Hydration and Mechanical Properties of Cement Kiln Dust-Blended Cement Composite
Abstract
1. Introduction
2. Materials and Methods
2.1. Materials
2.2. Mixture Proportions
2.3. Test Methods
3. Discussion
3.1. Workability and Setting Time
3.2. Hydration Properties
3.3. Compressive Strength
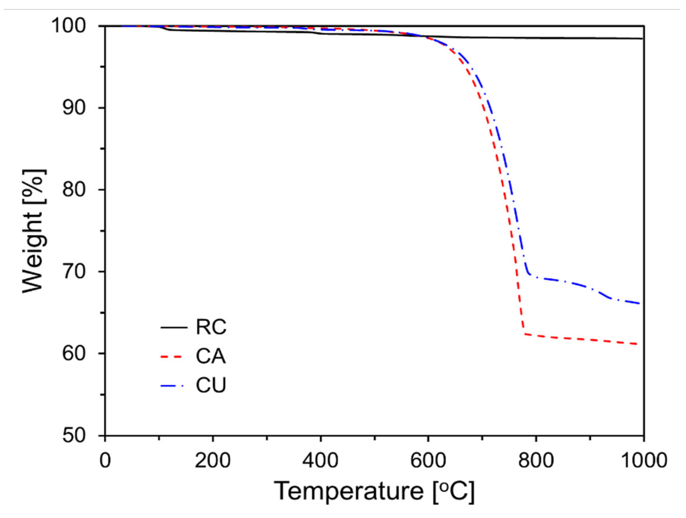
3.4. TG Analysis
4. Conclusions
- The CKD accelerated early cement hydration, leading to shorter setting times. The initial setting time of CA35 was reduced by 13.6% compared with that of Plain. Due to the influence of the lime it contains, CU resulted in an even shorter setting time than that of CA.
- As the replacement ratios of CA and CU increased, the peak magnitude of heat flow decreased. Additionally, the cumulative heat release decreased proportionally with the CKD content. This was attributed to the replacement of cement with CKD, which reduced the amounts of C3S, C3A, and C2S, which are the phases responsible for heat generation during hydration.
- The specimens incorporating up to 10% CA exhibited higher compressive strengths than the plain mixture. For specimens with 5% CA, the compressive strength was similar to that of Plain after 28 d. However, incorporating more than 10% CA resulted in a lower 28-day compressive strength than that of Plain, with a more significant reduction as the replacement ratio increased.
- CU showed a greater improvement in early compressive strength than CA. Specimens incorporating up to 20% CU exhibited a higher 7-day compressive strength than Plain. This enhancement is likely due to the higher free CaO and SO3 contents in the CU, which accelerated cement hydration. However, incorporating more than 25% CU led to a decrease in the compressive strength compared to Plain, with a more pronounced reduction in strength beyond 28 d.
- When comparing the slope of the compressive strength gain after 7 d, both CA and CU had smaller slopes than Plain, indicating that the CKD used in this study, unlike traditional fly ash, did not exhibit pozzolanic reactivity. This finding is consistent with the thermogravimetric analysis results, which showed that the Ca(OH)2 content of the specimens incorporating CKD did not decrease over time, further confirming the lack of pozzolanic activity.
- CKD has a chemical composition similar to that of limestone powder, and its impact on cement performance appears to be comparable. Moreover, given the slight variation in the effects of CKD, depending on its chemical composition, careful consideration of the specific characteristics of CKD suggests its high potential for use as an SCM.
- In order to utilize CKD as a SCM in concrete, it is necessary to quantitatively investigate the effects of CKD on the pore structure of concrete. Furthermore, extensive future research is required to assess its impact on durability, including carbonation resistance and chloride ion diffusion resistance.
