Specific Heat Capacity of Solar Salt-Based Nanofluids: Molecular Dynamics Simulation and Experiment
Abstract
1. Introduction
2. Experiment Setup
2.1. Nanofluid Synthesis
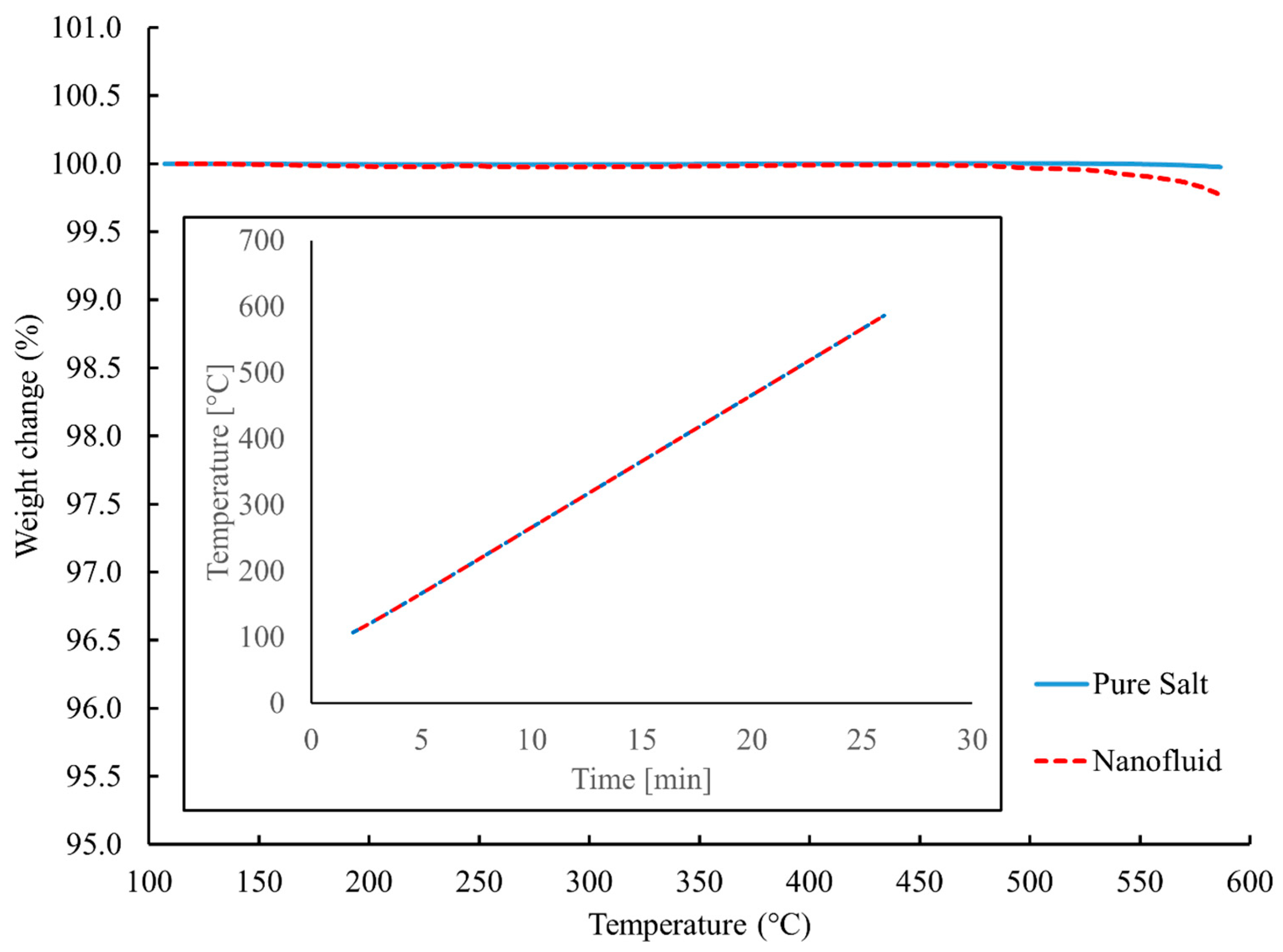
2.2. Specific Heat Capacity Determination
3. Setup of the Simulation
4. Results and Discussion
4.1. Determination of the Specific Heat Capacity by Experiments
4.2. Analysis of the Mechanism by Molecular Dynamics Simulation
5. Conclusions
Author Contributions
Funding
Institutional Review Board Statement
Informed Consent Statement
Data Availability Statement
Conflicts of Interest
References
- Herrmann, U.; Kelly, B.; Price, H. Two-tank molten salt storage for parabolic trough solar power plants. Energy 2004, 29, 883–893. [Google Scholar] [CrossRef]
- Wu, Y.T.; Li, Y.; Lu, Y.W.; Wang, H.F.; Ma, C.F. Novel low melting point binary nitrates for thermal energy storage applications. Sol. Energy Mater. Sol. Cells 2017, 164, 114–121. [Google Scholar] [CrossRef]
- Muñoz-Sánchez, B.; Nieto-Maestre, J.; Iparraguirre-Torres, I.; García-Romero, A.; Sala-Lizarraga, J.M. Molten salt-based nanofluids as efficient heat transfer and storage materials at high temperatures. Overv. Lit. Renew. Sustain. Energy Rev. 2018, 82, 3924–3945. [Google Scholar] [CrossRef]
- Xie, H.; Wang, J.; Xi, T.; Liu, Y.; Ai, F.; Wu, Q. Thermal conductivity enhancement of suspensions containing nanosized alumina particles. J. Appl. Phys. 2002, 91, 4568. [Google Scholar] [CrossRef]
- Shin, D.; Banerjee, D. Enhancement of specific heat capacity of high-temperature silica-nanofluids synthesized in alkali chloride salt eutectics for solar thermal-energy storage applications. Int. J. Heat Mass Transf. 2011, 54, 1064–1070. [Google Scholar] [CrossRef]
- Chieruzzi, M.; Cerritelli, G.F.; Miliozzi, A.; Kenny, J.M. Effect of nanoparticles on heat capacity of nanofluids based on molten salts as PCM for thermal energy storage. Nanoscale Res. Lett. 2013, 8, 448. [Google Scholar] [CrossRef]
- Rodriguez-Devecchis, V.M.; Ortega, L.C.; Scott, C.E.; Pereira-Almao, P. Use of Nanoparticle Tracking Analysis for Particle Size Determination of Dispersed Catalyst in Bitumen and Heavy Oil Fractions. Ind. Eng. Chem. Res. 2015, 54, 9877–9886. [Google Scholar] [CrossRef]
- Mondragón, R.; Juliá, J.E.; Cabedo, L.; Navarrete, N. On the relationship between the specific heat enhancement of salt-based nanofluids and the ionic exchange capacity of nanoparticles. Sci. Rep. 2018, 8, 7532. [Google Scholar] [CrossRef]
- Shin, D.; Tiznobaik, H.; Banerjee, D. Specific heat mechanism of molten salt nanofluids. Appl. Phys. Lett. 2014, 104, 121914. [Google Scholar] [CrossRef]
