Flexible Highly Thermally Conductive PCM Film Prepared by Centrifugal Electrospinning for Wearable Thermal Management
Abstract
1. Introduction
2. Experimental Section
2.1. Materials
2.2. Preparation of Solutions for Centrifugal Electrospinning
2.3. Preparation of Fiber Membrane by Centrifugal Electrospinning
2.4. Gas Cross-Linking Modification of Glutaraldehyde
2.5. Characterization
3. Results and Discussion
3.1. Preparation Strategy of Composite Fiber Membranes
3.2. Morphology and Structure Analysis of Composite Fibrous Membranes
3.3. Mechanical Properties of Composite Fibrous Membranes
3.4. Water Resistance Properties of Composite Fibrous Membranes
3.5. Thermal Conductivity of Composite Fibrous Membranes
3.6. Thermal Stability and Crystalline Properties of Composite Fibrous Membranes
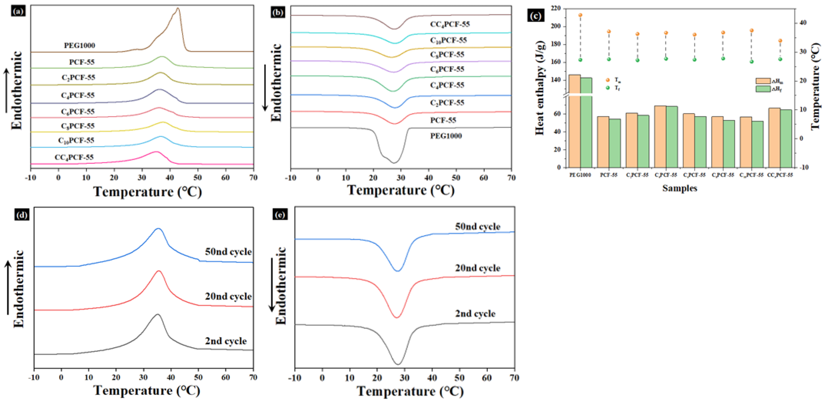
3.7. Phase Transition Temperature and Thermal Storage Capacity of Composite Fibrous Membranes
3.8. The Thermoregulatory Capacity of the Composite Fiber Membranes
4. Conclusions
Author Contributions
Funding
Data Availability Statement
Conflicts of Interest
Nomenclature
| Full names | Abbreviations |
| Phase-change materials | PCMs |
| Carbon nanotubes | CNTs |
| Polyethylene glycol | PEG |
| Polyethylene oxide | PEO |
| Glutaraldehyde | GA |
| Different PEO/PEG mass ratios | PCF-y |
| PEO/PEG/CNTs composite fibrous membranes with different ratios of CNTs added | CxPCF-y |
| The composite fibrous membranes modified by glutaraldehyde | CCxPCF-y |
| Fourier-transform infrared spectrometer | FT-IR |
| X-ray diffraction | XRD |
| UV–Vis–NIR spectrometer | UV–Vis–NIR |
| Differential scanning calorimeter | DSC |
References
- Su, X.; Yuan, Y.; Wang, Z.; Liu, W.; Lan, L.; Lian, Z. Human thermal comfort in non-uniform thermal environments: A review. Energy Built Environ. 2024, 5, 853–862. [Google Scholar] [CrossRef]
- Imghoure, O.; Belouaggadia, N.; Ezzine, M.; Lbibb, R.; Younsi, Z. Performance evaluation of phase change materials for thermal comfort in a hot climate region. Appl. Therm. Eng. 2021, 186, 116509. [Google Scholar] [CrossRef]
- Li, W.; Liang, Y.; Liu, C.; Ji, Y.; Cheng, L. Study of ultra-light modular phase change cooling clothing based on dynamic human thermal comfort modeling. Build. Environ. 2022, 222, 109390. [Google Scholar] [CrossRef]
- Hu, C.; Wang, Z.; Bo, R.; Li, C.; Meng, X. Effect of the cooling clothing integrating with phase change material on the thermal comfort of healthcare workers with personal protective equipment during the COVID-19. Case Stud. Therm. Eng. 2023, 42, 102725. [Google Scholar] [CrossRef]
- Tang, L.; Lyu, B.; Gao, D.; Jia, Z.; Ma, J. A wearable textile with superb thermal functionalities and durability towards personal thermal management. Chem. Eng. J. 2023, 465, 142829. [Google Scholar] [CrossRef]
- Zhao, Y.; Zhang, X.; Hua, W. Review of preparation technologies of organic composite phase change materials in energy storage. J. Mol. Liq. 2021, 336, 115923. [Google Scholar] [CrossRef]
- Saleel, C.A. A review on the use of coconut oil as an organic phase change material with its melting process, heat transfer, and energy storage characteristics. J. Therm. Anal. Calorim. 2022, 147, 4451–4472. [Google Scholar] [CrossRef]
