The Effect of TiO2 on the Dielectric Performance of ZrO2 and Nb2O5 Pre-Doped CaCu3Ti4O12 Ceramics
Abstract
1. Introduction
2. Experimental
2.1. Materials and Methods
2.2. Characterization Methods
3. Results
3.1. Phase Structure
3.2. Morphology
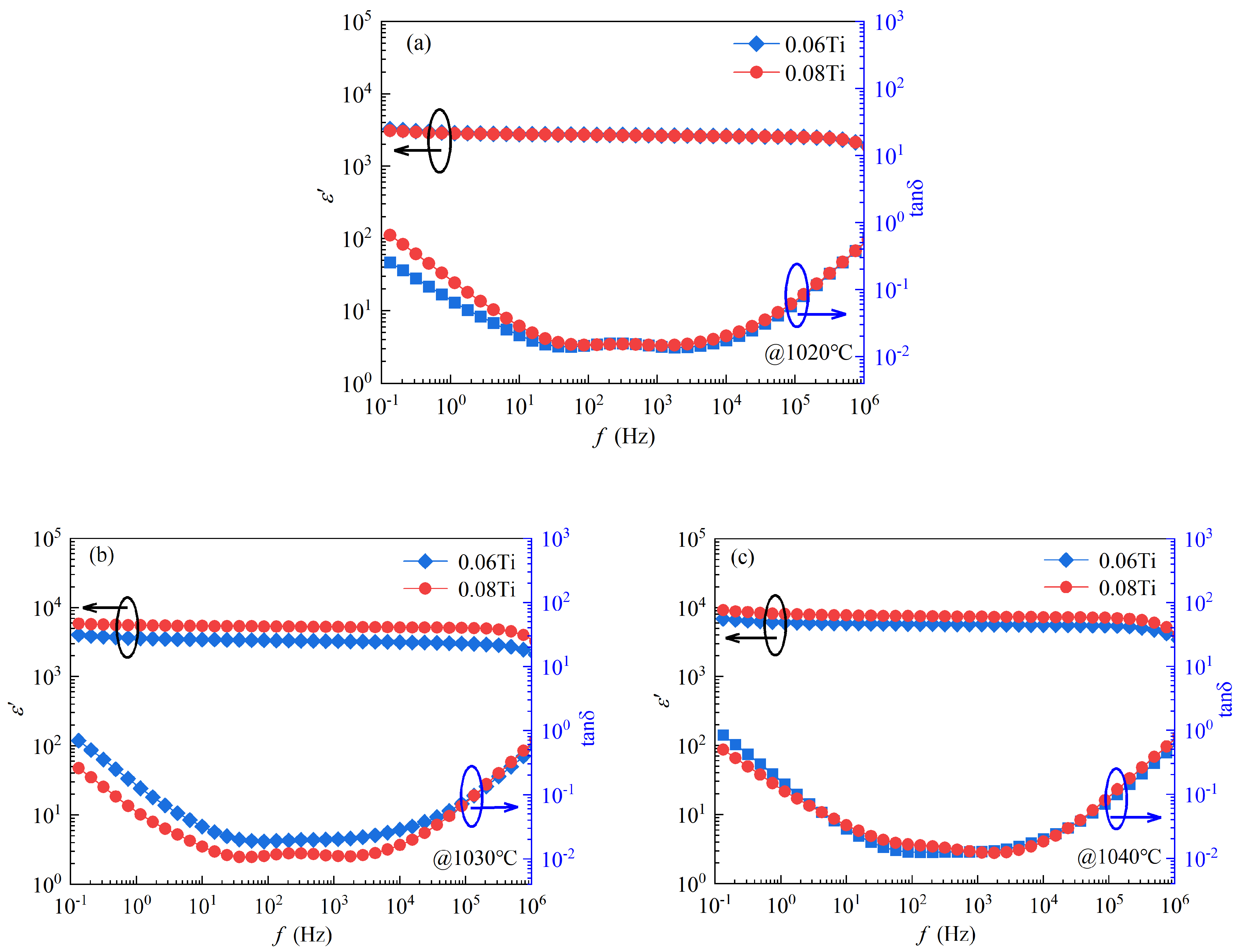
3.3. Dielectric Performances
4. Discussion
5. Conclusions
Supplementary Materials
Author Contributions
Funding
Institutional Review Board Statement
Informed Consent Statement
Data Availability Statement
Conflicts of Interest
References
- Subramanian, M.A.; Li, D.; Duan, N.; Reisner, B.A.; Sleight, A.W. High dielectric constant in ACu3Ti4O12 and ACu3Ti3FeO12 phase. J. Solid State Chem. 2000, 151, 323–325. [Google Scholar] [CrossRef]
- Ahmadipour, M.; Ain, M.F.; Ahmad, Z.A. A short review on copper calcium titanate (CCTO) electroceramic: Synthesis, dielectric properties, film deposition, and sensing application. Nano-Micro Lett. 2016, 8, 291–311. [Google Scholar] [CrossRef] [PubMed]
- Sebald, J.; Krohns, S.; Lunkenheimer, P.; Ebbinghaus, S.G.; Riegg, S.; Reller, A.; Loidl, A. Colossal dielectric constants: A common phenomenon in CaCu3Ti4O12 related materials. Solid State Commun. 2010, 150, 857–860. [Google Scholar] [CrossRef]
- Liang, P.; Yang, Z.; Chao, X.; Liu, Z. Giant dielectric constant and good temperature stability in Y2/3Cu3Ti4O12 ceramics. J. Am. Ceram. Soc. 2012, 95, 2218–2225. [Google Scholar] [CrossRef]
- Chung, S.Y.; Kim, I.D.; Kang, S.J.L. Strong nonlinear current-voltage behavior in perovskite-derivative calcium copper titanate. Nat. Mater. 2004, 3, 774–778. [Google Scholar] [CrossRef] [PubMed]
- Wang, H.; Lin, C.; He, J.; Li, S. Dielectric properties of CaCu3Ti4O12 ceramics fabricated with high purity nanometric powders. In Proceedings of the 2013 IEEE International Conference on Solid Dielectrics (ICSD), Bologna, Italy, 30 June–4 July 2013; pp. 1076–1079. [Google Scholar]
- Lin, Y.; Cai, J.; Li, M.; Nan, C.; He, J. High dielectric and nonlinear electrical behaviors in TiO2-rich CaCu3Ti4O12 ceramics. Appl. Phys. Lett. 2006, 88, 172902. [Google Scholar] [CrossRef]
- Thomas, A.K.; Abraham, K.; Thomas, J.; Saban, K.V. Structural and dielectric properties of A- and B-sites doped CaCu3Ti4O12 ceramics. Ceram. Int. 2015, 41, 10250–10255. [Google Scholar] [CrossRef]
- Sripakdee, C.; Prompa, K.; Swatsitang, E.; Putjuso, T. Very high-performance dielectric and non-ohmic properties of novel X8R type Ca1-1.5xHoxCu3Ti4O12/TiO2 ceramics. J. Alloys Compd. 2019, 779, 521–530. [Google Scholar] [CrossRef]
- Swatsitang, E.; Prompa, K.; Putjuso, T. Very high thermal stability with excellent dielectric, and non-ohmics properties of Mg-doped CaCu3Ti4.2O12 ceramics. J. Mater. Sci. Mater. Electron. 2018, 29, 12639–12651. [Google Scholar] [CrossRef]
