The Mechanical Properties and Energy Absorption of AuxHex Structures
Highlights
- The presented novel structures exhibit excellent in-plane specific energy absorption;
- The low mass and lack of corrosion along with the excellent energy absorption prompts their use in protective solutions;
- Using the novel approach presented in the article, it is possible to determine parameters characterizing cellular structures without a detailed analysis of the energy absorption efficiency parameter.
Abstract
1. Introduction
2. Materials and Methods
2.1. Materials and Samples Fabrication
2.2. Experimental Investigation
3. Parameters Characterizing the Structure
- –
- Total energy absorption (EA) (3) [39] is the total energy absorbed during the compression process, calculated as follows:
- –
- Specific energy absorption (SEA) (4) [41] is EA related to the mass of the energy absorber, which enables a simple comparison of the different solutions, calculated as follows:
- –
- Total energy absorption (EAV) (5) is related to a unit of volume [39], calculated as follows:
4. Results
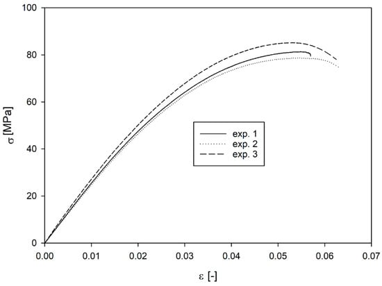
4.1. Tensile Test
4.2. Compression Test
5. Numerical Modelling
6. Discussion
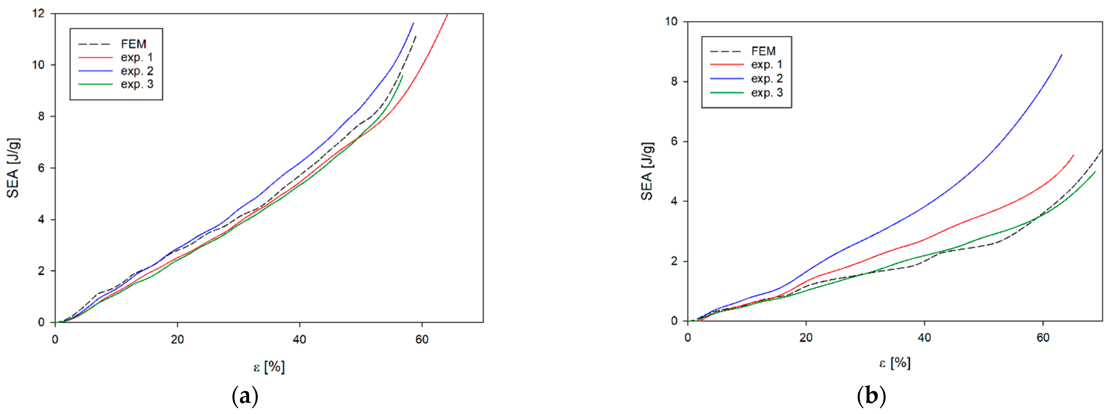
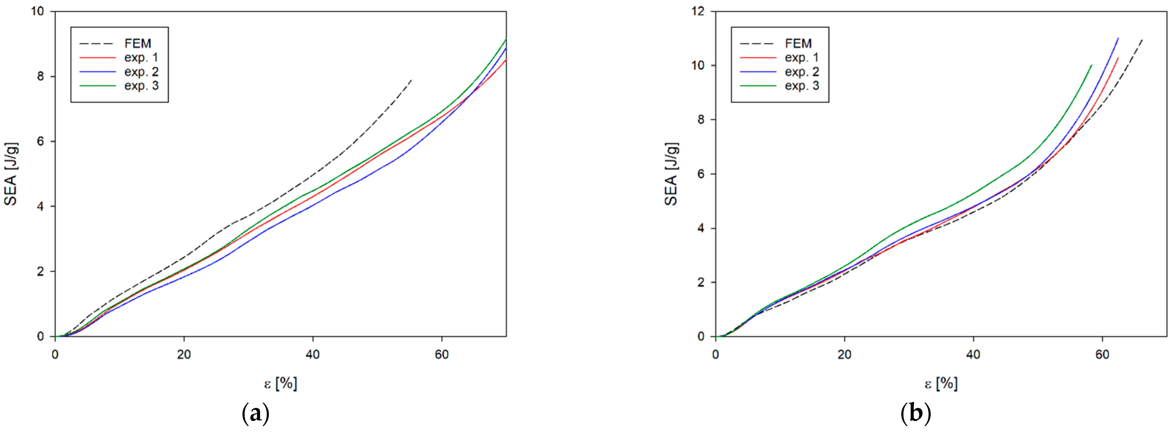
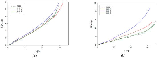
6.1. Comparison of the Experimental Results with the Results of the Numerical Analyses
6.2. Parametric Simulation Results
7. Conclusions
Author Contributions
Funding
Institutional Review Board Statement
Informed Consent Statement
Data Availability Statement
Acknowledgments
Conflicts of Interest
References
- Bogusz, P.; Popławski, A.; Stankiewicz, M.; Kowalski, B. Experimental Research of Selected Lattice Structures Developed with 3D Printing Technology. Materials 2022, 15, 378. [Google Scholar] [CrossRef] [PubMed]
- Liu, Y.; Chou, T.-W. Additive manufacturing of multidirectional preforms and composites: From three-dimensional to four-dimensional. Mater. Today Adv. 2020, 5, 100045. [Google Scholar] [CrossRef]
- Dutkiewicz, J.; Rogal, Ł.; Kalita, D.; Węglowski, M.; Błacha, S.; Berent, K.; Czeppe, T.; Antolak-Dudka, A.; Durejko, T.; Czujko, T. Superelastic Effect in NiTi Alloys Manufactured Using Electron Beam and Focused Laser Rapid Manufacturing Methods. J. Mater. Eng. Perform. 2020, 29, 4463–4473. [Google Scholar] [CrossRef]
