Quantitative Indicators of Microstructure and Texture Heterogeneity in Polycrystalline System
Abstract
1. Introduction
1.1. Basic Characteristics of Microstructural Diversity
1.2. Crystallographic Diversities in Polycrystalline Aggregates
2. Materials, Experimental, and Numerical Procedures
3. Microstructure Heterogeneity: Theoretical Aspects of Quantitative Indicators
3.1. Description of Grain Groups
3.2. Assessment of Microstructure Homogeneity
4. Assessment of Experimentally Observed Microstructures and Texture Heterogeneity
5. Conclusions
- The degree of microstructural homogeneity can be assessed by (i) relating the average grain size to the volume fraction weighted counterpart (Hd), and (ii) relating the average grain volume to the volume fraction weighted equivalent (Hv).
- Both quantitative indicators of homogeneity (Hd and Hv) vary between 0 and 1. The highest degree of microstructural homogeneity is reached when Hd ≈ 1 and Hv ≈ 1, while in the case of highly heterogeneous grain assembly, both Hd and Hv tend to approach zero.
- The derived quantitative measures of heterogeneity (Hd and Hv) correlate qualitatively with the measures of equality employed in economic statistics (Gini and Hoover indexes).
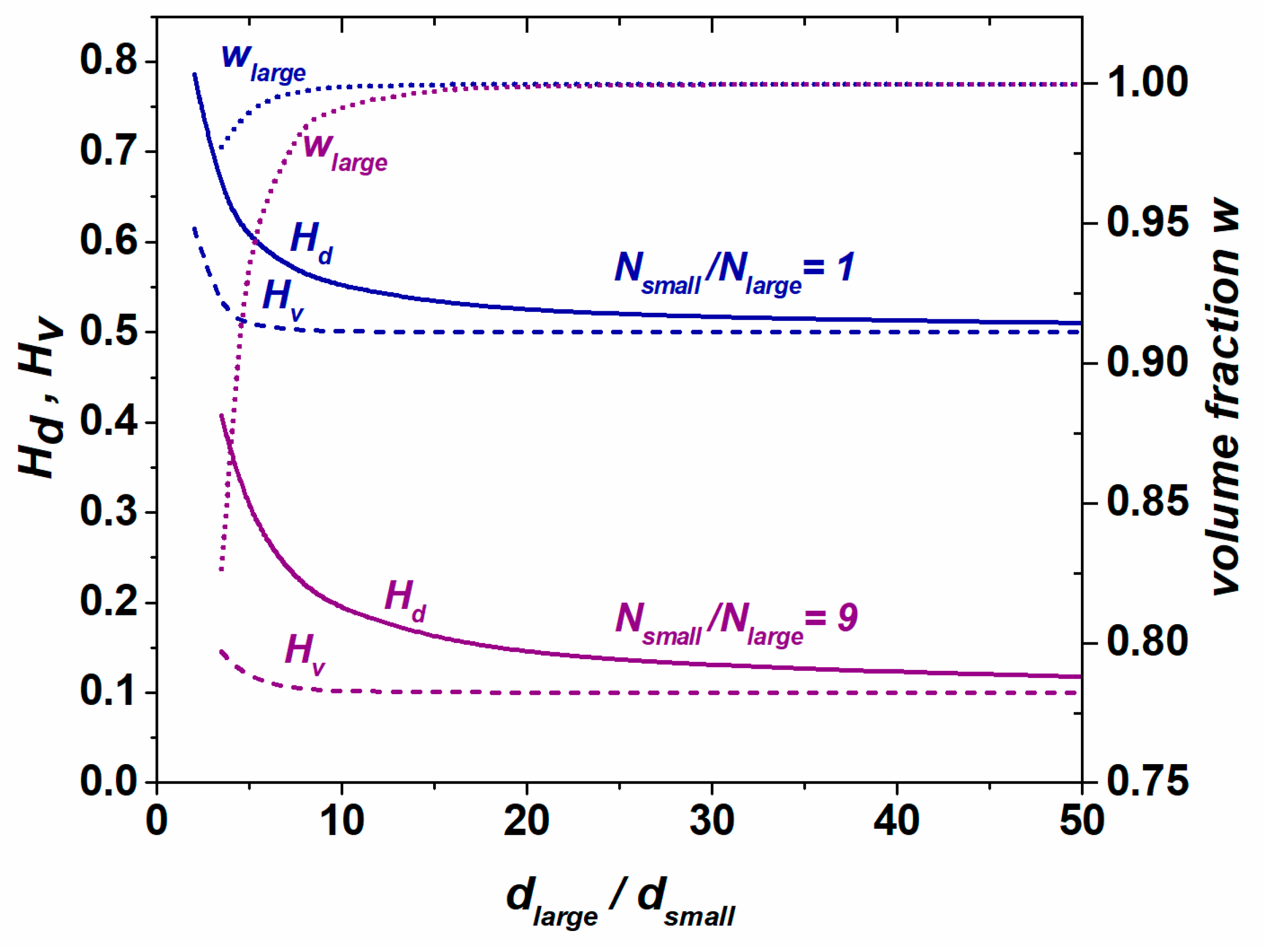
- The results of the calculations suggest that in the case of bimodal distribution, Hd and Hv are dependent on the following parameters: (i) the grain size ratio of large to small grains; (ii) the grain number in either group; (iii) the volume fraction of grains in each group; (iv) and the type of grain size distribution of each grain group. Both quantitative indicators tend to drop drastically with an increase in the grain size ratio of large to small grains.
- Even if the crystallographic textures show similar qualitative and quantitative features, the minor deviations caused by texture heterogeneity have a decisive impact on the texture-based simulation and texture-related properties in polycrystalline aggregates. Therefore, proper sampling and choice of the appropriate representative volume element is of crucial importance.
Funding
Informed Consent Statement
Data Availability Statement
Conflicts of Interest
References
- Humphreys, F.J.; Rohrer, G.S.; Rollett, A.D. Recrystallization and Related Annealing Phenomena, 3rd ed.; Elsevier: Amsterdam, The Netherlands; Oxford, UK; Cambridge, MA, USA, 2017. [Google Scholar]
