Current Trends in Development and Use of Polymeric Ion-Exchange Resins in Wastewater Treatment
Abstract
1. Introduction
2. Ion-Exchange Resins—General Aspects
3. Synthesis of Ion-Exchange Resins and Physico-Chemical Proprieties

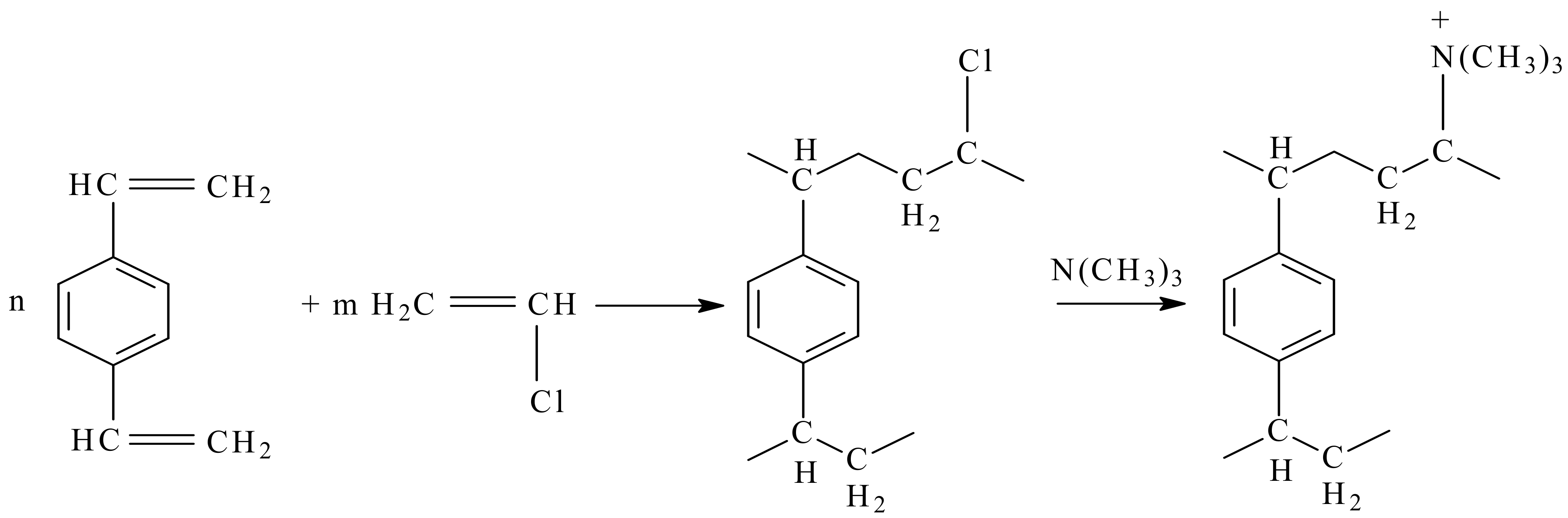
3.1. Specific Cases of Obtaining Ion Exchangers
3.2. Classification of Ion-Exchange Resins
3.3. Physical Properties of Ion-Exchange Resins
3.4. Resin Behavior in the Presence of Water (Swelling)
3.5. Resin Particle Size
3.6. Degree of Cross-Linking
3.7. Chemical Properties of Ion-Exchange Resins
Ion-Exchange Capacity (Cs)
3.8. Resin Affinity
3.9. Resin Regeneration
3.10. Ion-Exchange Equilibrium Study
3.11. Ion-Exchange Equilibrium Modeling of Pollutants on Polymeric Exchange Resins
4. Application of Ion-Exchange Resin for Wastewater Depollution
4.1. Application of Ion-Exchange Resin for Azo Dye Removal
4.2. Application of Ion-Exchange Resin in Biological Study
5. Biological Methods Used for Biodegradation of Pollutants in the Environment
6. Conclusions
Author Contributions
Funding
Conflicts of Interest
References
- Goc, K.; Benke, G.; Kluczka, J.; Pianowska, K.; Malarz, J.; Leszczyńska-Sejda, K. Application of ion-exchange dynamic conditions in the recovery of precious metals from refining waste. Sci. Rep. 2024, 14, 15026. [Google Scholar] [CrossRef] [PubMed]
- Hilger, S. Ion-Exchange Resins: Solutions for a Wide Range of Challenges. Chem. Eng. J. 2024, 131, 22. [Google Scholar]
- Wang, Y.; Yang, X.-Y.; Lai, Z.-Q.; Li, G. ZnO-Loaded Ion Exchange Resin Composites: Preparation, Characterization and Photocatalytic Application. Environ. Eng. Sci 2024, 41, 131–139. [Google Scholar] [CrossRef]
- Zhao, G.; Li, Y.; Wu, Y.; Li, S.; Chen, X.; Zhang, W.; Xie, J. Applications of ion-exchange chromatography for the purification of antibodies. In Ion-Exchange Chromatography and Related Techniques; Elsevier: Amsterdam, The Netherlands, 2024; pp. 505–520. [Google Scholar]
- Ku, C.-E.; Liu, L.; Zhang, C. Ion-Exchange Resin-Templated Carbon Capture Sorbents with Hierarchical Pores. Ind. Eng. Chem. Res. 2024, 26, 11444–11452. [Google Scholar] [CrossRef]
- Yanardağ, D.; Edebali, S. Adsorptive removal of malachite green dye from aqueous solution by ion exchange resins. Biomass Convers. Biorefin. 2024, 14, 5699–5710. [Google Scholar] [CrossRef]
- Pulatov, K.; Nazirova, R.; Sharipova, U.; Yuldashev, A.; Usmonova, A.; Sattorov, S.; Ergashev, Y. Research new type of cation-exchange resin for waste water treatment. E3S Web Conf. EDP Sci. 2024, 497, 02035. [Google Scholar] [CrossRef]
- Baltaeva, M.; Manakhov, A.; Cha, D.; Ayirala, S. In Polymeric Waste-Based Ion-Exchange Resins: A Sustainable Solution for Produced Water Treatment. In Proceedings of the SPE Water Lifecycle Management Conference and Exhibition, Abu Dhabi, United Arab Emirates, 5–7 March 2024. [Google Scholar] [CrossRef]
- Miettinen, H.; Bomberg, M.; Biçak, Ö.; Ekmekçi, Z.; Kinnunen, P. The effects of indigenous microorganisms and water treatment with ion exchange resin on Cu-Ni flotation performance. Miner. Eng. 2024, 205, 108473. [Google Scholar] [CrossRef]
- Jasim, A.Q.; Ajjam, S.K. Removal of heavy metal ions from wastewater using ion exchange resin in a batch process with kinetic isotherm. S. Afr. J. Chem. Eng. 2024, 49, 43–54. [Google Scholar] [CrossRef]
- Brahma, K.; Nayak, R.; Verma, S.K. Recent advances in development and application of polymer nanocomposite ion exchange membrane for high performance vanadium redox flow battery. J. Energy Storage 2024, 97, 112850. [Google Scholar] [CrossRef]
- Mishra, S.; Verma, V.; Kishore, V.; Kumar, R. A review of polymeric bipolar plates for proton exchange membrane fuel cells: Materials, fabrication, applications, cost analysis, and current status. Energy Environ. 2024, 35, 0958305X241259990. [Google Scholar] [CrossRef]
- Wesselborg, T.; Asumalahti, S.; Virolainen, S.; Sainio, T. Design of a continuous ion exchange process in battery metals recycling: From single column experiments towards a simulated moving bed configuration. Hydrometallurgy 2024, 228, 106361. [Google Scholar] [CrossRef]
- Vijayan P, P.; Chithra, P.; Krishna SV, A.; Ansar, E.; Parameswaranpillai, J. Development and current trends on ion exchange materials. Sep. Purif. Rev. 2024, 53, 40–60. [Google Scholar] [CrossRef]
- Lee, K.; Mata, J.; Bobrin, V.A.; Kundu, D.; Peterson, V.K.; Corrigan, N.; Boyer, C. 3D Printing Highly Efficient Ion-Exchange Materials via a Polyelectrolyte Microphase Separation Strategy. Small Sci. 2024, 4, 2400019. [Google Scholar] [CrossRef]