- Ziętala, M.; Durejko, T.; Panowicz, R.; Konarzewski, M. Microstructure Evolution of 316L Steel Prepared with the Use of Additive and Conventional Methods and Subjected to Dynamic Loads: A Comparative Study. Materials 2020, 13, 4893. [Google Scholar] [CrossRef]
- Baranowski, P.; Płatek, P.; Antolak-Dudka, A.; Sarzyński, M.; Kucewicz, M.; Durejko, T.; Małachowski, J.; Janiszewski, J.; Czujko, T. Deformation of honeycomb cellular structures manufactured with Laser Engineered Net Shaping (LENS) technology under quasi-static loading: Experimental testing and simulation. Addit. Manuf. 2019, 25, 307–316. [Google Scholar] [CrossRef]
- Ahmadi, S.M.; Hedayati, R.; Li, Y.; Lietaert, K.; Tümer, N.; Fatemi, A.; Rans, C.D.; Pouran, B.; Weinans, H.; Zadpoor, A.A. Fatigue performance of additively manufactured meta-biomaterials: The effects of topology and material type. Acta Biomater. 2018, 65, 292–304. [Google Scholar] [CrossRef]
- Plessis, A.D.; Broeckhoven, C.; Yadroitsava, I.; Yadroitsev, I.; Hands, C.H.; Kunju, R.; Bhate, D. Beautiful and Functional: A Review of Biomimetic Design in Additive Manufacturing. Addit. Manuf. 2019, 27, 408–427. [Google Scholar] [CrossRef]
- Ha, N.S.; Lu, G. A review of recent research on bio-inspired structures and materials for energy absorption applications. Compos. Part B Eng. 2020, 181, 107496. [Google Scholar] [CrossRef]
- Ju, J.; Summers, J.D. Compliant hexagonal periodic lattice structures having both high shear strength and high shear strain. Mater. Des. 2011, 32, 512–524. [Google Scholar] [CrossRef]
- Scarpa, F.; Tomlinson, G. Theoretical characteristics of the vibration of sandwich plates with in-plane negative poisson’s ratio values. J. Sound Vib. 2000, 230, 45–67. [Google Scholar] [CrossRef]
- Choi, J.B.; Lakes, R.S. Fracture toughness of re-entrant foam materials with a negative Poisson’s ratio: Experiment and analysis. Int. J. Fract. 1996, 80, 73–83. [Google Scholar] [CrossRef]
- Bianchi, M.; Scarpa, F.L.; Smith, C.W. Stiffness and energy dissipation in polyurethane auxetic foams. J. Mater. Sci. 2008, 43, 5851–5860. [Google Scholar] [CrossRef]
- Hu, L.L.; Zhou, M.Z.; Deng, H. Dynamic indentation of auxetic and non-auxetic honeycombs under large deformation. Compos. Struct. 2019, 207, 323–330. [Google Scholar] [CrossRef]
- Alderson, K.L.; Fitzgerald, A.; Evans, K.E. The strain dependent indentation resilience of auxetic microporous polyethylene. J. Mater. Sci. 2000, 35, 4039–4047. [Google Scholar] [CrossRef]
