Quantum Electron. 2022, 85, 100401. [Google Scholar] [CrossRef]
- Filho, M.A.M.; Farmer, W.; Hsiao, C.-L.; dos Santos, R.B.; Hultman, L.; Birch, J.; Ankit, K.; Gueorguiev, G.K. Density Functional Theory-Fed Phase Field Model for Semiconductor Nanostructures: The Case of Self-Induced Core–Shell InAlN Nanorods. Cryst. Growth Des. 2024, 24, 4717–4727. [Google Scholar] [CrossRef]
- Alves Machado Filho, M.; Hsiao, C.-L.; dos Santos, R.B.; Hultman, L.; Birch, J.; Gueorguiev, G.K. Self-Induced Core–Shell InAlN Nanorods: Formation and Stability Unraveled by Ab Initio Simulations. ACS Nano Sci. Au 2023, 3, 84–93. [Google Scholar] [CrossRef]
- Li, G.; Zhu, M.; Guo, Z.; Yang, Y.; Li, H.; Shang, J.; Feng, Y.; Lu, Y.; Gao, F.; Li, S. Recent Advances in III–V Nitrides: Properties, Applications and Perspectives. J. Mater. Chem. C 2024, 12, 12150–12178. [Google Scholar] [CrossRef]
- Moret, M.; Ruffenach, S.; Briot, O.; Gil, B. MOVPE Growth and Characterization of Polar, Semipolar and Nonpolar InN on Sapphire Substrate. Phys. Status Solidi A 2011, 208, 1183–1186. [Google Scholar] [CrossRef]
- Tangi, M.; De, A.; Shivaprasad, S.M. Role of dislocations and carrier concentration in limiting the electron mobility of InN films grown by plasma assisted molecular beam epitaxy. J. Appl. Phys. 2018, 123, 015701. [Google Scholar] [CrossRef]
- Purushothaman, V.; Ramakrishnan, V.; Jeganathan, K. Whiskered GaN Nanowires by Self-Induced VLS Approach Using Chemical Vapor Deposition. CrystEngComm 2012, 14, 8390–8395. [Google Scholar] [CrossRef]
- Lee, S.; Jeon, S.; Ju, J.; Baek, J.; Su, J.; Lee, S.; Lee, D.; Lee, C. Impact of Al Pre-Deposition Layer on Crystalline Quality of GaN Grown on Si (111) Substrates. J. Nanosci. Nanotechnol. 2019, 19, 892–896. [Google Scholar] [CrossRef] [PubMed]
- Yang, H.; Yin, J.; Li, W.; Gao, F.; Zhao, Y.; Wu, G.; Zhang, B.; Du, G. In-Assisted Growth of InN Nanocolumn on Si (111) Substrate by Molecular Beam Epitaxy. Vacuum 2016, 128, 133–136. [Google Scholar] [CrossRef]
- Sun, D.; Liu, L.; Wang, G.; Yu, J.; Li, Q.; Tian, G.; Wang, B.; Xu, X.; Zhang, L.; Wang, S. Research Progress in Liquid Phase Growth of GaN Crystals. Chem. Eur. J. 2024, 30, e202303710. [Google Scholar] [CrossRef] [PubMed]
- Huang, G.; Hao, H.; Yang, C.; Ma, M.; Xia, S.; Fan, S.; Li, Z. Analysis of GaN Crystal Growth Mechanism in Liquid-Phase Epitaxial Na-Flux Method. J. Mater. Sci. 2024, 59, 7318–7331. [Google Scholar] [CrossRef]
- Katsuumi, M.; Akasaka, T. Liquid Phase Epitaxy of GaN Films on Sapphire Substrates under an Atmospheric Pressure Nitrogen Ambience. Jpn. J. Appl. Phys. 2024, 63, 065501. [Google Scholar] [CrossRef]
- Moustakas, T.D.; Bhattacharyya, A. (Invited) Experimental Evidence that the Plasma-Assisted MBE Growth of Nitride Alloys is a Liquid Phase Epitaxy Process. ECS Trans. 2011, 35, 63. [Google Scholar] [CrossRef]
- Lawniczak-Jablonska, K.; Zytkiewicz, Z.R.; Gieraltowska, S.; Sobanska, M.; Kuzmiuk, P.; Klosek, K. Chemical Bonding of Nitrogen Formed by Nitridation of Crystalline and Amorphous Aluminum Oxide Studied by X-Ray Photoelectron Spectroscopy. RSC Adv. 2020, 10, 27932–27939. [Google Scholar] [CrossRef]
- Iliopoulos, E.; Georgakilas, A.; Dimakis, E.; Adikimenakis, A.; Tsagaraki, K.; Androulidaki, M.; Pelekanos, N.T. InGaN(0001) Alloys Grown in the Entire Composition Range by Plasma Assisted Molecular Beam Epitaxy. Phys. Status Solidi A 2006, 203, 102–105. [Google Scholar] [CrossRef]