- Rakshit, P.; Giri, T.K.; Mukherjee, K. Research progresses on carboxymethyl xanthan gum: Review of synthesis, physicochemical properties, rheological characterization and applications in drug delivery. Int. J. Biol. Macromol. 2024, 266, 131122. [Google Scholar] [CrossRef] [PubMed]
- Al-Asheh, S.; Aidan, A. A comprehensive method of ion exchange resins regeneration and its optimization for water treatment. In Promising Techniques for Wastewater Treatment and Water Quality Assessment; Moujdin, I.A., Summers, J.K., Eds.; IntechOpen: London, UK, 2020; pp. 163–176. Available online: https://www.intechopen.com/chapters/72970 (accessed on 10 September 2024). [CrossRef]
- Gupta, A.R.; Joshi, V.C.; Sharma, S. Ion-exchange polymers: Versatile sorbents for water remediation. In Advances in Drinking Water Purification; Elsevier: Amsterdam, The Netherlands, 2024; pp. 181–200. [Google Scholar]
- Jiang, X.; Zhou, Z.; Wang, D.; Liu, G.; Wang, W.; Mu, S.; Yu, G.; Deng, S. Pilot-scale removal of PFAS from chromium-plating wastewater by anion exchange resin and activated carbon: Adsorption difference between PFOS and 6:2 fluorotelomer sulfonate. Chem. Eng. J. 2024, 481, 148569. [Google Scholar] [CrossRef]
- Asim, H.; Zeidan, H.; Marti, M.E. Effective isolation of succinic acid from aqueous media with the use of anion exchange resins. RSC Adv. 2024, 14, 16765–16777. [Google Scholar] [CrossRef]
- Sgreccia, E.; Rogalska, C.; Gallardo Gonzalez, F.S.; Prosposito, P.; Burratti, L.; Knauth, P.; Di Vona, M.L. Heavy metal decontamination by ion exchange polymers for water purification: Counterintuitive cation removal by an anion exchange polymer. J. Mater. Sci. 2024, 59, 2776–2787. [Google Scholar] [CrossRef]
- Lebron, Y.A.R.; Moreira, V.R.; Amaral, M.C.S. Metallic ions recovery from membrane separation processes concentrate: A special look onto ion exchange resins. Chem. Eng. J. 2021, 425, 131812. [Google Scholar] [CrossRef]
- Hu, J.; Zhang, L.; Yu, Y.; Liang, C.; Sang, Y. Selective extraction of heavy metals from sewage sludge via combined process of acid leaching and ion exchange resins adsorption: Optimization and performance evaluation. Sep. Sci. Technol. 2023, 58, 1773–1783. [Google Scholar] [CrossRef]
- Elfeghe, S.; Anwar, S.; James, L.; Zhang, Y. Adsorption of Cu (II) ions from aqueous solutions using ion exchange resins with different functional groups. Can. J. Chem. Eng. 2023, 101, 2128–2138. [Google Scholar] [CrossRef]
- Skripchenko, S.Y.; Nalivaiko, K.A.; Titova, S.M.; Rychkov, V.N.; Semenishchev, V.S. Recovery of uranium from conversion production sludge by leaching with nitric acid and subsequent ion-exchange concentration. Hydrometallurgy 2024, 224, 106255. [Google Scholar] [CrossRef]
- Maleki, S.; Karimi-Jashni, A.; Mousavifard, M. Removal of Ni (II) ions from wastewater by ion exchange resin: Process optimization using response surface methodology and ensemble machine learning techniques. J. Environ. Chem. Eng. 2024, 12, 112417. [Google Scholar] [CrossRef]
- Reis, P.M.; Rodrigues, J.R.; Gando-Ferreira, L.M.; Quinta-Ferreira, R.M. Optimization of Fenton process conditions in winery wastewaters treatment followed by ion exchange process to recover iron. J. Ind. Eng. Chem. 2024, 129, 365–372. [Google Scholar] [CrossRef]
- RAEVICH, K.; VOKIN, V.; KIRYUSHINA, E.; MAGLINETS, Y.A. Applied research and process solutions in waste water clarification and treatment in mining industry. Eurasian Min. 2024, 1, 67–70. [Google Scholar] [CrossRef]
- Bharati, V.P.; Syed, A.B.K.; Dwivedi, A.; Liebminger, L.A. Desalination and Demineralization in Water and Used Water Purification, Nanofiltration, Reverse Osmosis, Electrodialysis Reversal, Ion-Exchange, and Electrodeionization. In Handbook of Water and Used Water Purification; Springer: Cham, Switzerland, 2024; pp. 221–249. [Google Scholar]
- Sahani, S.; Sarwan, J.; Mittal, K.; Chaurasia, R.; Kumari, K.; Uddin, N.; Bose K, J.C. Versatile Applications of Organic Polymer and Their Prospects. In Organic Polymers in Energy-Environmental Applications; Wiley: Hoboken, NJ, USA, 2024; pp. 535–554. [Google Scholar]
- Marin, N.M.; Dolete, G.; Motelica, L.; Trusca, R.; Oprea, O.C.; Ficai, A. Preparation of eco-friendly chelating resins and their applications for water treatment. Polymers 2023, 15, 2251. [Google Scholar] [CrossRef]
