Magnetic Field Effect on the Electric and Dielectric Properties of the Linear Magnetoelectric Compound Co4Nb2O9
Abstract
1. Introduction
2. Model and Method
3. Numerical Results and Discussion
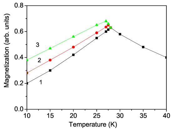
3.1. Temperature and Electric Field Dependence of the Magnetization in CNO
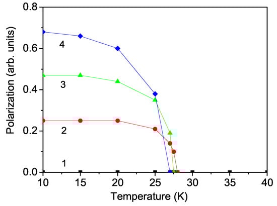
3.2. Temperature and Magnetic Field Dependence of the Polarization in CNO
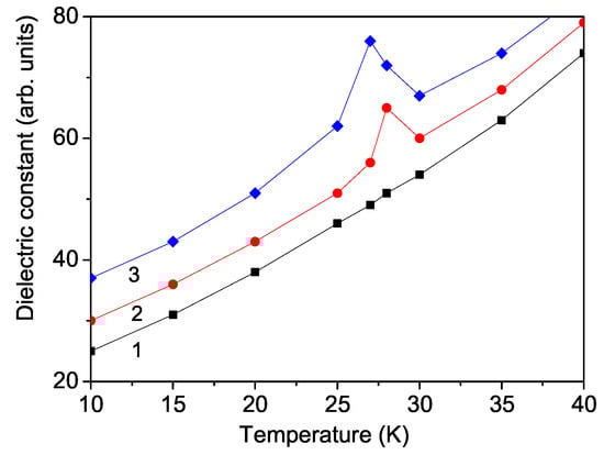
3.3. Temperature and Magnetic Field Dependence of the Dielectric Constant in CNO
4. Conclusions
Author Contributions
Funding
Institutional Review Board Statement
Informed Consent Statement
Data Availability Statement
Conflicts of Interest
References
- Fiebig, M. Revival of the magnetoelectric effect. J. Phys. D 2005, 38, R123. [Google Scholar] [CrossRef]
- Mostovoy, M. Multiferroics: Different routes to magnetoelectric coupling. npj Spintron. 2024, 2, 18. [Google Scholar] [CrossRef]
- Khomskii, D.I. Multiferroics: Different ways to combine magnetism and ferroelectricity. J. Magn. Magn. Mater. 2006, 306, 1–8. [Google Scholar] [CrossRef]
- Van Aken, B.B.; Palstra, T.T.M.; Filippetti, A.; Spaldin, N.A. The origin of ferroelectricity in magnetoelectric YMnO3. Nat. Mater. 2004, 3, 164–170. [Google Scholar] [CrossRef]
- Kimura, T.; Goto, T.; Shintani, H.; Ishizaka, K.; Arima, T.; Tokura, Y. Magnetic control of ferroelectric polarization. Nature 2003, 426, 55–58. [Google Scholar] [CrossRef]
- Mufti, N.; Blake, G.R.; Mostovoy, M.; Riyadi, S.; Nugroho, A.A.; Palstra, T.T.M. Magnetoelectric coupling in MnTiO3. Phys. Rev. B 2011, 83, 104416. [Google Scholar] [CrossRef]
- Hwang, J.; Choi, E.S.; Zhou, H.D.; Lu, J.; Schlottmann, P. Magneto-electric effect in NdCrTiO5. Phys. Rev. B 2012, 85, 024415. [Google Scholar] [CrossRef]
- Fischer, E.; Gorodetsky, G.; Hornreich, R.M. A new family of magnetoelectric materials: A2M4O9 (A = Ta, Nb; M = Mn, Co). Solid State Commun. 1972, 10, 1127–1132. [Google Scholar] [CrossRef]
- Kolodiazhnyi, T.; Sakurai, H.; Vittayakorn, N. Spin-flop driven magneto-dielectric effect in Co4Nb2O9. Appl. Phys. Lett. 2011, 99, 132906. [Google Scholar] [CrossRef]
- Fang, Y.; Song, Y.Q.; Zhou, W.P.; Zhao, R.; Tang, R.J.; Yang, H.; Lv, L.Y.; Yang, S.G.; Wang, D.H.; Du, Y.W. Large magnetoelectric coupling in Co4Nb2O9. Sci. Rep. 2014, 4, 3860. [Google Scholar] [CrossRef]
- Bertaut, E.F.; Corliss, L.; Forrat, F.; Aleonard, R.; Pauthenet, R. Etude de niobates et tantalates de metaux de transition bivalents. J. Phys. Chem. Solids 1961, 21, 234–251. [Google Scholar] [CrossRef]
- Khanh, N.D.; Abe, N.; Sagayama, H.; Nakao, A.; Hanashima, T.; Kiyanagi, R.; Tokunaga, Y.; Arima, T. Magnetoelectric coupling in the honeycomb antiferromagnet Co4Nb2O9. Phys. Rev. B 2016, 93, 075117. [Google Scholar] [CrossRef]
- Srivastava, P.; Chaudhary, S.; Maurya, V.; Saha, J.; Kaushik, S.; Siruguri, V.; Patnaik, S. Magnetic structure driven ferroelectricity and large magnetoelectric coupling in antiferromagnet Co4Nb2O9. Solid State Commun. 2018, 273, 39–43. [Google Scholar] [CrossRef]
- Deng, G.; Cao, Y.; Ren, W.; Cao, S.; Studer, A.J.; Gauthier, N.; Kenzelmann, M.; Davidson, G.; Rule, K.C.; Gardner, J.S.; et al. Spin Dynamics and Magnetoelectric Coupling Mechanism of Co4Nb2O9. Phys. Rev. B 2018, 97, 085154. [Google Scholar] [CrossRef]
- Yanagi, Y.; Hayami, S.; Kusunose, H. Manipulating the magnetoelectric effect: Essence learned from Co4Nb2O9. Phys. Rev. B 2018, 97, 020404. [Google Scholar] [CrossRef]
- Matsumoto, M.; Koga, M. Symmetry analysis of magnetoelectric effects in honeycomb antiferromagnet Co4Nb2O9. J. Phys. Soc. Jpn. 2019, 88, 094704. [Google Scholar] [CrossRef]
- Solovyev, I.V.; Kolodiazhnyi, T.V. Origin of magnetoelectric effect in Co4Nb2O9 and Co4Ta2O9: The lessons learned from the comparison of first-principles-based theoretical models and experimental data. Phys. Rev. B 2016, 94, 094427. [Google Scholar] [CrossRef]