- Swatsitang, E.; Putjuso, T. Improved non-ohmic and dielectric properties of Cr3+ doped CaCu3Ti4O12 ceramics prepared by a polymer pyrolysis solution route. J. Eur. Ceram. Soc. 2018, 38, 4994–5001. [Google Scholar] [CrossRef]
- Swatsitang, E.; Putjuso, T. Very low loss tangent, high dielectric and non-ohmic properties of Ca1-1.5xPrxCu3Ti4O12 ceramics prepared by the solegel process. J. Mater. Sci. Mater. Electron. 2017, 28, 18966–18976. [Google Scholar] [CrossRef]
- Boonlakhorn, J.; Putasaeng, B.; Kidkhunthod, P.; Thongbai, P. Improved dielectric properties of (Y + Mg) co-doped CaCu3Ti4O12 ceramics by controlling geometric and intrinsic properties of grain boundaries. Mater. Design 2016, 92, 494–498. [Google Scholar] [CrossRef]
- Patterson, E.A.; Kwon, S.; Huang, C.C.; Cann, D.P. Effects of ZrO2 additions on the dielectric properties of CaCu3Ti4O12. Appl. Phys. Lett. 2005, 87, 182911. [Google Scholar] [CrossRef]
- Chi, Q.G.; Gao, L.; Wang, X.; Lin, J.Q.; Sun, J.; Lei, Q.Q. Effects of Zr doping on the microstructures and dielectric properties of CaCu3Ti4O12 ceramics. J. Alloys Compd. 2013, 559, 45–48. [Google Scholar] [CrossRef]
- Kotb, H.M.; Ahmad, M.M.; Alshoaibi, A.; Yamada, K. Dielectric Response and Structural Analysis of (A3+, Nb5+) Cosubstituted CaCu3Ti4O12 Ceramics (A: Al and Bi). Materials 2020, 13, 5822. [Google Scholar] [CrossRef]
- Ouyang, X.; Habib, M.; Cao, P.; Wei, S.; Huang, Z.; Zhang, W.; Gao, W. Enhanced extrinsic dielectric response of TiO2 modified CaCu3Ti4O12 ceramics. Ceram. Int. 2015, 41, 13447–13454. [Google Scholar] [CrossRef]
- Swatsitang, E.; Prompa, K.; Putjuso, T. Temperature stability of the dielectric properties of Zr4+-doped CaCu3Ti4O12 ceramics for X9R capacitor applications. J. Alloys Compd. 2019, 789, 231–239. [Google Scholar] [CrossRef]
- Hu, W.; Liu, Y.; Withers, R.L.; Frankcombe, T.J.; Norén, L.; Snashall, A.; Kitchin, M.; Smith, P.; Gong, B.; Chen, H.; et al. Electron-pinned defect-dipoles for high-performance colossal permittivity materials. Nat. Mater. 2013, 12, 821–826. [Google Scholar] [CrossRef]
- Saengvong, P.; Chanlek, N.; Putasaeng, B.; Pengpad, A.; Harnchana, V.; Krongsuk, S.; Srepusharawoot, P.; Thongbai, P. Significantly Improved Colossal Dielectric Properties and Maxwell—Wagner Relaxation of TiO2—Rich Na1/2Y1/2Cu3Ti4+xO12 Ceramics. Molecules 2021, 26, 6043. [Google Scholar] [CrossRef]
- Dulian, P.; Bąk, W.; Piz, M.; Garbarz-Glos, B.; Sachuk, O.; Wieczorek-Ciurowa, K.; Lisińska-Czekaj, A.; Czekaj, D. Mg2+ Doping Effects on the Structural and Dielectric Properties of CaCu3Ti4O12 Ceramics Obtained by Mechanochemical Synthesis. Materials 2021, 14, 1187. [Google Scholar] [CrossRef]