- Marin, N.M. A New Approach of Complexing Polymers Used for the Removal of Cu2+ Ions. Polymers 2024, 16, 920. [Google Scholar] [CrossRef]
- Marin, N.M.; Tiron, O.; Pascu, L.F.; Costache, M.; Nita-Lazar, M.; Badea, I.A. Synergistic methodology based on ion exchange and biodegradation mechanisms applied for metal complex dye removal from waste waters. Rev. Chim. 2018, 69, 38–44. [Google Scholar] [CrossRef]
- Marin, N.M.; Ficai, A.; Constantin, L.A.; Motelica, L.; Trusca, R. New chelate resins prepared with direct red 23 for Cd2+, Ni2+, Cu2+ and Pb2+ removal. Polymers 2022, 14, 5523. [Google Scholar] [CrossRef]
- Marin, N.M.; Pascu, L.F.; Demba, A.; Nita-Lazar, M.; Badea, I.A.; Aboul-Enein, H. Removal of the Acid Orange 10 by ion exchange and microbiological methods. Int. J. Environ. Sci. Technol. 2019, 16, 6357–6366. [Google Scholar] [CrossRef]
- Marin, N.M.; Stanculescu, I. Application of amberlite IRA 402 resin adsorption and laccase treatment for acid blue 113 removal from aqueous media. Polymers 2021, 13, 3991. [Google Scholar] [CrossRef]
- Kumar, S.; Jain, S. History, introduction, and kinetics of ion exchange materials. J. Chem. 2013, 2013, 957647. [Google Scholar] [CrossRef]
- Zhang, T.-Y.; Du, R.-F.; Wang, Y.-J.; Hu, J.-L.; Wu, F.; Feng, Y. Research progress of preparation technology of ion-exchange resin complexes. Aaps Pharmscitech 2022, 23, 105. [Google Scholar] [CrossRef]
- El Ouardi, Y.; Virolainen, S.; Mouele, E.S.M.; Laatikainen, M.; Repo, E.; Laatikainen, K. The recent progress of ion exchange for the separation of rare earths from secondary resources—A review. Hydrometallurgy 2023, 218, 106047. [Google Scholar] [CrossRef]
- Dixit, F.; Dutta, R.; Barbeau, B.; Berube, P.; Mohseni, M. PFAS removal by ion exchange resins: A review. Chemosphere 2021, 272, 129777. [Google Scholar] [CrossRef]
- Lyu, J.; Guo, X. Applications of organic ion exchange resins in water treatment. In Applications of Ion Exchange Materials in the Environment; Springer: Cham, Switzerland, 2019; pp. 205–225. [Google Scholar]
- Nasef, M.M.; Ujang, Z. Introduction to ion exchange processes. In Ion Exchange Technology I: Theory and Materials; Springer: Dordrecht, The Netherlands, 2012; pp. 1–39. [Google Scholar]
- Mołczan, M. THE NEW CONCEPT OF MIEX® RESIN DOSE CATEGORIES. SWELLING EFFECT, REACTOR STEADY-STATE BALANCE, AND NOM REMOVAL PROCESS CONTROL. Environ. Prot. Eng 2024, 50, 91. [Google Scholar] [CrossRef]
- Mohebbi, A.; Abolghasemi Mahani, A.; Izadi, A. Ion Exchange Resin Technology in Recovery of Precious and Noble Metals. Applications of Ion Exchange Materials in Chemical and Food Industries; Springer: Cham, Switzerland, 2019; pp. 193–258. [Google Scholar]
- Bernardo José, L.; Cordeiro Silva, G.; Cláudia Queiroz Ladeira, A. Pre-concentration and partial fractionation of rare earth elements by ion exchange. Miner. Eng. 2024, 205, 108477. [Google Scholar] [CrossRef]
- Botelho Junior, A.B.; Dreisinger, D.B.; Espinosa, D.C.R. A Review of Nickel, Copper, and Cobalt Recovery by Chelating Ion Exchange Resins from Mining Processes and Mining Tailings. Min. Metall. Explor. 2019, 36, 199–213. [Google Scholar] [CrossRef]
- Kirillov, E.; Bochkareva, Z.; Semenishchev, V.; Kirillov, S.; Bunkov, G.; Rychkov, V. Anion exchange recovery of rhenium from industrial liquors followed by direct synthesis of a rhenium halide salt. Hydrometallurgy 2024, 230, 106387. [Google Scholar] [CrossRef]
- Ran, J.; Wu, L.; He, Y.; Yang, Z.; Wang, Y.; Jiang, C.; Ge, L.; Bakangura, E.; Xu, T. Ion exchange membranes: New developments and applications. J. Membr. Sci. 2017, 522, 267–291. [Google Scholar] [CrossRef]
- Cobzaru, C.; Inglezakis, V. Ion exchange. In Progress in Filtration and Separation; Elsevier: Amsterdam, The Netherlands, 2015; pp. 425–498. [Google Scholar]
- Dyer, A.; Hudson, M.J.; Williams, P.A. Progress in Ion Exchange: Advances and Applications; Woodhead Publishing: Cambridge, UK, 1997. [Google Scholar]
- Acikara, Ö.B. Ion-exchange chromatography and its applications. Column Chromatogr. 2013, 10, 55744. [Google Scholar]
- Kammerer, D.R.; Kammerer, J.; Carle, R. Resin Adsorption and Ion Exchange to Recover and Fractionate Polyphenols. Polyphenols in Plants; Elsevier: Amsterdam, The Netherlands, 2014; pp. 219–230. [Google Scholar]
- Borodkin, S. Ion-exchange resin delivery systems. In Polymers for Controlled Drug Delivery; CRC Press: Boca Raton, FL, USA, 2023; pp. 215–230. [Google Scholar]
- Available online: https://biblehub.com/commentaries/exodus/15-25.htm (accessed on 10 September 2024).