- Tserkovnikov, Y.A. Decoupling of chains of equations for two-time Green’s functions. Theor. Math. Phys. 1971, 7, 511. [Google Scholar] [CrossRef]
- Katsura, H.; Nagaosa, N.; Balatsky, A.V. Spin current and magnetoelectric effect in noncollinear magnets. Phys. Rev. Lett. 2005, 95, 057205. [Google Scholar] [CrossRef]
- Yamasaki, Y.; Miyasaka, S.; Kaneko, Y.; He, J.-P.; Arima, T.; Tokura, Y. Magnetic reversal of the ferroelectric polarization in a multiferroic spinel oxide. Phys. Rev. Lett. 2006, 96, 207204. [Google Scholar] [CrossRef]
- Vaks, V.G. Introduction to the Microscopic Theory of Ferroelectrics; Nauka: Moscow, Russia, 1973; p. 158. (In Russian) [Google Scholar]
- Cao, Y.; Deng, G.; Beran, P.; Feng, Z.; Kang, B.; Zhang, J.; Guiblin, N.; Dkhil, M.; Ren, W.; Cao, S. Nonlinear magnetoelectric efect in paraelectric state of Co4Nb2O9 single crystal. Sci. Rep. 2017, 7, 14079. [Google Scholar] [CrossRef] [PubMed]
- Yadav, S.; Chandra, M.; Rawat, R.; Khandelwal, A.; Chandra, J.S.S.; Choudhary, R.J.; Sathe, V. Temperature-Dependent Structural, Dielectric, and Raman Spectroscopy Studies on Magnetoelectric Co4Nb2O9. J. Phys. Chem. C 2022, 126, 14986–14994. [Google Scholar] [CrossRef]
- Malashevich, A.; Coh, S.; Souza, I.; Vanderbilt, D. Full magnetoelectric response of Cr2O3 from first principles. Phys. Rev. B 2012, 86, 094430. [Google Scholar] [CrossRef]
- Lee, N.; Oh, D.G.; Choi, S.; Moon, J.Y.; Kim, J.H.; Shin, H.J.; Son, K.; Nuss, J.; Kiryukhin, V.; Choi, Y.J. Highly nonlinear magnetoelectric effect in buckled-honeycomb antiferromagnetic Co4Ta2O9. Sci. Rep. 2020, 10, 12362. [Google Scholar] [CrossRef] [PubMed]
- Zhang, J.; Su, N.; Mi, X.; Pi, M.; Zhou, H.; Cheng, J.; Chai, Y. Probing magnetic symmetry in antiferromagnetic Fe4Nb2O9 single crystals by linear magnetoelectric tensor. Phys. Rev. B 2021, 103, L140401. [Google Scholar] [CrossRef]
- Apostolova, I.N.; Apostolov, A.T.; Wesselinowa, J.M. Multiferroic and phonon properties at the phase transition of S = 1/2 chain cuprates NaCu2O2. Comparison with LiCu2O2. Phase Transit. 2021, 94, 527–535. [Google Scholar] [CrossRef]








Disclaimer/Publisher’s Note: The statements, opinions and data contained in all publications are solely those of the individual author(s) and contributor(s) and not of MDPI and/or the editor(s). MDPI and/or the editor(s) disclaim responsibility for any injury to people or property resulting from any ideas, methods, instructions or products referred to in the content. |
© 2024 by the authors. Licensee MDPI, Basel, Switzerland. This article is an open access article distributed under the terms and conditions of the Creative Commons Attribution (CC BY) license (https://creativecommons.org/licenses/by/4.0/).
Share and Cite
Apostolova, I.N.; Apostolov, A.T.; Wesselinowa, J.M. Magnetic Field Effect on the Electric and Dielectric Properties of the Linear Magnetoelectric Compound Co4Nb2O9. Materials 2024, 17, 5719. https://doi.org/10.3390/ma17235719
Apostolova IN, Apostolov AT, Wesselinowa JM. Magnetic Field Effect on the Electric and Dielectric Properties of the Linear Magnetoelectric Compound Co4Nb2O9. Materials. 2024; 17(23):5719. https://doi.org/10.3390/ma17235719
Chicago/Turabian StyleApostolova, Iliana N., Angel T. Apostolov, and Julia M. Wesselinowa. 2024. "Magnetic Field Effect on the Electric and Dielectric Properties of the Linear Magnetoelectric Compound Co4Nb2O9" Materials 17, no. 23: 5719. https://doi.org/10.3390/ma17235719
APA StyleApostolova, I. N., Apostolov, A. T., & Wesselinowa, J. M. (2024). Magnetic Field Effect on the Electric and Dielectric Properties of the Linear Magnetoelectric Compound Co4Nb2O9. Materials, 17(23), 5719. https://doi.org/10.3390/ma17235719