- Prompa, K.; Swatsitang, E.; Putjuso, T. Ultra-stable X9R type CaCu3-xZnxTi4.1O12 ceramics. Ceram Int. 2018, 44, 20739–20748. [Google Scholar] [CrossRef]
- Rhouma, S.; Saîd, S.; Autret, C.; De Almeida-Didry, S.; El Amrani, M.; Megriche, A. Comparative studies of pure, Sr-doped, Ni-doped and co-doped CaCu3Ti4O12 ceramics: Enhancement of dielectric properties. J. Alloys Compd. 2017, 717, 121–126. [Google Scholar] [CrossRef]
- Mao, P.; Wang, J.; Xiao, P.; Zhang, L.; Kang, F.; Gong, H. Colossal dielectric response and relaxation behavior in novel system of Zr4+ and Nb5+ co-substituted CaCu3Ti4O12 ceramics. Ceram. Int. 2021, 47, 111–120. [Google Scholar] [CrossRef]
- Boonlakhorn, J.; Kidkhunthod, P.; Chanlek, N.; Thongbai, P. (Al3+, Nb5+) co-doped CaCu3Ti4O12: An extended approach for acceptor-donor heteroatomic substitutions to achieve high-performance giant-dielectric permittivity. J. Eur. Ceram. Soc. 2018, 38, 137–143. [Google Scholar] [CrossRef]
- Yu, Y.; Wang, Q.; Li, Y.; Rehman, M.U.; Khan, W.Q. Sr and Zr Co-Doped CaCu3Ti4O12 Ceramics with Improved Dielectric Properties. Materials 2022, 15, 4243. [Google Scholar] [CrossRef]
- Swatsitang, E.; Prompa, K.; Putjuso, T. Very high temperature stability and excellent dielectric properties of a novel X9R type Ca1-xSrxCu3Ti4O12/TiO2 nanocomposite synthesized by a polymer pyrolysis technique. Appl. Surf. Sci. 2019, 478, 197–205. [Google Scholar] [CrossRef]
- Swatsitang, E.; Prompa, K.; Putjuso, T. Ni2+-doped CaCu3Ti4O12/TiO2 nanocomposite ceramics with high temperature stability dielectric and nonlinear electrical properties for X9R capacitors. Appl. Surf. Sci. 2019, 484, 925–932. [Google Scholar] [CrossRef]
- Veselinović, L.; Mitrić, M.; Mančić, L.; Jardim, P.M.; Škapin, S.D.; Cvjetićanin, N.; Milović, M.D.; Marković, S. Crystal Structure and Electrical Properties of Ruthenium-Substituted Calcium Copper Titanate. Materials 2022, 15, 8500. [Google Scholar] [CrossRef]
- Zhang, J.; Wang, D.; Hao, R.; Guo, X.; Chen, Z.; Lei, Z.; Li, Y.; Li, L. SrTiO3-modified CaCu3Ti4O12ceramics with low dielectric loss and excellent temperature stability for X8P capacitors. J. Mater. Sci-Mater. Electron. 2023, 34, 1148. [Google Scholar] [CrossRef]
- Fukuda, K.; Kitoh, R.; Awai, I. Microwave Characteristics of TiO2-Bi2O3 Dielectric Resonator. Jpn. J. Appl. Phys. 1993, 32, 4584–4588. [Google Scholar] [CrossRef]
- Liu, L.; Fan, H.; Fang, P.; Jin, L. Electrical heterogeneity in CaCu3Ti4O12 ceramics fabricated by sol–gel method. Solid State Commun. 2007, 142, 573–576. [Google Scholar] [CrossRef]
- Kumari, N.; Meena, S.; Rathore, D.; Singhal, R.; Dwivedi, U.K. Study of dielectric properties of CaCu3Ti4O12 synthesized via different routes: Effect of sintering temperature. Ceram. Int. 2023, 49, 2549–2556. [Google Scholar] [CrossRef]