- Chen, Z.; Li, Z.; Chen, J.; Kallem, P.; Banat, F.; Qiu, H. Recent advances in selective separation technologies of rare earth elements: A review. J. Environ. Chem. Eng. 2022, 10, 107104. [Google Scholar] [CrossRef]
- Helfferich, F.G. Ion Exchange; Courier Corporation: North Chelmsford, MA, USA, 1995. [Google Scholar]
- Golden, L. Ion Exchange Resins: Characterization of Encyclopedia of Separation Science; Elsevier Science Ltd.: Amsterdam, The Netherlands, 2000; Volume 33, pp. 3172–3179. [Google Scholar]
- Dyer, A. Ion exchange. In Encyclopedia of Separation Science; Academic Press: Oxford, UK, 2000; pp. 156–173. [Google Scholar]
- Chandrasekara, N.P.G.N.; Pashley, R.M. Study of a new process for the efficient regeneration of ion exchange resins. Desalination 2015, 357, 131–139. [Google Scholar] [CrossRef]
- How Ion Exchange Resins Work. Available online: http://www.ccdpy.com/ENLCAHIXRW.html (accessed on 10 September 2024).
- Bauman, W.C.; Eichhorn, J. Fundamental Properties of a Synthetic Cation Exchange Resin. J. Am. Chem. Soc. 1947, 69, 2830–2836. [Google Scholar] [CrossRef]
- Victor, D.; Andrei, M. Metode de Separare si Analiza Cromatografica (Editia a Doua, Revizuita). 2008, pp. 123–132. Available online: https://docplayer.gr/43908743-Capitolul-8-concentrarea-ionilor-cu-rasini-schimbatoare-de-ioni.html (accessed on 1 August 2024).
- Vijay, S.; Dr, C. Ion exchange resins and their applications. J. Drug Deliv. Ther. 2014, 4, 115–123. [Google Scholar]
- Schönbächler, M.; Fehr, M.A. Basics of Ion Exchange Chromatography for Selected Geological Applications. In Treatise on Geochemistry, 2nd ed.; Holland, H.D., Turekian, K.K., Eds.; Elsevier: Oxford, UK, 2014; pp. 123–146. [Google Scholar]
- Höll, W.H. WATER TREATMENT|Anion Exchangers: Ion Exchange. In Encyclopedia of Separation Science; Wilson, I.D., Ed.; Academic Press: Oxford, UK, 2000; pp. 4477–4484. [Google Scholar]
- Srikanth, M.; Sunil, S.; Rao, N.; Uhumwangho, M.; Murthy, K.R. Ion-exchange resins as controlled drug delivery carriers. J. Sci. Res. 2010, 2, 597. [Google Scholar] [CrossRef]
- Yuchi, A.; Kuroda, S.; Takagi, M.; Watanabe, Y.; Nakao, S. Effects of the Exchange Capacity and Cross-Linking Degree on the Hydration States of Anions in Quantitative Loading onto Strongly Basic Anion-Exchange Resins. Anal. Chem. 2010, 82, 8611–8617. [Google Scholar] [CrossRef]
- Ion Exchange Capacity. Available online: http://dardel.info/IX/capacity.html#practice (accessed on 1 September 2024).
- Resin Volume and Swelling. Available online: http://www.dardel.info/IX/resin_properties.html#volume (accessed on 1 September 2024).
- Swadesh, J.K. HPLC: Practical and Industrial Applications; CRC Press: Boca Raton, FL, USA, 2000. [Google Scholar]
- How to Calculate Softener Capacity. Available online: https://www.chemaqua.com/en-us/Blogs/how-to-calculate-softener-capacity (accessed on 1 September 2024).
- Poole, C.F.; Yu, L.; Sun, Y. Concepts and milestones in the development of ion-exchange chromatography. In Ion-Exchange Chromatography and Related Techniques; Elsevier: Amsterdam, The Netherlands, 2024; pp. 1–23. [Google Scholar]
- Ion Exchange Resin. Available online: https://www.priyamstudycentre.com/2021/09/ion-exchange-resin.html (accessed on 1 September 2024).
- ION EXCHANGE Approximate Selectivity Scales Cation Exchange Resins. Available online: http://www.dardel.info/IX/other_info/selectivity_a.html (accessed on 1 September 2024).
- ION EXCHANGE Approximate Selectivity Scales SBA Resins. Available online: http://www.dardel.info/IX/other_info/selectivity_a.html (accessed on 10 September 2024).