- Wang, X.; Suo, H.; Ji, Y.; Zhang, Z.; Wang, L.; Wang, L.; Liu, J.; Wang, Q. Analysis of the Ni-5%at.W Alloy Substrate Texture Evolution at Different Strain Levels Using the EBSD Technique. Materials 2024, 17, 5334. [Google Scholar] [CrossRef] [PubMed]
- Shim, S.H.; Pouraliakbar, H.; Minouei, H.; Rizi, M.S.; Fallah, V.; Na, Y.-S.; Han, J.H.; Hong, S.I. Characterization of the microscale/nanoscale hierarchical microstructure of an as-cast CrMnFeNiCu high-entropy alloy with promising mechanical properties. J. Alloys Compd. 2023, 954, 170091. [Google Scholar] [CrossRef]
- Conde, F.F.; Ribamar, G.G.; Escobar, J.D.; Jardini, A.L.; Oliveira, M.F.; Oliveira, J.P.; Avila, J.A. EBSD-data analysis of an additive manufactured maraging 300 steel submitted to different tempering and aging treatments. Mater. Charact. 2023, 203, 113064. [Google Scholar] [CrossRef]
- Ma, N.; Zhu, J.; Chang, K.; Qin, Y. Effect of Mg on Plasticity and Microstructure of Al-Mg-Ga-Sn-In Soluble Aluminum Alloy. Materials 2024, 17, 5287. [Google Scholar] [CrossRef]
- Roebuck, B. Measurement of grain size and size distribution in engineering materials. Mater. Sci. Technol. 2000, 16, 1167–1174. [Google Scholar] [CrossRef]
- Muirhead, J.; Cawley, J.; Strang, A.; English, C.; Titchmarsh, J. Quantitative aspects of grain size measurement. Mater. Sci. Technol. 2000, 16, 1160–1166. [Google Scholar] [CrossRef]
- Gokhale, A.M. Quantitative Characterization and Representation of Global Microstructural Geometry. In Metallography and Microstructures; Vander Voort, G.F., Ed.; ASM International: Almere, The Netherlands, 2004; Volume 9, pp. 428–447. [Google Scholar] [CrossRef]
- Wang, J.; Liu, Y.; Rabadia, C.D.; Liang, S.-X.; Sercombe, T.B.; Zhang, L.-C. Microstructural homogeneity and mechanical behavior of a selective laser melted Ti-35Nb alloy produced from an elemental powder mixture. J. Mater. Sci. Technol. 2021, 61, 221–233. [Google Scholar] [CrossRef]
- Cowan, G. Statistical Data Analysis, 1st ed.; Clarendon Press: Oxford, UK, 1998. [Google Scholar]
- Pande, C.S.; DeGiorgi, V.G.; Moser, A.E. Yield stress of ultrafine-grained or nanocrystalline materials with a bimodal grain size distribution. Model. Simul. Mater. Sci. Eng. 2018, 26, 025002. [Google Scholar] [CrossRef]
- Standard ISO 643:2019; Steels. Micrographic Determination of the Apparent Grain Size. International Organization for Standardization: Geneva, Switzerland, 2019; pp. 1–56.