- Paszkowicz, W.; Adamczyk, J.; Krukowski, S.; Leszczyński, M.; Porowski, S.; Sokolowski, J.A.; Michalec, M.; Łasocha, W. Lattice Parameters, Density and Thermal Expansion of InN Microcrystals Grown by the Reaction of Nitrogen Plasma with Liquid Indium. Philos. Mag. A 1999, 79, 1145–1154. [Google Scholar] [CrossRef]
- Benzarti, Z.; Sekrafi, T.; Khalfallah, A.; Bougrioua, Z.; Vignaud, D.; Evaristo, M.; Cavaleiro, A. Growth Temperature Effect on Physical and Mechanical Properties of Nitrogen Rich InN Epilayers. J. Alloys Compd. 2021, 885, 160951. [Google Scholar] [CrossRef]
- Wu, G.; Zheng, W.; Gao, F.; Yang, H.; Zhao, Y.; Yin, J.; Zheng, W.; Li, W.; Zhang, B.; Du, G. Near Infrared Electroluminescence of ZnMgO/InN Core–Shell Nanorod Heterostructures Grown on Si Substrate. Phys. Chem. Chem. Phys. 2016, 18, 20812–20818. [Google Scholar] [CrossRef]
- Ke, W.C.; Lee, S.J.; Kao, C.Y.; Chen, W.K.; Chou, W.C.; Lee, M.C.; Chang, W.H.; Lin, W.J.; Cheng, Y.C.; Lee, T.C.; et al. Growth and Optical Properties of High-Density InN Nanodots. J. Cryst. Growth 2010, 312, 3209–3213. [Google Scholar] [CrossRef]









| Sample | Peak Position (°) | Lattice Constant c (nm) | FWHM (arcsec) | Dislocation Density (cm−2) |
|---|---|---|---|---|
| A | 31.26 | 0.5715 | 7308 | 8.9 × 1010 |
| B | 31.33 | 0.5704 | 1620 | 4.3 × 109 |
| C | 31.20 | 0.5725 | 684 | 7.8 × 108 |
Disclaimer/Publisher’s Note: The statements, opinions and data contained in all publications are solely those of the individual author(s) and contributor(s) and not of MDPI and/or the editor(s). MDPI and/or the editor(s) disclaim responsibility for any injury to people or property resulting from any ideas, methods, instructions or products referred to in the content. |
© 2024 by the authors. Licensee MDPI, Basel, Switzerland. This article is an open access article distributed under the terms and conditions of the Creative Commons Attribution (CC BY) license (https://creativecommons.org/licenses/by/4.0/).
Share and Cite
Nie, R.; Hu, Y.; Wu, G.; Li, Y.; Chen, Y.; Nie, H.; Wang, X.; Ren, M.; Li, G.; Zhang, Y.; et al. Molecular Beam Epitaxial Growth and Optical Properties of InN Nanostructures on Large Lattice-Mismatched Substrates. Materials 2024, 17, 6181. https://doi.org/10.3390/ma17246181
Nie R, Hu Y, Wu G, Li Y, Chen Y, Nie H, Wang X, Ren M, Li G, Zhang Y, et al. Molecular Beam Epitaxial Growth and Optical Properties of InN Nanostructures on Large Lattice-Mismatched Substrates. Materials. 2024; 17(24):6181. https://doi.org/10.3390/ma17246181
Chicago/Turabian StyleNie, Rongtao, Yifan Hu, Guoguang Wu, Yapeng Li, Yutong Chen, Haoxin Nie, Xiaoqiu Wang, Mengmeng Ren, Guoxing Li, Yuantao Zhang, and et al. 2024. "Molecular Beam Epitaxial Growth and Optical Properties of InN Nanostructures on Large Lattice-Mismatched Substrates" Materials 17, no. 24: 6181. https://doi.org/10.3390/ma17246181
APA StyleNie, R., Hu, Y., Wu, G., Li, Y., Chen, Y., Nie, H., Wang, X., Ren, M., Li, G., Zhang, Y., & Zhang, B. (2024). Molecular Beam Epitaxial Growth and Optical Properties of InN Nanostructures on Large Lattice-Mismatched Substrates. Materials, 17(24), 6181. https://doi.org/10.3390/ma17246181