- Shi, J.; Qin, M.; Aftab, W.; Zou, R. Flexible phase change materials for thermal energy storage. Energy Storage Mater. 2021, 41, 321–342. [Google Scholar] [CrossRef]
- Wu, T.; Wang, C.; Hu, Y.; Zeng, X.; Song, M. Flexible solid-solid phase change materials with high stability for thermal management. Int. J. Heat Mass Transf. 2023, 211, 124202. [Google Scholar] [CrossRef]
- Zhao, X.; Zou, D.; Wang, S. Flexible phase change materials: Preparation, properties and application. Chem. Eng. J. 2022, 431, 134231. [Google Scholar] [CrossRef]
- Hu, D.; Han, L.; Zhou, W.; Li, P.; Huang, Y.; Yang, Z.; Jia, X. Flexible phase change composite based on loading paraffin into cross-linked CNT/SBS network for thermal management and thermal storage. Chem. Eng. J. 2022, 437, 135056. [Google Scholar] [CrossRef]
- Wu, J.; Wang, M.; Dong, L.; Zhu, C.; Shi, J.; Morikawa, H. Ultraflexible, Breathable, and Form-Stable Phase Change Fibrous Membranes by Green Electrospinning for Personal Thermal Management. ACS Sustain. Chem. Eng. 2022, 10, 7873–7882. [Google Scholar] [CrossRef]
- Zhang, W.; Zhang, X.; Xu, Y.; Xu, Y.; Qiao, J.; Shi, T.; Huang, Z.; Liu, Y.; Fang, M.; Min, X.; et al. Flexible polyethylene glycol/polyvinylpyrrolidone composite phase change fibres: Preparation, characterization, and thermal conductivity enhancement. Polymer 2021, 214, 123258. [Google Scholar] [CrossRef]
- Ji, R.; Zhang, Q.; Zhou, F.; Xu, F.; Wang, X.; Huang, C.; Zhu, Y.; Zhang, H.; Sun, L.; Xia, Y.; et al. Electrospinning fabricated novel poly (ethylene glycol)/graphene oxide composite phase-change nano-fibers with good shape stability for thermal regulation. J. Energy Storage 2021, 40, 102687. [Google Scholar] [CrossRef]
- Zhang, X.; Qiao, J.; Zhao, H.; Huang, Z.; Liu, Y.; Fang, M.; Wu, X.; Min, X. Preparation and performance of novel polyvinylpyrrolidone/polyethylene glycol phase change materials composite fibers by centrifugal spinning. Chem. Phys. Lett. 2018, 691, 314–318. [Google Scholar] [CrossRef]
- Zhao, Y.; Liu, T.; Wei, Z.; Yuan, A.; Chen, Y.; Jiang, L.; Lei, J.; Fu, X. Polymeric phase change material networks based on multi-telechelic polyethylene glycol-derived multimer structures for thermal energy storage. Chem. Eng. J. 2023, 462, 142164. [Google Scholar] [CrossRef]
- Fikri, M.A.; Pandey, A.; Samykano, M.; Kadirgama, K.; George, M.; Saidur, R.; Selvaraj, J.; Rahim, N.A.; Sharma, K.; Tyagi, V. Thermal conductivity, reliability, and stability assessment of phase change material (PCM) doped with functionalized multi-wall carbon nanotubes (FMWCNTs). J. Energy Storage 2022, 50, 104676. [Google Scholar] [CrossRef]
- Muzenski, S.; Flores-Vivian, I.; Sobolev, K. Hydrophobic modification of ultra-high-performance fiber-reinforced composites with matrices enhanced by aluminum oxide nano-fibers. Constr. Build. Mater. 2020, 244, 118354. [Google Scholar] [CrossRef]
- Zhu, W.; Wang, Y.; Song, S.; Ai, H.; Qiu, F.; Li, D.; Dong, L. Environmental-friendly electrospun phase change fiber with exceptional thermal energy storage performance. Sol. Energy Mater. Sol. Cells 2021, 222, 110939. [Google Scholar] [CrossRef]