- Espinoza-González, R.; Caamaño, J.; Castillo, X.; Orlandi, M.O.; Felix, A.A.; Flores, M.; Blanco, A.; Castro-Castillo, C.; Gracia, F. Selective NO2 Detection of CaCu3Ti4O12 Ceramic Prepared by the Sol-Gel Technique and DRIFT Measurements to Elucidate the Gas Sensing Mechanism. Materials 2023, 16, 3390. [Google Scholar] [CrossRef]
- Hao, W.; Xu, P.; Wang, M.; Yang, S.; Yupeng, W.; Wu, H.; Sun, L.; Cao, E.; Zhang, Y. Microstructure and dielectrical properties of CaCu3Ti4O12/TiO2 composite ceramics with core-shell structure. J. Alloys Compd. 2018, 740, 1159–1164. [Google Scholar] [CrossRef]
- Sakamaki, R.; Cheng, B.; Cai, J.; Lin, Y.; Nan, C.; He, J. Preparation of TiO2-enriched CaCu3Mn0.1Ti3.9O12 ceramics and their dielectric properties. J. Eur. Ceram. Soc. 2010, 30, 95–99. [Google Scholar] [CrossRef]
- Mao, P.; Wang, J.; Liu, S.; Zhang, L.; Zhao, Y.; Wu, K.; Wang, Z.; Li, J. Improved dielectric and nonlinear properties of CaCu3Ti4O12 ceramics with Cu-rich phase at grain boundary layers. Ceram. Int. 2019, 45, 15082–15090. [Google Scholar] [CrossRef]
- Clarke, D.R. Varistor ceramics. J. Am. Ceram. Soc. 1999, 82, 485–502. [Google Scholar] [CrossRef]
- Pokhriyal, P.; Bhakar, A.; Sinha, A.K.; Sagdeo, A. Colossal dielectric permittivity and mechanism of AC conduction in bulk delafossite CuFeO2. J. Appl. Phys. 2019, 125, 164101. [Google Scholar] [CrossRef]
- Mao, P.; Wang, J.; Liu, S.; Zhang, L.; Zhao, Y.; He, L. Grain size effect on the dielectric and non-ohmic properties of CaCu3Ti4O12 ceramics prepared by the sol-gel process. J. Alloys Compd. 2019, 778, 625–632. [Google Scholar] [CrossRef]
- Irvine, J.T.S.; Sinclair, D.C.; West, A.R. Electroceramics: Characterization by impedance spectroscopy. Adv. Mater. 1990, 2, 132–138. [Google Scholar] [CrossRef]
- Boonlakhorn, J.; Srepusharawoot, P.; Thongbai, P. Distinct roles between complex defect clusters and insulating grain boundary on dielectric loss behaviors of (In3+/Ta5+) co-doped CaCu3Ti4O12 ceramics. Results Phys. 2020, 16, 102886. [Google Scholar] [CrossRef]
- Thongbai, P.; Jumpatam, J.; Yamwong, T.; Maensiri, S. Effects of Ta5+ doping on microstructure evolution, dielectric properties and electrical response in CaCu3Ti4O12 ceramics. J. Eur. Ceram. Soc. 2012, 32, 2423–2430. [Google Scholar] [CrossRef]
- Mao, P.; Wang, J.; He, L.; Zhang, L.; Annadi, A.; Kang, F.; Sun, Q.; Wang, Z.; Gong, H. Excellent Capacitor-Varistor Properties in Lead-Free CaCu3Ti4O12-SrTiO3 System with a Wrinkle Structure via Interface Engineering. Acs Appl. Mater. Interfaces 2020, 12, 48781–48793. [Google Scholar] [CrossRef] [PubMed]