- Rizvi, S.M.M.; Shin, D. Mechanism of heat capacity enhancement in molten salt nanofluids. Int. J. Heat Mass Transf. 2020, 161, 120260. [Google Scholar] [CrossRef]
- Abir, F.M.; Shin, D. Molecular dynamics study on the impact of the development of dendritic nanostructures on the specific heat capacity of molten salt nanofluids. J. Energy Storage 2023, 71, 107850. [Google Scholar] [CrossRef]
- Andreu-Cabedo, P.; Mondragon, R.; Hernandez, L.; Martinez-Cuenca, R.; Cabedo, L.; Julia, J.E. Increment of specific heat capacity of solar salt with SiO2 nanoparticles. Nanoscale Res. Lett. 2014, 9, 582. [Google Scholar] [CrossRef]
- Chieruzzi, M.; Cerritelli, G.F.; Miliozzi, A.; Kenny, J.M.; Torre, L. Heat capacity of nanofluids for solar energy storage produced by dispersing oxide nanoparticles in nitrate salt mixture directly at high temperature. Sol. Energy Mater. Sol. Cells 2017, 167, 60–69. [Google Scholar] [CrossRef]
- Plimpton, S. Computational limits of classical molecular dynamics simulations. Comput. Mater Sci. 1995, 4, 361–364. [Google Scholar] [CrossRef]
- Rajabpour, A.; Akizi, F.Y.; Heyhat, M.M.; Gordiz, K. Molecular dynamics simulation of the specific heat capacity of water-Cu nanofluids. Int. Nano Lett. 2013, 3, 58. [Google Scholar] [CrossRef]
- Anagnostopoulos, A.; Alexiadis, A.; Ding, Y. Molecular dynamics simulation of solar salt (NaNO3-KNO3) mixtures. Sol. Energy Mater. Sol. Cells 2019, 200, 109897. [Google Scholar] [CrossRef]
- Rapaport, D.C.; Blumberg, R.L.; McKay, S.R.; Christian, W. The Art of Molecular Dynamics Simulation. Comput. Phys. 1996, 10, 456. [Google Scholar] [CrossRef]
- Yuan, G.; Wei, Z.; Li, G. A modified Polak-Ribière-Polyak conjugate gradient algorithm for nonsmooth convex programs. J. Comput. Appl. Math 2014, 255, 86–96. [Google Scholar] [CrossRef]
- Li, L.; Zhang, Y.; Ma, H.; Yang, M. An investigation of molecular layering at the liquid-solid interface in nanofluids by molecular dynamics simulation. Phys. Lett. Sect. A Gen. At. Solid State Phys. 2008, 372, 4541–4544. [Google Scholar] [CrossRef]
- Hu, Y.; He, Y.; Zhang, Z.; Wen, D. Effect of Al2O3 nanoparticle dispersion on the specific heat capacity of a eutectic binary nitrate salt for solar power applications. Energy Convers. Manag. 2017, 142, 366–373. [Google Scholar] [CrossRef]
- Hoover, W.G. Constant-pressure equations of motion. Phys. Rev. A 1986, 34, 2499–2500. [Google Scholar] [CrossRef] [PubMed]
- Hoover, W.G. Canonical dynamics: Equilibrium phase-space distributions. Phys. Rev. A 1985, 31, 1695. [Google Scholar] [CrossRef] [PubMed]