- Luo, D.; Xiang, L.; Sun, X.; Xie, L.; Zhou, D.; Qin, S. Phase-change smart lines based on paraffin-expanded graphite/polypropylene hollow fiber membrane composite phase change materials for heat storage. Energy 2020, 197, 117252. [Google Scholar] [CrossRef]
- Thanakkasaranee, S.; Seo, J. Tunable temperature-responsive permeable composite films using polyethylene glycol as a phase change material. Food Packag. Shelf Life 2021, 28, 100683. [Google Scholar] [CrossRef]
- Luo, D.; Wei, F.; Shao, H.; Xiang, L.; Yang, J.; Cui, Z.; Qin, S.; Yu, J. Shape stabilization, thermal energy storage behavior and thermal conductivity enhancement of flexible paraffin/MWCNTs/PP hollow fiber membrane composite phase change materials. J. Mater Sci. 2018, 53, 15500–15513. [Google Scholar] [CrossRef]
- Zhou, L.; Shi, F.; Liu, G.; Ye, J.; Han, P.; Zhang, G. Fabrication and characterization of in situ cross-linked electrospun Poly(vinyl alcohol)/phase change material nanofibers. Sol. Energy 2021, 213, 339–349. [Google Scholar] [CrossRef]
- Quan, Z.; Xu, Y.; Rong, H.; Yang, W.; Yang, Y.; Wei, G.; Ji, D.; Qin, X. Preparation of oil-in-water core-sheath nanofibers through emulsion electrospinning for phase change temperature regulation. Polymer 2022, 256, 125252. [Google Scholar] [CrossRef]
- Ma, Y.; Wang, H.; Zhang, L.; Sheng, X.; Chen, Y. Flexible phase change composite films with improved thermal conductivity and superb thermal reliability for electronic chip thermal management. Compos. Part A Appl. Sci. Manuf. 2022, 163, 107203. [Google Scholar] [CrossRef]
- Cao, R.; Chen, S.; Wang, Y.; Han, N.; Liu, H.; Zhang, X. Functionalized carbon nanotubes as phase change materials with enhanced thermal, electrical conductivity, light-to-thermal, and electro-to-thermal performances. Carbon 2019, 149, 263–272. [Google Scholar] [CrossRef]
- Tanwar, S.; Kaur, R. Fabrication and investigation on influence of metal oxide nanoparticles on thermal, flammability and UV characteristics of polyethylene glycol based phase change materials. J. Energy Storage 2022, 54, 105318. [Google Scholar] [CrossRef]
- Muzhanje, A.T.; Hassan, M.A.; Ookawara, S.; Hassan, H. An overview of the preparation and characteristics of phase change materials with nanomaterials. J. Energy Storage 2022, 51, 104353. [Google Scholar] [CrossRef]
- Tao, Z.; Zou, H.; Li, M.; Ren, S.; Xu, J.; Lin, J.; Yang, M.; Feng, Y.; Wang, G. Polypyrrole coated carbon nanotube aerogel composite phase change materials with enhanced thermal conductivity, high solar-/electro- thermal energy conversion and storage. J. Colloid Interface Sci. 2023, 629, 632–643. [Google Scholar] [CrossRef]
- Zhao, Y.; Min, X.; Huang, Z.; Liu, Y.G.; Wu, X.; Fang, M. Honeycomb-like structured biological porous carbon encapsulating PEG: A shape-stable phase change material with enhanced thermal conductivity for thermal energy storage. Energy Build 2018, 158, 1049–1062. [Google Scholar] [CrossRef]