- Alderson, K.L.; Simkins, V.R.; Coenen, V.L.; Davies, P.J.; Alderson, A.; Evans, K.E. How to make auxetic fibre reinforced composites. Phys. Status Solidi B 2005, 242, 509–518. [Google Scholar] [CrossRef]
- Qiu, L.; Zou, H.; Tang, D.; Wen, D.; Feng, Y.; Zhang, X. Inhomogeneity in pore size appreciably lowering thermal conductivity for porous thermal insulators. Appl. Therm. Eng. 2018, 130, 1004–1011. [Google Scholar] [CrossRef]
- Alderson, A.; Rasburn, J.; Evans, K.E. Mass transport properties of auxetic (negative Poisson’s ratio) foams. Phys. Status Solidi B 2007, 244, 817–827. [Google Scholar] [CrossRef]
- Dong, Z.; Li, Y.; Zhao, T.; Wu, W.; Xiao, D.; Liang, J. Experimental and numerical studies on the compressive mechanical properties of the metallic auxetic reentrant honeycomb. Mater. Des. 2019, 182, 108036. [Google Scholar] [CrossRef]
- Gibson, L.J.; Ashby, M.F. Cellular Solids: Structure and Properties, 2nd ed.; Cambridge University Press: Cambridge, UK, 1997. [Google Scholar]
- Wang, X.-T.; Wang, B.; Li, X.-W.; Ma, L. Mechanical properties of 3D re-entrant auxetic cellular structures. Int. J. Mech. Sci. 2017, 131–132, 396–407. [Google Scholar] [CrossRef]
- Zochowski, P.; Bajkowski, M.; Grygoruk, R.; Magier, M.; Burian, W.; Pyka, D.; Bocian, M.; Jamroziak, K. Ballistic Impact Resistance of Bulletproof Vest Inserts Containing Printed Titanium Structures. Metals 2021, 11, 225. [Google Scholar] [CrossRef]
- Masters, I.G.; Evans, K.E. Models for the elastic deformation of honeycombs. Compos. Struct. 1996, 35, 403–422. [Google Scholar] [CrossRef]
- Wang, T.; Wang, L.; Ma, Z.; Hulbert, G.M. Elastic analysis of auxetic cellular structure consisting of re-entrant hexagonal cells using a strain-based expansion homogenization method. Mater. Des. 2018, 160, 284–293. [Google Scholar] [CrossRef]
- Liu, J.; Chen, W.; Hao, H.; Wang, Z. In-plane crushing behaviors of hexagonal honeycombs with different Poisson’s ratio induced by topological diversity. Thin-Walled Struct. 2021, 159, 107223. [Google Scholar] [CrossRef]
- Shao, Y.; Meng, J.; Ma, G.; Ren, S.; Fang, L.; Cao, X.; Liu, L.; Li, H.; Wu, W.; Xiao, D. Insight into the negative Poisson’s ratio effect of the gradient auxetic reentrant honeycombs. Compos. Struct. 2021, 274, 114366. [Google Scholar] [CrossRef]
- Alomarah, A.; Masood, S.H.; Ruan, D. Out-of-plane and in-plane compression of additively manufactured auxetic structures. Aerosp. Sci. Technol. 2020, 106, 106107. [Google Scholar] [CrossRef]