- Standard E112-13; Standard Test Methods for Determining Average Grain Size. ASTM: West Conshohocken, PA, USA, 2021; pp. 1–11. [CrossRef]
- DeHoff, R.T. Quantitative serial sectioning analysis: Preview. J. Microsc. 1983, 131, 259–263. [Google Scholar] [CrossRef]
- DeHoff, R.T.; Liu, G.Q. On the relation between grain size and grain topology. Metall. Trans. A 1985, 16, 2007–2011. [Google Scholar] [CrossRef]
- DeHoff, R.T. The spherical image concept applied to grain structures. Acta Metall. Mater. 1994, 42, 2633–2643. [Google Scholar] [CrossRef]
- DeHoff, R.T. Metric and topological contributions to the rate of change of boundary length in two-dimensional grain growth. Acta Metall. 1998, 46, 5175–5185. [Google Scholar] [CrossRef]
- Payton, E.J. Revisiting sphere unfolding relationships for the stereological analysis of segmented digital microstructure images. J. Miner. Mater. Charact. Eng. 2012, 11, 221–242. [Google Scholar] [CrossRef]
- Rhines, F.N. Microstructology. Pract. Metallogr. 1985, 22, 367–382. [Google Scholar] [CrossRef]
- Ohser, J.; Nippe, M. Stereology of cubic particles: Various estimators for the size distribution. J. Microsc. 1997, 187, 22–30. [Google Scholar] [CrossRef]
- Russ, J.C.; DeHoff, R.T. Practical Stereology, 2nd ed.; Springer: New York, NY, USA, 2000. [Google Scholar] [CrossRef]
- Beausir, B.; Fundenberger, J.J. Analysis Tools for Electron and X-Ray Diffraction; ATEX Software; Université de Lorraine: Metz, France, 2017; Available online: www.atex-software.eu (accessed on 10 July 2024).
- EDAX OIM Analysis® Software, Versions 6–9; EDAX Inc.: Mahwah, NJ, USA, 2024.