| 0.06 Ti @1020 °C | 0.08 Ti @1020 °C | 0.06 Ti @1030 °C | 0.08 Ti @1030 °C | 0.06 Ti @1040 °C | 0.08 Ti @1040 °C | |
|---|---|---|---|---|---|---|
| Profile function | Pseudo Voigt | Pseudo Voigt | Pseudo Voigt | Pseudo Voigt | Pseudo Voigt | Pseudo Voigt |
| Crystal system | Im3 | Im3 | Im3 | Im3 | Im3 | Im3 |
| Lattice parameters a = b = c (Å) | 7.3980 | 7.3984 | 7.3987 | 7.3988 | 7.3983 | 7.3988 |
| Angle (in degree) | 90 | 90 | 90 | 90 | 90 | 90 |
| Volume (Å3) | 404.900 | 404.961 | 405.014 | 405.022 | 404.944 | 405.020 |
| Chi-Square value (Chi2) | 6.44 | 4.28 | 4.18 | 2.79 | 3.39 | 2.48 |
| Theoretical density (g/cm3) | 5.038 | 5.038 | 5.036 | 5.037 | 5.037 | 5.053 |
| Sample | tanδ (min) | Measured Density (g/cm3) | Relative Density (%) | Mean Grain Size (μm) |
|---|---|---|---|---|
| 0.06 Ti@1020 °C | 0.014 | 4.817 | 95.61 | 2.82 ± 0.65 |
| 0.08 Ti@1020 °C | 0.013 | 4.798 | 95.24 | 2.83 ± 0.71 |
| 0.06 Ti@1030 °C | 0.010 | 4.834 | 95.99 | 3.24 ± 0.82 |
| 0.08 Ti@1030 °C | 0.012 | 4.833 | 95.95 | 3.38 ± 0.63 |
| 0.06 Ti@1040 °C | 0.012 | 4.791 | 95.12 | 3.35 ± 0.84 |
| 0.08 Ti@1040 °C | 0.012 | 4.771 | 94.42 | 3.38 ± 0.70 |
Disclaimer/Publisher’s Note: The statements, opinions and data contained in all publications are solely those of the individual author(s) and contributor(s) and not of MDPI and/or the editor(s). MDPI and/or the editor(s) disclaim responsibility for any injury to people or property resulting from any ideas, methods, instructions or products referred to in the content. |
© 2024 by the authors. Licensee MDPI, Basel, Switzerland. This article is an open access article distributed under the terms and conditions of the Creative Commons Attribution (CC BY) license (https://creativecommons.org/licenses/by/4.0/).
Share and Cite
Zhang, G.; Li, L.; Nan, Y.; Li, P.; Deng, T.; Lei, Z.; Li, Y.; Zhang, J. The Effect of TiO2 on the Dielectric Performance of ZrO2 and Nb2O5 Pre-Doped CaCu3Ti4O12 Ceramics. Materials 2024, 17, 5824. https://doi.org/10.3390/ma17235824
Zhang G, Li L, Nan Y, Li P, Deng T, Lei Z, Li Y, Zhang J. The Effect of TiO2 on the Dielectric Performance of ZrO2 and Nb2O5 Pre-Doped CaCu3Ti4O12 Ceramics. Materials. 2024; 17(23):5824. https://doi.org/10.3390/ma17235824
Chicago/Turabian StyleZhang, Guoyu, Lu Li, Yanxin Nan, Peng Li, Tao Deng, Zhipeng Lei, Yuanyuan Li, and Jianhua Zhang. 2024. "The Effect of TiO2 on the Dielectric Performance of ZrO2 and Nb2O5 Pre-Doped CaCu3Ti4O12 Ceramics" Materials 17, no. 23: 5824. https://doi.org/10.3390/ma17235824
APA StyleZhang, G., Li, L., Nan, Y., Li, P., Deng, T., Lei, Z., Li, Y., & Zhang, J. (2024). The Effect of TiO2 on the Dielectric Performance of ZrO2 and Nb2O5 Pre-Doped CaCu3Ti4O12 Ceramics. Materials, 17(23), 5824. https://doi.org/10.3390/ma17235824