- Shen, L.; Wang, Z.; Wang, X.; Wei, K. Negative Poisson’s ratio and effective Young’s modulus of a vertex-based hierarchical re-entrant honeycomb structure. Int. J. Mech. Sci. 2021, 206, 106611. [Google Scholar] [CrossRef]
- Schwerdtfeger, J.; Schury, F.; Stingl, M.; Wein, F.; Singer, R.F.; Körner, C. Mechanical characterisation of a periodic auxetic structure produced by SEBM. Phys. Status Solidi B 2012, 249, 1347–1352. [Google Scholar] [CrossRef]
- Yang, L.; Harrysson, O.; West, H.; Cormier, D. Mechanical properties of 3D re-entrant honeycomb auxetic structures realized via additive manufacturing. Int. J. Solids Struct. 2015, 69–70, 475–490. [Google Scholar] [CrossRef]
- Del Broccolo, S.; Laurenzi, S.; Scarpa, F. AUXHEX—A Kirigami inspired zero Poisson’s ratio cellular structure. Compos. Struct. 2017, 176, 433–441. [Google Scholar] [CrossRef]
- Guo, M.-F.; Yang, H.; Ma, L. Design and characterization of 3D AuxHex lattice structures. Int. J. Mech. Sci. 2020, 181, 105700. [Google Scholar] [CrossRef]
- ASTM International. ASTM Committee F42 on Additive Manufacturing Technologies, Subcommittee F42. 91 on Terminology Standard Terminology for Additive Manufacturing Technologies. 2012. Available online: https://web.mit.edu/2.810/www/files/readings/AdditiveManufacturingTerminology.pdf (accessed on 14 November 2024).
- El Magri, A.; Vanaei, S.; Vaudreuil, S. An overview on the influence of process parameters through the characteristic of 3D-printed PEEK and PEI parts. High Perform. Polym. 2021, 33, 862–880. [Google Scholar] [CrossRef]
- Available online: https://3dgence.com/3dnews/ultem-features-and-applications/ (accessed on 15 November 2024).
- Chuang, K.; Grady, J.E.; Draper, R.; Shin, E.; Patterson, C.; Santelle, T. Additive Manufacturing and Characterization of Ultem Polymers and Composites; 20160001352; The Composites and Advanced Materials Expo CAMX: Dallas, TX, USA, 2015. [Google Scholar]
- ULTEM 9085 Resin Overwiev. Available online: http://www.stratasys.com/materials/fdm/ultem-9085 (accessed on 15 November 2024).
- ISO 527-1:2019; Plastics—Determination of Tensile Properties—Part 1: General Principles. International Organization for Standardization (ISO): Geneva, Switzerland, 2019.
- ISO 844:2021; Rigid Cellular Plastics—Determination of Compression Properties. International Organization for Standardization (ISO): Geneva, Switzerland, 2021.