- Bortolini, L.; Martello, M. Effects of water distribution uniformity on waxy corn (Zea mays L.) yield: Preliminary results. J. Water Resour. Prot. 2014, 6, 1037–1045. [Google Scholar] [CrossRef]
- Wang, Z.; Bovik, A.C.; Sheikh, H.R.; Simoncelli, E.P. Image quality assessment: From error visibility to structural similarity. IEEE Trans. Image Process. 2004, 13, 600–612. [Google Scholar] [CrossRef]
- Rogerson, P.A.; Plane, D.A. The Hoover index of population concentration and the demographic components of change. Int. Reg. Sci. Rev. 2013, 36, 97–114. [Google Scholar] [CrossRef]
- Sitthiyot, T.; Holasut, K. A simple method for measuring inequality. Palgrave Commun. 2020, 6, 112. [Google Scholar] [CrossRef]
- Gini, C. On the measure of concentration with special reference to income and statistics. Colo. Coll. Publ. Gen. Ser. 1936, 208, 73–79. [Google Scholar]
- Zonoobi, D.; Kassim, A.A.; Venkatesh, Y.V. Gini index as sparsity measure for signal reconstruction from compressive samples. IEEE J. Sel. Top. Signal Process. 2011, 5, 927–932. [Google Scholar] [CrossRef]
- Jurdana, V. Local Rényi entropy-based Gini index for measuring and optimizing sparse time-frequency distributions. Digit. Signal Process. 2024, 147, 104401. [Google Scholar] [CrossRef]
- Jokanovic, B. Reduced interference sparse time-frequency distributions for compressed observations. IEEE Trans. Signal Process. 2015, 63, 6698–6709. [Google Scholar] [CrossRef]
- Sidor, J.; Miroux, A.; Petrov, R.; Kestens, L. Microstructural and crystallographic aspects of conventional and asymmetric rolling processes. Acta Mater. 2008, 56, 2495–2507. [Google Scholar] [CrossRef]
- Sidor, J.; Petrov, R.H.; Kestens, L.A.I. Deformation, recrystallization and plastic anisotropy of asymmetrically rolled aluminum sheets. Mater. Sci. Eng. A 2010, 528, 413–424. [Google Scholar] [CrossRef]
- Sidor, J.J.; Verbeken, K.; Gomes, E.; Schneider, J.; Calvillo, P.R.; Kestens, L.A. Through process texture evolution and magnetic properties of high Si non-oriented electrical steels. Mater. Charact. 2012, 71, 49–57. [Google Scholar] [CrossRef]
- Sidor, J.; Kestens, L.A.I. Analytical description of rolling textures in face-centred-cubic metals. Scr. Mater. 2013, 68, 273–276. [Google Scholar] [CrossRef]
- Bunge, H. Texture Analysis in Materials Science; Butterworth: London, UK, 1982. [Google Scholar]
- Van Houtte, P.; Li, S.; Seefeldt, M.; Delannay, L. Deformation texture prediction: From the Taylor model to the advanced Lamel model. Int. J. Plast. 2005, 21, 589–624. [Google Scholar] [CrossRef]
- Van Houtte, P.; Kanjarla, A.K.; Van Bael, A.; Seefeldt, M.; Delannay, L. Multiscale modelling of the plastic anisotropy and deformation texture of polycrystalline materials. Eur. J. Mech. A/Solids 2006, 25, 634–648. [Google Scholar] [CrossRef]
- Wright, S.I.; Field, D.P. Scalar measures of texture heterogeneity. Mater. Sci. Forum 2005, 495–497, 207–212. [Google Scholar] [CrossRef]
- Bennett, T.A.; Sidor, J.; Petrov, R.H.; Kestens, L.A.I. The effect of intermediate annealing on texture banding in aluminum alloy 6016. Adv. Eng. Mater. 2010, 12, 1018–1023. [Google Scholar] [CrossRef]
- Shin, H.-J.; An, J.-K.; Park, S.H.; Lee, D.N. The effect of texture on ridging of ferritic stainless steel. Acta Mater. 2003, 51, 4693–4706. [Google Scholar] [CrossRef]