- Rotman, B. Uses of ion exchange resins in microbiology. Bacteriol. Rev. 1960, 24, 251–260. [Google Scholar] [CrossRef]
- Ulloa, L.; Martínez-Minchero, M.; Bringas, E.; Cobo, A.; San-Román, M.F. Split regeneration of chelating resins for the selective recovery of nickel and copper. Sep. Purif. Technol. 2020, 253, 117516. [Google Scholar] [CrossRef]
- Marin, N.M.; Dinu, L.; Stanculescu, I.; Cristea, N.I.; Ionescu, A.I. Maize stalk material for on-site treatment of highly polluted leachate and mine wastewater. Materials 2021, 14, 956. [Google Scholar] [CrossRef]
- Marin, N.M. Maize stalk obtained after acid treatment and its use for simultaneous removal of Cu2+, Pb2+, Ni2+, Cd2+, Cr3+ and Fe3+. Polymers 2022, 14, 3141. [Google Scholar] [CrossRef]
- Marin, N.M. Natural and synthetic polymers modified with acid blue 113 for removal of Cr3+, Zn2+ and Mn2+. Polymers 2022, 14, 2139. [Google Scholar] [CrossRef] [PubMed]
- Abdelwahab, O.; Amin, N.K.; El-Ashtoukhy, E.S.Z. Removal of zinc ions from aqueous solution using a cation exchange resin. Chem. Eng. Res. Des. 2013, 91, 165–173. [Google Scholar] [CrossRef]
- Marin, N.M.; Stanculescu, I. Removal of procainamide and lidocaine on Amberlite XAD7HP resin and of As(V), Pb (II) and Cd(II) on the impregnated resin for water treatment. Mater. Chem. Phys. 2022, 277, 125582. [Google Scholar] [CrossRef]
- Vakili, M.; Cagnetta, G.; Deng, S.; Wang, W.; Gholami, Z.; Gholami, F.; Dastyar, W.; Mojiri, A.; Blaney, L. Regeneration of exhausted adsorbents after PFAS adsorption: A critical review. J. Hazard. Mater. 2024, 471, 134429. [Google Scholar] [CrossRef]
- Kobl, K.; Nicoud, L.; Nicoud, E.; Watson, A.; Andrews, J.; Wilkinson, E.A.; Shahid, M.; McKay, C.; Andrews, B.I.; Omer, B.A. Oligonucleotide Purification by Ion Exchange Chromatography: A Step-by-Step Guide to Process Understanding, Modeling, and Simulation. Org. Process Res. Dev. 2024, 28, 2569–2589. [Google Scholar] [CrossRef]
- Slater, M.J. Principles of Ion Exchange Technology; Butterworth-Heinemann: Oxford, UK, 2013. [Google Scholar]
- Aniceto, J.P.S.; Cardoso, S.P.; Faria, T.L.; Lito, P.F.; Silva, C.M. Modeling ion exchange equilibrium: Analysis of exchanger phase non-ideality. Desalination 2012, 290, 43–53. [Google Scholar] [CrossRef]
- Strebel, A.; Behringer, M.; Hilbig, H.; Machner, A.; Helmreich, B. Anionic azo dyes and their removal from textile wastewater through adsorption by various adsorbents: A critical review. Front. Environ. Sci. Eng. 2024, 3, 1347981. [Google Scholar] [CrossRef]
- Naz, A.; Jaleel, F.; Zafar, S.; Younas, M.; Taheri, E.; Fatehizadeh, A.; Rezakazemi, M. Enhanced removal of acidic dyes (AB1 and MO) from binary systems using anion exchange membrane BII: Kinetic, isotherm, and thermodynamic analyses. Environ. Sci. Pollut. Res. 2024, 31, 53399–53409. [Google Scholar] [CrossRef]
- Wawrzkiewicz, M.; Kucharczyk, A. Adsorptive removal of direct azo dyes from textile wastewaters using weakly basic anion exchange resin. Int. J. Mol. Sci. 2023, 24, 4886. [Google Scholar] [CrossRef]
- Wang, J.; Yu, J.; Li, M.; Zhang, Y. Synthesis of sodium polystyrene sulfonate resins for the removal of methylene blue from wastewater. J. Taiwan Inst. Chem. Eng. 2024, 159, 105501. [Google Scholar] [CrossRef]
- Giraldo-Loaiza, C.; Salazar-Loaiza, A.M.; Sandoval-Barrera, M.A.; Macías-Quiroga, I.F.; Ocampo-Serna, D.M.; Sanabria-González, N.R. Integration of Ion Exchange—AOP—Biological System for the Treatment of Real Textile Wastewater. ChemEngineering 2024, 8, 76. [Google Scholar] [CrossRef]
- Wawrzkiewicz, M. Anion Exchange Resins as Effective Sorbents for Acidic Dye Removal from Aqueous Solutions and Wastewaters. Solvent Extr. Ion Exch. 2012, 30, 507–523. [Google Scholar] [CrossRef]
- Zeng, B.; Tao, B.; Pan, Z.; Shen, L.; Zhang, J.; Lin, H. A low-cost and sustainable solution for nitrate removal from secondary effluent: Macroporous ion exchange resin treatment. J. Environ. Manag. 2023, 347, 119142. [Google Scholar] [CrossRef] [PubMed]
- Riyadh, A.; Peleato, N.M. Natural Organic Matter Character in Drinking Water Distribution Systems: A Review of Impacts on Water Quality and Characterization Techniques. Water 2024, 16, 446. [Google Scholar] [CrossRef]
- Lee, Y.; Noh, J.-H.; Park, J.-W.; Yoon, S.-W.; Kim, S.-Y.; Son, H.J.; Lee, W.; Maeng, S.K. Integrating biological ion exchange with biological activated carbon treatment for drinking water: A novel approach for NOM removal, trihalomethane formation potential, and biological stability. Water Res. 2023, 245, 120598. [Google Scholar] [CrossRef]
- Pramanik, B.K.; Roddick, F.A.; Fan, L. Long-term operation of biological activated carbon pre-treatment for microfiltration of secondary effluent: Correlation between the organic foulants and fouling potential. Water Res. 2016, 90, 405–414. [Google Scholar] [CrossRef]
- Moona, N.; Wünsch, U.J.; Bondelind, M.; Bergstedt, O.; Sapmaz, T.; Pettersson, T.J.; Murphy, K.R. Temperature-dependent mechanisms of DOM removal by biological activated carbon filters. Environ. Sci. Water Res. Technol. 2019, 5, 2232–2241. [Google Scholar] [CrossRef]
- Lu, Z.; Sun, W.; Li, C.; Ao, X.; Yang, C.; Li, S. Bioremoval of non-steroidal anti-inflammatory drugs by Pseudoxanthomonas sp. DIN-3 isolated from biological activated carbon process. Water Res. 2019, 161, 459–472. [Google Scholar] [CrossRef]