- Hu, L.; An, Y.; Zhang, L.; Mai, L.; Ma, T.; An, Q.; Wang, Q. Shape-stabilized phase change material based on MOF-derived oriented carbon nanotubes for thermal management of lithium-ion battery. J. Energy Storage 2023, 72, 108520. [Google Scholar] [CrossRef]
- He, Y.; Li, H.; Luo, F.; Jin, Y.; Huang, B.; Qian, Q. Bio-based flexible phase change composite film with high thermal conductivity for thermal energy storage. Compos. Part A Appl. Sci. Manuf. 2021, 151, 106638. [Google Scholar] [CrossRef]
- Rezaei, B.; Askari, M.; Shoushtari, A.M.; Malek, R.A.M. The effect of diameter on the thermal properties of the modeled shape-stabilized phase change nanofibers (PCNs). J. Therm. Anal. Calorim. 2014, 118, 1619–1629. [Google Scholar] [CrossRef]
- Dang, T.T.; Nguyen, T.T.T.; Chung, O.H.; Park, J.S. Fabrication of form-stable poly(ethylene glycol)-loaded poly(vinylidene fluoride) nanofibers via single and coaxial electrospinning. Macromol. Res. 2015, 23, 819–829. [Google Scholar] [CrossRef]
- Nguyen, T.T.T.; Park, J.S. Fabrication of electrospun nonwoven mats of polyvinylidene fluoride/polyethylene glycol/fumed silica for use as energy storage materials. J. Appl. Polym. Sci. 2011, 121, 3596–3603. [Google Scholar] [CrossRef]
- Abdalkarim, S.Y.H.; Yu, H.; Wang, C.; Chen, Y.; Zou, Z.; Han, L.; Yao, J.; Tam, K.C. Thermo and light-responsive phase change nanofibers with high energy storage efficiency for energy storage and thermally regulated on-off drug release devices. Chem. Eng. J. 2019, 375, 121979. [Google Scholar] [CrossRef]
- Van Do, C.; Nguyen, T.T.T.; Park, J.S. Fabrication of polyethylene glycol/polyvinylidene fluoride core/shell nanofibers via melt electrospinning and their characteristics. Sol. Energy Mater. Sol. Cells 2012, 104, 131–139. [Google Scholar] [CrossRef]
- Feng, W.; Zhang, Y.-S.; Shao, Y.-W.; Huang, T.; Zhang, N.; Yang, J.-H.; Qi, X.-D.; Wang, Y. Coaxial electrospun membranes with thermal energy storage and shape memory functions for simultaneous thermal/moisture management in personal cooling textiles. Eur. Polym. J. 2021, 145, 110245. [Google Scholar] [CrossRef]
- Wang, J.; Xu, J.; He, Y. Novel smart textile with ultraviolet shielding and thermo-regulation fabricated via electrospinning. J. Energy Storage 2021, 42, 103094. [Google Scholar] [CrossRef]
- Zhang, X.; Wu, B.; Chen, G.; Xu, Y.; Shi, T.; Huang, Z.; Liu, Y.; Fang, M.; Wu, X.; Min, X. Preparation and Characterization of Flexible Smart Glycol/Polyvinylpyrrolidone/Nano-Al2O3 Phase Change Fibers. Energy Fuels 2021, 35, 877–882. [Google Scholar] [CrossRef]






| Manufacturing Method | The Advantages and Disadvantages |
|---|---|
| Polymer blends | Advantages: high energy storage density, good mechanical strength, easy to prepare Disadvantages: low thermal conductivity, loss of flexibility at temperatures below the phase transition temperature |
| Chemical cross-linking | Advantages: high energy storage density, excellent mechanical tensile strength, good chemical stability, favorable shape stability Disadvantages: low thermal conductivity, reduced thermal performance |
| Aerogel | Advantages: high thermal conductivity, multi-response function, great stability and durability Disadvantages: high cost and energy consumption, relatively poor mechanical strength |