- Stukowski, A. Visualization and analysis of atomistic simulation data with OVITO-the Open Visualization Tool. Model Simul. Mat. Sci. Eng. 2010, 18, 015012. [Google Scholar] [CrossRef]
- Romero, M.; González-Aguilar, J. Next generation of liquid metal and other high-performance receiver designs for concentrating solar thermal (CST) central tower systems. In Advances in Concentrating Solar Thermal Research and Technology; Elsevier Inc.: Amsterdam, The Netherlands, 2017; pp. 129–154. [Google Scholar] [CrossRef]
- Lee, D.; Jo, B. Thermal energy storage characteristics of binary molten salt nanofluids: Specific heat and latent heat. Int. J. Energy Res. 2021, 45, 3231–3241. [Google Scholar] [CrossRef]
- Jo, B.; Banerjee, D. Thermal properties measurement of binary carbonate salt mixtures for concentrating solar power plants. J. Renew. Sustain. Energy 2015, 7, 033121. [Google Scholar] [CrossRef]
- Araki, N.; Matsuura, M.; Makino, A.; Hirata, T.; Kato, Y. Measurement of Thermophysical Properties of Molten Salts: Mixtures of Alkaline Carbonate Salts 1. Int. J. Thermophys. 1988, 9, 1071–1080. [Google Scholar] [CrossRef]







| Atom Symbol | q | ε (kcal/mol) | σ (Å) |
|---|---|---|---|
| N (nanostructure) | +0.50 | 0.167 | 3.700557 |
| Na (nanostructure) | +0.00 | 1.607 | 2.005129 |
| O (nanostructure) | −0.50 | 0.228 | 3.02302 |
| O (nanoparticle) | −0.50 | 0.150 | 3.11814 |
| Si (nanoparticle) | +0.00 | 0.300 | 3.8270 |
| K (salt) | +1.00 | 5.451 | 3.379229 |
| N (salt) | +1.10 | 0.167 | 3.700557 |
| Na (salt) | +1.00 | 1.607 | 2.005129 |
| O (salt) | −0.70 | 0.228 | 3.02302 |
| Specific Heat Capacity (kJ/kg °C) | ||||||||
|---|---|---|---|---|---|---|---|---|
| Solar Salt | Solar Salt + 1.0 wt% SiO2 | |||||||
| Sample No. | Cycle 1 | Cycle 2 | Cycle 3 | Average | Cycle 1 | Cycle 2 | Cycle 3 | Average |
| 1 | 1.478 | 1.471 | 1.474 | 1.474 | 1.706 | 1.698 | 1.684 | 1.696 |
| 2 | 1.482 | 1.466 | 1.453 | 1.467 | 1.714 | 1.697 | 1.686 | 1.699 |
| 3 | 1.486 | 1.475 | 1.483 | 1.482 | 1.725 | 1.704 | 1.691 | 1.707 |
| Average | - | - | - | 1.474 | - | - | - | 1.700 |
| St. deviation | - | - | - | 0.007 | - | - | - | 0.005 |
| Enhancement (%) | - | - | - | - | - | - | - | 15.65 |
| Simulation System | Density (g/cm3) at 573 K or 300 °C | Value in the Literature (g/cm3) | SHC (kJ/kg °C) at 573 K or 300 °C | Value in the Literature (kJ/kg °C) |
|---|---|---|---|---|
| Pure solar salt | 1.87 | 1.804 [24] | 1.5115 | 1.48 [12] |
| System | NS (wt%) | Specific Heat Capacity (kJ/kg °C) | Enhancement (%) |