- Zhou, Y.; Li, Y.; Jiang, D.; Chen, Y.; Xie, Y.M.; Jia, L.-J. In-plane impact behavior of 3D-printed auxetic stainless honeycombs. Eng. Struct. 2022, 266, 114656. [Google Scholar] [CrossRef]
- Li, S.; Liu, Z.; Shim, V.P.W.; Guo, Y.; Sun, Z.; Li, X.; Wang, Z. In-plane compression of 3D-printed self-similar hierarchical honeycombs—Static and dynamic analysis. Thin-Walled Struct. 2020, 157, 106990. [Google Scholar] [CrossRef]
- Qi, C.; Jiang, F.; Yang, S.; Remennikov, A. Multi-scale characterization of novel re-entrant circular auxetic honeycombs under quasi-static crushing. Thin-Walled Struct. 2021, 169, 108314. [Google Scholar] [CrossRef]
- Hallquist, J.O. Ls-Dyna. Theoretical Manual; Livermore Software Technology Corporation: Livermore, CA, USA, 2006. [Google Scholar]
- Hanssen, A.G.; Hopperstad, O.S.; Langseth, M.; Ilstad, H. Validation of constitutive models applicable to aluminium foams. Int. J. Mech. Sci. 2002, 44, 359–406. [Google Scholar] [CrossRef]
- Tabacu, S.; Ducu, C. Numerical investigations of 3D printed structures under compressive loads using damage and fracture criterion: Experiments, parameter identification, and validation. Extreme Mech. Lett. 2020, 39, 100775. [Google Scholar] [CrossRef]
- Neimitz, A.; Galkiewicz, J.; Dzioba, I. Calibration of constitutive equations under conditions of large strains and stress triaxiality. Arch. Civ. Mech. Eng. 2018, 18, 1123–1135. [Google Scholar] [CrossRef]
- Murakami, S. Continuum Damage Mechanics; Springer Science+Business Media B.V.: Dordrecht, The Netherlands; Heidelberg, Germany; London, UK; New York, NY, USA, 2012. [Google Scholar]
- Johnson, G.R.; Cook, W.H. Fracture characteristics of three metals subjected to various strains, strain rates, temperatures and pressures. Eng. Fract. Mech. 1985, 21, 31–48. [Google Scholar] [CrossRef]
- Popławski, A.; Kędzierski, P.; Morka, A. Identification of Armox 500T steel failure properties in the modeling of perforation problems. Mater. Des. 2020, 190, 108536. [Google Scholar] [CrossRef]
- Wilkins, M.L. Computer Simulation of Dynamic Phenomena; Springer: Berlin/Heidelberg, Germany, 1999. [Google Scholar]
- Von Neumann, J.; Richtmyer, R.D. A Method for the Numerical Calculation of Hydrodynamic Shocks. J. Appl. Phys. 1950, 21, 232–237. [Google Scholar] [CrossRef]
- Mott, N.F. A Theory of Fragmentation of Shells and Bombs; Ministry of Supply A.C.4035; Springer Science & Business Media: Berlin, Germany, 1943. [Google Scholar] [CrossRef]
- Deshpande, V.S.; Ashby, M.F.; Fleck, N.A. Foam topology: Bending versus stretching dominated architectures. Acta Mater. 2001, 49, 1035–1040. [Google Scholar] [CrossRef]
- Kucewicz, P.M.; Baranowski; Stankiewicz, M.; Konarzewski, M.; Płatek, P.; Małachowski, J. Modelling and testing of 3D printed cellular structures under quasi-static and dynamic conditions. Thin-Walled Struct. 2019, 145, 106385. [Google Scholar] [CrossRef]
- Han, B.; Chen, C.Q.; Zhang, Q.C.; Yan, L.L.; Yu, B.; Lu, T.J. Collapse mechanisms of metallic sandwich structures with aluminum foam-filled corrugated cores. J. Mech. Mater. Struct. 2014, 9, 397–425. [Google Scholar] [CrossRef]