- Xu, S.; Yan, Y.; Shuang, C.; Zhou, Q.; Ji, R.; Li, A. Biological magnetic ion exchange resin on advanced treatment of synthetic wastewater. Bioresour. Technol. 2023, 372, 128613. [Google Scholar] [CrossRef]
- He, X.; Liu, Y.-L.; Conklin, A.; Westrick, J.; Weavers, L.K.; Dionysiou, D.D.; Lenhart, J.J.; Mouser, P.J.; Szlag, D.; Walker, H.W. Toxic cyanobacteria and drinking water: Impacts, detection, and treatment. Harmful Algae 2016, 54, 174–193. [Google Scholar] [CrossRef]
- Carmichael, W.W.; Boyer, G.L. Health impacts from cyanobacteria harmful algae blooms: Implications for the North American Great Lakes. Harmful Algae 2016, 54, 194–212. [Google Scholar] [CrossRef] [PubMed]
- Dixit, F.; Barbeau, B.; Mohseni, M. Removal of Microcystin-LR from spiked natural and synthetic waters by anion exchange. Sci. Total Environ. 2019, 655, 571–580. [Google Scholar] [CrossRef]
- Korkmaz, C.; Değermenci, G.D.; Değermenci, N. Removal of phosphate from aqueous solution using anion exchange resin: Equilibrium isotherms and kinetics. Fibers Polym. 2023, 24, 3753–3760. [Google Scholar] [CrossRef]
- Xu, X.; Chen, G.; Wei, J.; Qin, Y.; Tang, R.; Wang, L.; Wei, H.; Zhou, C.; Wu, J.; Zhao, X. Effects of competitive cations and dissolved organic matter on ammonium exchange and up-concentration properties of ion exchangers from domestic wastewater under multicycle exchange-regeneration operation. Sep. Purif. Technol. 2024, 345, 127274. [Google Scholar] [CrossRef]
- Sinharoy, A.; Chung, C.M. Fluoride removal from wastewater and potential for resource recovery: Comparative studies between different treatment technologies. Environ. Eng. Res. 2024, 29, 240179. [Google Scholar] [CrossRef]
- Thiripelu, P.; Manjunathan, J.; Revathi, M.; Ramasamy, P. Removal of hexavalent chromium from electroplating wastewater by ion-exchange in presence of Ni (II) and Zn (II) ions. J. Water Process. Eng. 2024, 58, 104815. [Google Scholar] [CrossRef]
- Mandal, K.; Abomuti, M.A.; Al-Harbi, S.A.; Tejasvi, S.; Park, S.; Raigar, M.B.; Oh, S. Sequestration of Toxic Metal Ions from Industrial Effluent Using the Novel Chelating Resin Tamarind Triazine Amino Propanoic Acid (TTAPA). Water 2023, 15, 2924. [Google Scholar] [CrossRef]
- Syeda, H.I.; Muthukumaran, S.; Baskaran, K. Polyglutamic acid and its derivatives as multi-functional biopolymers for the removal of heavy metals from water: A review. J. Water Process. Eng. 2023, 56, 104367. [Google Scholar] [CrossRef]
- Li, T.; Ji, X.; Wang, D.; Zhang, Q.; Zhang, M.; Zhang, H.; Yu, G.; Deng, S. Industrial-scale highly efficient nickel recovery from electroplating wastewater using resin adsorption followed by aeration mixing acid regeneration. J. Water Process. Eng. 2024, 58, 104801. [Google Scholar] [CrossRef]
- Ibebunjo, K.; El Ouardi, Y.; Bediako, J.K.; Iurchenkova, A.; Repo, E. Selective recovery of copper from copper tailings and wastewater using chelating resins with bis-picolylamine functional groups. Heliyon 2024, 10, e27766. [Google Scholar] [CrossRef]
- Abo-Farha, S.; Abdel-Aal, A.; Ashour, I.; Garamon, S. Removal of some heavy metal cations by synthetic resin purolite C100. J. Hazard. Mater. 2009, 169, 190–194. [Google Scholar] [CrossRef] [PubMed]
- Chai, J.; Jiang, T.; Wang, Y.; Chen, Q.; Shi, J.; Du, Q. Simultaneous removal of ciprofloxacin and Cr (VI) from contaminated water by polymer-supported nanoscale zero-valent copper: Performance and mechanism. Colloids Surf. A Physicochem. Eng. Asp. 2024, 694, 134214. [Google Scholar] [CrossRef]
- Han, L.; Shan, C.; Shuang, C.; Xu, S.; Zhou, Q.; Ji, R.; Li, A.; Pan, Y. Resistance of biological magnetic ion exchange resin to norfloxacin on the advanced treatment of wastewater. Chem. Eng. J. 2024, 486, 150881. [Google Scholar] [CrossRef]
- Alabdraba, W.; Bayati, M. Biodegradation of Azo dyes a review. Int. J. Environ. Eng. Nat. Resour. 2014, 1, 179–189. [Google Scholar]
- Alfadaly, R.A.; Elsayed, A.; Hassan, R.Y.; Noureldeen, A.; Darwish, H.; Gebreil, A.S. Microbial sensing and removal of heavy metals: Bioelectrochemical detection and removal of chromium (VI) and cadmium (II). Molecules 2021, 26, 2549. [Google Scholar] [CrossRef]
- Botsford, J. A Simple, Inexpensive, and Rapid Method to Determine Toxicity Using a Bacterial Indicator Organism. In Proceedings of the Conference on Hazardous Waste Research, Engineering Extension, Denver, CO, USA, 23–25 May 2000; Kansas State University: Manhattan, KS, USA, 2000; p. 22. [Google Scholar]
- Gheorghe, S.; Lucaciu, I.; Paun, I.; Stoica, C.; Stanescu, E. Environmental exposure and effects of some micropollutants found in the Romanian surface water. J. Environ. Prot. Ecol. 2014, 15, 878–888. [Google Scholar]
- Gheorghe, S.; Lucaciu, I.; Paun, I.; Vasile, G.; Petre, J.; Iancu, V.; Stoica, C.; Mitru, D.; Nita-Lazar, M. Anthropogenic pollutants: 10 years of progress in ecotoxicological studies and aquatic risk assessment. Rom. J. Ecol. Environ. Chem. 2019, 1, 26–38. [Google Scholar] [CrossRef]
- ISO 7346-1:1996; Water Quality—Determination of the Acute Lethal Toxicity of Substances to a Freshwater Fish [Brachydanio Rerio Hamilton-Buchanan (Teleostei, Cyprinidae)] Part 1: Static Method (Edition 2, 1996). ISO: Geneva, Switzerland, 1996.
- ISO 20227:2017; Water Quality—Determination of the Growth Inhibition Effects of Waste Waters, Natural Waters and Chemicals on the Duckweed Spirodela Polyrhiza—Method Using a Stock Culture Independent Microbiotest (Edition 1, 2017). ISO: Geneva, Switzerland, 2017.