| Carbon-based porous materials | Advantages: shape-memory properties, well-controlled customisability Disadvantages: easy leakage, low thermal conductivity |
| Electrospinning | Advantages: controllable dimensions, suitable for wearability, enables production of nanoscale fibres Disadvantages: poor energy storage capacity, low thermal conductivity, low production efficiency |
| Centrifugal spinning | Advantages: controllable dimensions, suitable for wearability, high production efficiency Disadvantages: poor energy storage capacity, low thermal conductivity, spinning instability |
| Centrifugal electrospinning | Combining the advantages of centrifugal spinning and electrostatic spinning |
| PCFs | Solvent | Tm (°C) | ΔHm (J/g) | Reference |
|---|---|---|---|---|
| PEG1500/CA | DMAc/acetone | 44.2 | 39.5 | [33] |
| PEG600/PEG1000/PVDF | DMAc/acetone | 29.3 | 48.9 | [34] |
| PEG1000/PVDF/SiO2 | DMAc/acetone | 38.2 | 59.2 | [35] |
| PEG10000/PHBV | DMF | 57.6 | 62.8 | [36] |
| PEG4000/PVDF | DMF | 62.8 | 68 | [37] |
| PEG6000/PU | DMF/THF | 53.9 | 60.4 | [38] |
| PA6/PEG1000/TiO2 | Formic acid | 36.6 | 51.1 | [39] |
| PVP/PEG/Al2O3 | Ethanol | 47.4 | 54.3 | [40] |
| PEG1000/PVA/CNTs | Water | 38.9 | 60.1 | [12] |
| C4PCF-55 | Water | 36.24 | 69.4 | This work |
| CC4PCF-55 | Water | 33.9 | 66.7 | This work |
Disclaimer/Publisher’s Note: The statements, opinions and data contained in all publications are solely those of the individual author(s) and contributor(s) and not of MDPI and/or the editor(s). MDPI and/or the editor(s) disclaim responsibility for any injury to people or property resulting from any ideas, methods, instructions or products referred to in the content. |
© 2024 by the authors. Licensee MDPI, Basel, Switzerland. This article is an open access article distributed under the terms and conditions of the Creative Commons Attribution (CC BY) license (https://creativecommons.org/licenses/by/4.0/).
Share and Cite
Qiao, J.; He, C.; Guo, Z.; Lin, F.; Liu, M.; Liu, X.; Liu, Y.; Huang, Z.; Mi, R.; Min, X. Flexible Highly Thermally Conductive PCM Film Prepared by Centrifugal Electrospinning for Wearable Thermal Management. Materials 2024, 17, 4963. https://doi.org/10.3390/ma17204963
Qiao J, He C, Guo Z, Lin F, Liu M, Liu X, Liu Y, Huang Z, Mi R, Min X. Flexible Highly Thermally Conductive PCM Film Prepared by Centrifugal Electrospinning for Wearable Thermal Management. Materials. 2024; 17(20):4963. https://doi.org/10.3390/ma17204963
Chicago/Turabian StyleQiao, Jiaxin, Chonglin He, Zijiao Guo, Fankai Lin, Mingyong Liu, Xianjie Liu, Yifei Liu, Zhaohui Huang, Ruiyu Mi, and Xin Min. 2024. "Flexible Highly Thermally Conductive PCM Film Prepared by Centrifugal Electrospinning for Wearable Thermal Management" Materials 17, no. 20: 4963. https://doi.org/10.3390/ma17204963
APA StyleQiao, J., He, C., Guo, Z., Lin, F., Liu, M., Liu, X., Liu, Y., Huang, Z., Mi, R., & Min, X. (2024). Flexible Highly Thermally Conductive PCM Film Prepared by Centrifugal Electrospinning for Wearable Thermal Management. Materials, 17(20), 4963. https://doi.org/10.3390/ma17204963