- Shu, C.; Zhao, S.; Hou, S. Crashworthiness analysis of two-layered corrugated sandwich panels under crushing loading. Thin-Walled Struct. 2018, 133, 42–51. [Google Scholar] [CrossRef]
- Habib, F.N.; Iovenitti, P.; Masood, S.H.; Nikzad, M. In-plane energy absorption evaluation of 3D printed polymeric honeycombs. Virtual Phys. Prototyp. 2017, 12, 117–131. [Google Scholar] [CrossRef]
- Zhang, J.; Karagiozova, D.; You, Z.; Chen, Y.; Lu, G. Quasi-static large deformation compressive behaviour of origami-based metamaterials. Int. J. Mech. Sci. 2019, 153–154, 194–207. [Google Scholar] [CrossRef]
- Cao, X.; Duan, S.; Liang, J.; Wen, W.; Fang, D. Mechanical properties of an improved 3D-printed rhombic dodecahedron stainless steel lattice structure of variable cross section. Int. J. Mech. Sci. 2018, 145, 53–63. [Google Scholar] [CrossRef]
- Zeng, C.; Liu, L.; Bian, W.; Leng, J.; Liu, Y. Compression behavior and energy absorption of 3D printed continuous fiber reinforced composite honeycomb structures with shape memory effects. Addit. Manuf. 2021, 38, 101842. [Google Scholar] [CrossRef]























| Nozzle temperature | 400 °C |
| Cooling ratio | 50% |
| Filling ratio | 100% |
| Platform temperature | 150 °C |
| Nozzle diameter | 0.4 mm |
| Printing speed | 60 mm/s |
| Pattern filling | linear |
| Layer thickness | 0.1 mm |
| Raster orientation | −45°/+45° |
| Material | Tungsten |
|---|---|
| Source voltage | 120 kV |
| Source power | 16 W |
| Exposure time | 1500 ms |
| Filter | No |
| Continuous rotation | Yes |
![]() ax | ![]() ay | ![]() bx | ![]() by | |
|---|---|---|---|---|
| Length [mm] | 66.68 ± 0.17 (67) | 56.72 ± 0.11 (57) | 69.74 ± 0.15 (69.9) | 53.32 ± 0.12 (53.5) |
| Width [mm] | 35.74 ± 0.18 (36) | 31.52 ± 0.10 (31.8) | 42.74 ± 0.12 (43) | 33.82 ± 0.13 (34.1) |
| Height [mm] | 19.82 ± 0.12 (20) | 19.86 ± 0.14 (20) | 19.84 ± 0.11 (20) | 19.83 ± 0.12 (20) |
| Wall thickness [mm] | 1.05 ± 0.07 (1) | 1.05 ± 0.07 (1) | 1.05 ± 0.05 (1) | 1.05 ± 0.04 (1) |
| Experiment No. | Young’s Modulus [MPa] | Strain at Fracture [-] | Maximum Stress [MPa] | Maximum Load Force [kN] | Strain Rate [1/s] |
|---|---|---|---|---|---|
| 1 | 2783 | 0.0569 | 81.29 | 1.16 | 0.0033 |
| 2 | 2496 | 0.0633 | 78.64 | 1.11 | 0.0033 |
| 3 | 2593 | 0.0625 | 85.19 | 1.14 | 0.0033 |
| Average | 2624 | 0.061 | 81.7 | 1.14 | 0.0033 |
| Std. dev. | 119.20 | 0.0028 | 2.6902 | 0.0205 | - |
| Experiment No. | ax | ay | bx | by | ||
|---|---|---|---|---|---|---|
| σfps [MPa] | 1 | 6.61 | 4.82 | 7.65 | 6.40 | |
| 2 | 8.38 | 5.62 | 8.34 | 6.61 | ||
| 3 | 8.27 | 4.04 | 9.28 | 7.53 | ||
| Average | 7.75 | 4.83 | 8.42 | 6.85 | ||
| Std. deviation | 0.99 | 0.79 | 0.82 | 0.6 | ||
| Ec [MPa] | 1 | 162.4 | 220.8 | 179.4 | 195.9 | |
| 2 | 194.8 | 270.4 | 175.7 | 201.3 | ||
| 3 | 172.2 | 197.6 | 203.1 | 221.1 | ||
| Average | 176.5 | 229.6 | 186.1 | 206.1 | ||
| Std. deviation | 16.6 | 37.2 | 14.9 | 13.3 | ||
| εY | 1 | 0.0291 | 0.0213 | 0.0489 | 0.0322 | |
| 2 | 0.0336 | 0.0214 | 0.0365 | 0.0315 | ||
| 3 | 0.0295 | 0.0216 | 0.0369 | 0.0328 | ||