- ISO 14371:2012; Water Quality—Determination of Fresh Water Sediment Toxicity to Heterocypris Incongruens (Crustacea, Ostracoda) (Edition 1, 2012). ISO: Geneva, Switzerland, 2012.
- ASTM E1440-91; Standard Guide for Acute Toxicity Test with the Rotifer Brachionus (Reapproved 2012). ASTM: West Conshohocken, PA, USA, 2012.
- ISO 11348-3:2009/A1:2019; Water Quality—Determination of the Inhibitory Effect of Water Samples on the Light Emission of Vibrio Fischeri (Luminescent Bacteria Test)—Part 3: Method Using Freeze-Dried Bacteria—Amendment 1 (ISO 11348-3:2007/Amd 1:2018). ISO: Geneva, Switzerland, 2019.
- ISO 11269-1:2012; Soil Quality—Determination of the Effects of Pollutants on Soil Flora Part 1: Method for the Measurement of Inhibition of Root Growth (Edition 2, 2012). ISO: Geneva, Switzerland, 2012.
- OECD. Test No. 203: Fish, Acute Toxicity Test (OECD 203). In OECD Guidelines for the Testing of Chemicals, Section 2; OECD: Paris, France, 2019; Available online: https://www.oecd-ilibrary.org/environment/test-no-203-fish-acute-toxicity-test_9789264069961-en (accessed on 10 September 2024).
- OECD 305: Bioaccumulation in Fish: Aqueous and Dietary Exposure. Available online: https://www.oecd.org/en/publications/test-no-305-bioaccumulation-in-fish-aqueous-and-dietary-exposure_9789264185296-en.html (accessed on 10 September 2024).
- ECD Guidelines for the Testing of Chemicals, Section 2: Effects on Biotic Systems Test No. 202: Daphnia sp. Acute Immobilisation Test. Available online: https://www.oecd.org/en/publications/test-no-202-daphnia-sp-acute-immobilisation-test_9789264069947-en.html (accessed on 10 September 2024).
- OECD Guidelines for the Testing of Chemicals, Section 2, Effects on Biotic Systems, Test No. 201: Freshwater Alga and Cyanobacteria, Growth Inhibition Test. Available online: https://www.oecd-ilibrary.org/environment/test-no-201-alga-growth-inhibition-test_9789264069923-en (accessed on 10 September 2024).
- Gheorghe, S.; Stoica, C.; Paun, I.; Lucaciu, I.; Nita-Lazar, M.; Cristofor, S. Ecotoxicological tests used as warning system for Danube Delta quality assessment. J. Environ. Prot. Ecol. 2016, 17, 171–181. [Google Scholar]
- Gheorghe, S.; Petre, J.; Lucaciu, I.; Stoica, C.; Nita-Lazar, M. Risk screening of pharmaceutical compounds in Romanian aquatic environment. Environ. Monit. Assess. 2016, 188, 379. [Google Scholar] [CrossRef]
- Gheorghe, S.; Vasile, G.; Stoica, C.; Nita-Lazar, M.; Lucaciu, I.; Banciu, A. Phytotoxicity tests applied on sewage sludge resulted from urban wastewater treatment plants. Rev. Chim. 2016, 67, 1469–1473. [Google Scholar]
- Nita-Lazar, M.; Gheorghe, S.; Anghelache, A.M.; Banciu, A.; Stoica, C.; Lucaciu, I. Modulation of the bacterial defense mechanisms by various chemical structures. Rev. Chim. 2016, 67, 1454–1457. [Google Scholar]
- Nita-Lazar, M.; Galaon, T.; Banciu, A.; Paun, I.; Stoica, C.; Lucaciu, I. Screening of various harmful compounds in a new bacterial biological model. J. Environ. Prot. Ecol. 2016, 17, 237–247. [Google Scholar]
- Meerbergen, K.; Willems, K.A.; Dewil, R.; Van Impe, J.; Appels, L.; Lievens, B. Isolation and screening of bacterial isolates from wastewater treatment plants to decolorize azo dyes. J. Biosci. Bioeng. 2018, 125, 448–456. [Google Scholar] [CrossRef]
- Saratale, R.G.; Saratale, G.D.; Chang, J.-S.; Govindwar, S.P. Bacterial decolorization and degradation of azo dyes: A review. J. Taiwan Inst. Chem. Eng. 2011, 42, 138–157. [Google Scholar] [CrossRef]
- Shi, Y.; Yang, Z.; Xing, L.; Zhang, X.; Li, X.; Zhang, D. Recent advances in the biodegradation of azo dyes. World J. Microbiol. 2021, 37, 137. [Google Scholar] [CrossRef]
- Roy, D.C.; Biswas, S.K.; Saha, A.K.; Sikdar, B.; Rahman, M.; Roy, A.K.; Prodhan, Z.H.; Tang, S.-S. Biodegradation of Crystal Violet dye by bacteria isolated from textile industry effluents. PeerJ 2018, 6, e5015. [Google Scholar] [CrossRef]
- Sinha, A.; Lulu, S.; Vino, S.; Banerjee, S.; Acharjee, S.; Osborne, W.J. Degradation of reactive green dye and textile effluent by Candida sp. VITJASS isolated from wetland paddy rhizosphere soil. J. Environ. Chem. Eng. 2018, 6, 5150–5159. [Google Scholar] [CrossRef]
- Sen, S.K.; Raut, S.; Bandyopadhyay, P.; Raut, S. Fungal decolouration and degradation of azo dyes: A review. Fungal Biol. Rev. 2016, 30, 112–133. [Google Scholar] [CrossRef]
- Nazari, N.; Jookar Kashi, F.; Nazari, N. Improved application of immobilized Enterobacter cloacae into a bio-based polymer for Reactive Blue 19 removal, an eco-friendly advancement in potential decolorizing systems. Water Environ. Res. 2024, 96, e10968. [Google Scholar] [CrossRef]
- Popli, S.; Patel, U.D. Destruction of azo dyes by anaerobic–aerobic sequential biological treatment: A review. Int. J. Environ. Sci. Technol. 2015, 12, 405–420. [Google Scholar] [CrossRef]




| Type of Resins | Type of Functional Grouping | pH Range |
|---|---|---|
| Cation-exchange resins | Weakly acidic | 9–14 |
| Strongly acidic | 0–14 | |