- Wright, S.I.; Field, D.P.; Witt, R.; Michaluk, C.A. On the development of new scalar measures of heterogeneity. Mater. Sci. Forum 2002, 408–412, 107–112. [Google Scholar] [CrossRef]
- Groeber, M.; Ghosh, S.; Uchic, M.D.; Dimiduk, D.M. A framework for automated analysis and simulation of 3D polycrystalline microstructures. Part 1: Statistical characterization data sets. Acta Mater. 2008, 56, 1257–1273. [Google Scholar] [CrossRef]
- Groeber, M.; Ghosh, S.; Uchic, M.D.; Dimiduk, D.M. A framework for automated analysis and simulation of 3D polycrystalline microstructures. Part 2: Synthetic structure generation. Acta Mater. 2008, 56, 1274–1287. [Google Scholar] [CrossRef]
- Groeber, M.A.; Jackson, M.A. DREAM.3D: A digital representation environment for the analysis of microstructure in 3D. Integr. Mater. Manuf. Innov. 2014, 3, 56–72. [Google Scholar] [CrossRef]
- Groeber, M.; Haley, B.K.; Uchic, M.D.; Dimiduk, D.; Ghosh, S. 3D reconstruction and characterization of polycrystalline microstructures using a FIB-SEM system data set. Mater. Charact. 2006, 57, 259–273. [Google Scholar] [CrossRef]
- Brahme, A.; Alvi, M.H.; Saylor, D.; Fridy, J.; Rollett, A.D. 3D reconstruction of microstructure in a commercial purity aluminum. Scripta Mater. 2006, 55, 75–80. [Google Scholar] [CrossRef]
- Van Houtte, P. Manual to MTM-FHM Software, 2nd ed.; MTM-KU Leuven: Leuven, Belgium, 1995. [Google Scholar]
- Zhu, Q.; Sellars, C.M.; Bhadeshia, H.K.D.H. Quantitative metallography of deformed grains. Mater. Sci. Technol. 2007, 23, 757–766. [Google Scholar] [CrossRef]
- Field, D.P.; Nelson, T.W.; Hovanski, Y.; Jata, K.V. Heterogeneity of crystallographic texture in friction stir welds of aluminum. Metall. Mater. Trans. A 2001, 32, 2869–2877. [Google Scholar] [CrossRef]
- Frydrych, K.; Kowalczyk-Gajewska, K. Grain refinement in the equal channel angular pressing process: Simulations using the crystal plasticity finite element method. Model. Simul. Mater. Sci. Eng. 2018, 26, 065015. [Google Scholar] [CrossRef]
- Sidor, J.J. Assessment of flow-line model in rolling texture simulations. Metals 2019, 9, 1098. [Google Scholar] [CrossRef]
- Sidor, J.J.; Petrov, R.H.; Xie, Q.; Van Houtte, P.; Kestens, L.A.I. Evaluation of crystallographic changes and plastic strain ratio in Al alloys. Mater. Sci. Technol. 2017, 33, 667–677. [Google Scholar] [CrossRef]














| da, μm | dr, μm | std | Hd | Hv | GI* | HI* | Figure |
|---|---|---|---|---|---|---|---|
| 33.08 | 33.14 | 0.79 | 0.998 | 0.995 | 0.960 | 0.972 | Figure 1a |
| 41.41 | 112.63 | 24.79 | 0.368 | 0.066 | 0.225 | 0.394 | Figure 1b |
| 33.71 | 37.75 | 6.51 | 0.893 | 0.707 | 0.682 | 0.773 | Figure 5a |
| 36.41 | 57.42 | 14.52 | 0.634 | 0.257 | 0.412 | 0.562 | Figure 5b |
| 37.55 | 65.04 | 17.52 | 0.577 | 0.232 | 0.349 | 0.504 | Figure 5c |
| 149.02 | 153.71 | 15.28 | 0.969 | 0.912 | 0.829 | 0.878 | Figure 5d |
| 150.80 | 171.06 | 30.27 | 0.882 | 0.656 | 0.674 | 0.766 | Figure 5e |
| 154.51 | 184.76 | 37.57 | 0.836 | 0.572 | 0.608 | 0.716 | Figure 5f |
| 159.13 | 238.60 | 56.45 | 0.667 | 0.269 | 0.455 | 0.600 | Figure 5g |
| 163.89 | 250.35 | 63.83 | 0.655 | 0.298 | 0.422 | 0.569 | Figure 5h |
| 12.20 | 12.61 | 1.29 | 0.968 | 0.907 | 0.823 | 0.874 | Figure 5i |