| Average | 0.0307 | 0.0214 | 0.0408 | 0.0322 | ||
| Std. deviation | 0.0025 | 0.0002 | 0.0071 | 0.00065 | ||
| εD | 1 | 0.466 | 0.427 | 0.629 | 0.506 | |
| 2 | 0.566 | 0.326 | 0.536 | 0.474 | ||
| 3 | 0.448 | 0.549 | 0.548 | 0.433 | ||
| Average | 0.49 | 0.434 | 0.571 | 0.471 | ||
| Std. deviation | 0.06 | 0.11 | 0.051 | 0.036 | ||
| σC pl [MPa] | 1 | 7.00 | 2.73 | 5.97 | 4.46 | |
| 2 | 6.81 | 3.58 | 6.29 | 4.80 | ||
| 3 | 5.98 | 2.15 | 7.00 | 5.17 | ||
| Average | 6.60 | 2.82 | 6.42 | 4.81 | ||
| Std. deviation | 0.54 | 0.72 | 0.53 | 0.36 | ||
| EAD [J] | 1 | 133.2 | 34.69 | 120.9 | 73.7 | |
| 2 | 92.3 | 35.05 | 107.8 | 73.9 | ||
| 3 | 103.9 | 36.34 | 123.9 | 72.9 | ||
| Average | 109.8 | 35.36 | 117.5 | 73.5 | ||
| Std. deviation | 21.1 | 0.87 | 8.56 | 0.53 | ||
| SEAD [J/g] | 1 | 7.59 | 2.97 | 7.19 | 6.33 | |
| 2 | 8.98 | 3.00 | 5.55 | 6.29 | ||
| 3 | 6.22 | 3.11 | 6.25 | 5.78 | ||
| Average | 7.60 | 3.03 | 6.33 | 6.13 | ||
| Std. deviation | 1.38 | 0.07 | 0.83 | 0.31 | ||
| ax | ay | bx | by | |
|---|---|---|---|---|
| σfps [MPa] | 7.94 | 4.12 | 8.48 | 7.28 |
| Ec [MPa] | 197.24 | 209.1 | 206.8 | 225.11 |
| εY | 0.021 | 0.014 | 0.023 | 0.022 |
| εD | 0.46 | 0.56 | 0.46 | 0.51 |
| σC pl [MPa] | 5.75 | 1.84 | 6.15 | 5.20 |
| EAD [J] | 101.7 | 31.9 | 93.3 | 92.8 |
| SEAD [J/g] | 8.24 | 3.07 | 5.97 | 5.65 |
| aE | nE | apl | npl | aEA | nEA | |
|---|---|---|---|---|---|---|
| ax | 7.1 × 10−4 | 2.76 | 0.13 | 1.31 | 0.08 | 2.34 |
| ay | 0.23 | 1.06 | 5.76 × 10−5 | 3.33 | 9.4 × 10−3 | 2.65 |
| bx | 1.2× 10−3 | 2.78 | 0.03 | 1.8 | 0.66 | 1.67 |
| by | 0.04 | 1.7 | 4.6× 10−3 | 2.35 | 1.31 | 1.49 |
Disclaimer/Publisher’s Note: The statements, opinions and data contained in all publications are solely those of the individual author(s) and contributor(s) and not of MDPI and/or the editor(s). MDPI and/or the editor(s) disclaim responsibility for any injury to people or property resulting from any ideas, methods, instructions or products referred to in the content. |
© 2024 by the authors. Licensee MDPI, Basel, Switzerland. This article is an open access article distributed under the terms and conditions of the Creative Commons Attribution (CC BY) license (https://creativecommons.org/licenses/by/4.0/).
Share and Cite
Panowicz, R.; Jeschke, A.; Durejko, T.; Zachman, M.; Konarzewski, M. The Mechanical Properties and Energy Absorption of AuxHex Structures. Materials 2024, 17, 6073. https://doi.org/10.3390/ma17246073
Panowicz R, Jeschke A, Durejko T, Zachman M, Konarzewski M. The Mechanical Properties and Energy Absorption of AuxHex Structures. Materials. 2024; 17(24):6073. https://doi.org/10.3390/ma17246073
Chicago/Turabian StylePanowicz, Robert, Adam Jeschke, Tomasz Durejko, Marcin Zachman, and Marcin Konarzewski. 2024. "The Mechanical Properties and Energy Absorption of AuxHex Structures" Materials 17, no. 24: 6073. https://doi.org/10.3390/ma17246073
APA StylePanowicz, R., Jeschke, A., Durejko, T., Zachman, M., & Konarzewski, M. (2024). The Mechanical Properties and Energy Absorption of AuxHex Structures. Materials, 17(24), 6073. https://doi.org/10.3390/ma17246073