| Anion-exchange resins | Weakly basic | 0–9 |
| Strongly basic | 0–14 |
| Type of Resin | DVB (%) | Water Percentage (%) |
|---|---|---|
| Microporous (gel) | 2 | 80 |
| 4 | 70 | |
| 8 | 55 | |
| Macroporous (macroreticular) | 12 | 45 |
| 16 | 40 | |
| 20 | 50–65 |
| Type of Resin | Total Exchange Capacity eq/L | Operating Capacity eq/L | |
|---|---|---|---|
| Weakly acid | Anion-exchange resin | 3.7 ÷ 4.5 | 1.0 ÷ 3.5 |
| Strong acid | 1.7 ÷ 2.2 | 0.6 ÷ 1.7 | |
| Weakly basic | Anion-exchange resin | 1.1 ÷ 1.7 | 0.8 ÷ 1.3 |
| Strongly basic | 0.9 ÷1.4 | 0.4 ÷ 0.9 | |
| Species | Test | Matrices | Type of Test | Endpoint Effect | Test Period /Incubation |
|---|---|---|---|---|---|
| Freshwater fish | |||||
| Cyprinus carpio/ Carassius auratus gibelio | OECD 203 * SR EN ISO 7346-1 [119] | Chemical/water samples | Acute | Mortality, LC50, clinical signs | 96 h, 21–22 °C |
| In-house procedure | Chemical/water samples | Chronic | Growth instant rate, mortality rate, biomass mean, production, used food rate, and biochemical indicators—hepatic enzyme activity, MATC | 30–90 days, 21–22 °C | |
| In-house procedure | Chemical/water samples | Acute or chronic | Enzymatic activity of antioxidant enzyme, histopatological modification | >96 h, 21–22 °C | |
| OECD 305 ** (Laboratory tests) | Metals | Acute or chronic | Bioconcentration factor (BCF) | >96 h, 21–22 °C | |
| Aquatic plants | |||||
| Spirodela polyrhiza | ISO 20227 Spirodela Duckweed Toxkit [120] | Chemical/water samples | Acute | Growth inhibition, EC50 | 72 h, 25 °C |
| Planktonic Crustacean | |||||
| Daphnia magna | OECD 202 ***, Daphtoxkit F | Chemical/water samples | Acute | Mortality/immobilization LC50 | 24–48 h, 20 °C |
| Benthic Crustacean | |||||
| Heterocypris incongruens | ISO 14371 Ostracodtoxkit F [121], | Chemical/water samples/sediments | Chronic | Mortality/growth inhibition, LC50 | 6 days, 25 °C |
| Green Algae | |||||
| Selenastrum capricornutum/Pseudokirchneriella subcapita | OECD 201 ****, Algaltoxkit F | Chemical/water samples | Acute/chronic | Growth rate inhibition/biomass inhibition, EC50 | 72 h, 21–25 °C |
| Rotifers | |||||
| Brachiounus calyciflorus | ASTM Standard Guide E1440-91, Rotoxkıt F [122] | Chemical/water samples | Acute | Mortality, EC50 | 24 h, 25 °C |
| Protozoan | |||||
| Tetrahymena thermophila | Protoxkıt F | Chemical/water samples | Chronic | Reproduction inhibition, EC50 | 24 h, 30 °C |
| Bacteria | |||||
| Marine luminescent bacteria—Aliivibrio fischeri | DIN EN ISO 11348-3 BioFix Lumi [123] | Chemical/water samples | Acute | Luminescence inhibition, IC50 | 15/30 min, 20 °C |
| Microbacterium sp., Brevundimonas diminuta, Citrobacter freundii, Comamonas testosterroni, Enterococcus casseliflavus, Delftia acidovorans, Kurthia gibsonii, Sthaphilococcus warnerii, Pseudomonas aurantiaca, Serratia rubidae, Pichia anomalia | MARA test (Microbial Array for toxicity Risk Assessment) | Chemical/water samples | Acute | Microbial growth inhibition, MTC | 18 h, 30 °C |
| Escherichia coli | Geno toxicity test SOS Chromotest | Chemical/water samples | Acute | Effects on gene expression (β-galactosidase) | 18 h, 37 °C |
| Terrestrial plants | |||||
| Lepidium sativum, Sinapis alba, Sorghum saccharatum | SR EN ISO 11269, Phytotoxkit [124] | Chemical, soil, sludge, waste, sediment, water | Acute | Germination and root growth inhibition, EC50 | 72 h, 25 °C |
Disclaimer/Publisher’s Note: The statements, opinions and data contained in all publications are solely those of the individual author(s) and contributor(s) and not of MDPI and/or the editor(s). MDPI and/or the editor(s) disclaim responsibility for any injury to people or property resulting from any ideas, methods, instructions or products referred to in the content. |
© 2024 by the authors. Licensee MDPI, Basel, Switzerland. This article is an open access article distributed under the terms and conditions of the Creative Commons Attribution (CC BY) license (https://creativecommons.org/licenses/by/4.0/).
Share and Cite
Marin, N.M.; Nita Lazar, M.; Popa, M.; Galaon, T.; Pascu, L.F. Current Trends in Development and Use of Polymeric Ion-Exchange Resins in Wastewater Treatment. Materials 2024, 17, 5994. https://doi.org/10.3390/ma17235994
Marin NM, Nita Lazar M, Popa M, Galaon T, Pascu LF. Current Trends in Development and Use of Polymeric Ion-Exchange Resins in Wastewater Treatment. Materials. 2024; 17(23):5994. https://doi.org/10.3390/ma17235994
Chicago/Turabian StyleMarin, Nicoleta Mirela, Mihai Nita Lazar, Marcela Popa, Toma Galaon, and Luoana Florentina Pascu. 2024. "Current Trends in Development and Use of Polymeric Ion-Exchange Resins in Wastewater Treatment" Materials 17, no. 23: 5994. https://doi.org/10.3390/ma17235994
APA StyleMarin, N. M., Nita Lazar, M., Popa, M., Galaon, T., & Pascu, L. F. (2024). Current Trends in Development and Use of Polymeric Ion-Exchange Resins in Wastewater Treatment. Materials, 17(23), 5994. https://doi.org/10.3390/ma17235994