| 13.57 | 22.03 | 5.44 | 0.616 | 0.232 | 0.402 | 0.554 | Figure 5j |
| da, μm | dr, μm | std | dlarge/dsmall | Nsmall/Nlarge | w | Figure | |
|---|---|---|---|---|---|---|---|
| Bimodal1 | 18.36 | 30.93 | 6.38 | 2.59 | 16.34 | - | Figure 9a |
| large grains | 43.83 | 43.89 | 0.92 | - | 0.52 | ||
| small grains | 16.80 | 16.97 | 0.97 | - | 0.48 | ||
| Bimodal2 | 21.96 | 38.20 | 10.30 | 2.48 | 4.76 | - | Figure 9b |
| large grains | 44.16 | 44.20 | 0.80 | - | 0.77 | ||
| small grains | 17.30 | 17.80 | 1.70 | - | 0.23 | ||
| Bimodal3 | 22.80 | 40.61 | 11.04 | 2.39 | 4.32 | - | Figure 9c |
| large grains | 44.21 | 46.80 | 6.13 | - | 0.77 | ||
| small grains | 17.84 | 19.60 | 3.22 | - | 0.23 | ||
| Bimodal4 | 22.57 | 38.46 | 10.81 | 2.51 | 4.25 | - | Figure 9d |
| large grains | 44.02 | 44.10 | 0.98 | - | 0.77 | ||
| small grains | 17.56 | 19.32 | 3.18 | - | 0.23 |
| Hd | Hv | GI* | HI* | Figure | |
|---|---|---|---|---|---|
| Bimodal1 | 0.593 | 0.203 | 0.493 | 0.539 | Figure 9a |
| Bimodal2 | 0.575 | 0.284 | 0.366 | 0.401 | Figure 9b |
| Bimodal3 | 0.561 | 0.260 | 0.328 | 0.416 | Figure 9c |
| Bimodal4 | 0.587 | 0.309 | 0.358 | 0.417 | Figure 9d |
| da, μm | dr, μm | std | Hd | Hv | GI* | HI* | Comment | Figure |
|---|---|---|---|---|---|---|---|---|
| 24.15 | 31.03 | 7.05 | 0.778 | 0.478 | 0.535 | 0.652 | all g | Figure 10a |
| 22.77 | 26.42 | 5.31 | 0.862 | 0.669 | 0.624 | 0.719 | small g | |
| 39.95 | 41.90 | 4.77 | 0.953 | 0.851 | 0.804 | 0.901 | large g | |
| 14.90 | 24.28 | 6.62 | 0.614 | 0.268 | 0.381 | 0.538 | all g | Figure 10b |
| 14.46 | 20.93 | 5.85 | 0.691 | 0.411 | 0.434 | 0.576 | small g | |
| 37.03 | 38.87 | 4.41 | 0.953 | 0.848 | 0.805 | 0.857 | large g |
| Layer | ODFmax | TI |
|---|---|---|
| Surf | 2.77 | 1.285 |
| Subs | 4.66 | 1.844 |
| Mid | 5.14 | 2.031 |
| Overall | 4.17 | 1.654 |
| Layers | R2 | TH |
| Surf–subs | 0.741 | 0.336 |
| Subs–middle | 0.968 | 0.185 |
| Surf–middle | 0.114 | 0.439 |
Disclaimer/Publisher’s Note: The statements, opinions and data contained in all publications are solely those of the individual author(s) and contributor(s) and not of MDPI and/or the editor(s). MDPI and/or the editor(s) disclaim responsibility for any injury to people or property resulting from any ideas, methods, instructions or products referred to in the content. |
© 2024 by the author. Licensee MDPI, Basel, Switzerland. This article is an open access article distributed under the terms and conditions of the Creative Commons Attribution (CC BY) license (https://creativecommons.org/licenses/by/4.0/).
Share and Cite
Sidor, J.J. Quantitative Indicators of Microstructure and Texture Heterogeneity in Polycrystalline System. Materials 2024, 17, 6057. https://doi.org/10.3390/ma17246057
Sidor JJ. Quantitative Indicators of Microstructure and Texture Heterogeneity in Polycrystalline System. Materials. 2024; 17(24):6057. https://doi.org/10.3390/ma17246057
Chicago/Turabian StyleSidor, Jurij J. 2024. "Quantitative Indicators of Microstructure and Texture Heterogeneity in Polycrystalline System" Materials 17, no. 24: 6057. https://doi.org/10.3390/ma17246057
APA StyleSidor, J. J. (2024). Quantitative Indicators of Microstructure and Texture Heterogeneity in Polycrystalline System. Materials, 17(24), 6057. https://doi.org/10.3390/ma17246057