|---|---|---|---|
| Pure solar salt | 1.5115 | ||
| Solar salt with SiO2 + 1NS | 1.96 | 1.5255 | 0.93 |
| Solar salt with SiO2 + 2NS | 3.92 | 1.5263 | 0.98 |
| Solar salt with SiO2 + 3NS | 5.88 | 1.5416 | 1.99 |
| Solar salt with SiO2 + 4NS | 7.84 | 1.5626 | 3.38 |
| Solar salt with SiO2 + 5NS | 9.80 | 1.5753 | 4.22 |
| Solar salt with SiO2 + 6NS | 11.76 | 1.7334 | 14.68 |
| Solar salt with SiO2 + 7NS | 13.71 | 1.9026 | 25.87 |
| Solar salt with SiO2 + 8NS | 15.67 | 1.7999 | 19.08 |
| Solar salt with SiO2 + 9NS | 17.63 | 1.7991 | 19.03 |
| Solar salt with SiO2 + 10NS | 19.59 | 1.7998 | 19.07 |
| Solar salt with SiO2 + 11NS | 21.55 | 1.7556 | 16.15 |
| Solar salt with SiO2 + 12NS | 23.51 | 1.7599 | 16.43 |
| Solar salt with SiO2 + 13NS | 25.47 | 1.7577 | 16.29 |
| Solar salt with SiO2 + 14NS | 27.43 | 1.7171 | 13.60 |
| Solar salt with SiO2 + 15NS | 29.39 | 1.7108 | 13.19 |
| Solar salt with SiO2 + 16NS | 31.35 | 1.6769 | 10.94 |
| Solar salt with SiO2 + 17NS | 33.31 | 1.6159 | 6.91 |
| Solar salt with SiO2 + 18NS | 35.27 | 1.5896 | 5.17 |
| Solar salt with SiO2 + 19NS | 37.23 | 1.5889 | 5.12 |
| Solar salt with SiO2 + 20NS | 39.19 | 1.5805 | 4.57 |
Disclaimer/Publisher’s Note: The statements, opinions and data contained in all publications are solely those of the individual author(s) and contributor(s) and not of MDPI and/or the editor(s). MDPI and/or the editor(s) disclaim responsibility for any injury to people or property resulting from any ideas, methods, instructions or products referred to in the content. |
© 2024 by the authors. Licensee MDPI, Basel, Switzerland. This article is an open access article distributed under the terms and conditions of the Creative Commons Attribution (CC BY) license (https://creativecommons.org/licenses/by/4.0/).
Share and Cite
Abir, F.M.; Shin, D. Specific Heat Capacity of Solar Salt-Based Nanofluids: Molecular Dynamics Simulation and Experiment. Materials 2024, 17, 506. https://doi.org/10.3390/ma17020506
Abir FM, Shin D. Specific Heat Capacity of Solar Salt-Based Nanofluids: Molecular Dynamics Simulation and Experiment. Materials. 2024; 17(2):506. https://doi.org/10.3390/ma17020506
Chicago/Turabian StyleAbir, Fahim Mahtab, and Donghyun Shin. 2024. "Specific Heat Capacity of Solar Salt-Based Nanofluids: Molecular Dynamics Simulation and Experiment" Materials 17, no. 2: 506. https://doi.org/10.3390/ma17020506
APA StyleAbir, F. M., & Shin, D. (2024). Specific Heat Capacity of Solar Salt-Based Nanofluids: Molecular Dynamics Simulation and Experiment. Materials, 17(2), 506. https://doi.org/10.3390/ma17020506