Author Contributions
Funding
Institutional Review Board Statement
Informed Consent Statement
Data Availability Statement
Conflicts of Interest
References
- Scrivener, K.L.; Kirkpatrick, R.J. Innovation in use and research on cementitious materials. Cem. Concr. Res. 2008, 38, 128–136. [Google Scholar] [CrossRef]
- Malhotra, V.; Mehta, P. High-Performance, High-Volume Fly Ash Concrete: Materials, Mixture, Proportioning, Properties, Construction Practice, and Case Histories; Supplementary Cementing Materials for Sustainable Development Inc.: Ottawa, ON, Canada, 2005. [Google Scholar]
- Shubbar, A.A.; Jafer, H.; Abdulredha, M.; Al-Khafaji, Z.S.; Nasr, M.S.; Al Masoodi, Z.; Sadique, M. Properties of cement mortar incorporated high volume fraction of GGBFS and CKD from 1 day to 550 days. J. Build. Eng. 2020, 30, 101327. [Google Scholar] [CrossRef]
- Ghosh, A.; Subbarao, C. Strength characteristics of class F fly ash modified with lime and gypsum. J. Geotech. Geoenviron. Eng. 2007, 133, 757–766. [Google Scholar] [CrossRef]
- Shubbar, A.; Jafer, H.M.; Dulaimi, A.; Atherton, W.; Al-Rifaie, A. The development of a low carbon cementitious material produced from cement, ground granulated blast furnace slag and high calcium fly ash. Archit. Eng. Des. Manag. 2017, 11, 905–908. [Google Scholar]
- Xao, R.; Prentice, D.; Collin, M.; Balonis, M.; La Plante, E.; Torabzadegan, M.; Gadt, T.; Sant, G. Calcium nitrate effectively mitigates alkali–silica reaction by surface passivation of reactive aggregates. J. Am. Ceram. Soc. 2024, 107, 7513–7527. [Google Scholar] [CrossRef]
- Maslehuddin, M.; al-Amoudi, O.S.B.; Shameem, M.; Rehman, M.K.; Ibrahim, M. Usage of cement kiln dust in cement products—Research review and preliminary investigations. Constr. Build. Mater. 2008, 22, 2369–2375. [Google Scholar] [CrossRef]
- Aprianti, E.; Shafigh, P.; Bahri, S.; Farahani, J.N. Supplementary cementitious materials origin from agricultural wastes—A review. Constr. Build. Mater. 2015, 74, 176–187. [Google Scholar] [CrossRef]
- Aprianti, E. A huge number of artificial waste material can be supplementary cementitious material (SCM) for concrete production—A review part II. J. Clean. Prod. 2017, 142, 4178–4194. [Google Scholar] [CrossRef]
- Siddique, R. Utilization of cement kiln dust (CKD) in cement mortar and concrete—An overview. Resour. Conserv. Recycl. 2006, 48, 315–338. [Google Scholar] [CrossRef]
- Al-Harthy, A.S.; Taha, R.; Al-Maamary, F. Effect of cement kiln dust (CKD) on mortar and concrete mixtures. Constr. Build. Mater. 2003, 17, 353–360. [Google Scholar] [CrossRef]
- Ramakrishnan, V. Evaluation of Kiln Dust in Concrete. ACI Spec. Publ. 1986, 91, 821–840. [Google Scholar]
- Bhatty, M.S.Y. Use of cement kiln dust in blended cements. World Cem. 1984, 15, 126–128. [Google Scholar]
- Bhatty, M.S.Y. Use of cement kiln dust in blended cements—Alkali-aggregate reaction expansion. World Cem. 1985, 16, 386–391. [Google Scholar]
- Bhatty, M.S.Y. Properties of blended cements made with Portland cement, cement kiln dust, fly ash, and slag. In Proceedings of the 8th International Congress on the Chemistry of Cement, Rio de Janeiro, Brasil, 22–27 September 1986; Volume 1, pp. 118–127. [Google Scholar]
- El-Aleem, S.A.; Abd-El-Aziz, M.A.; Heikal, M.; El-Didamony, H. Effect of cement kiln dust substitution on chemical and physical properties and compressive strength of Portland and slag cements. Arab. J. Sci. Eng. 2005, 30, 263–273. [Google Scholar]
- Ramakrishnan, V.; Balaguru, P. Durability of Concrete Containing Cement Kiln Dust. ACI Spec. Publ. 1987, 100, 305–322. [Google Scholar]
- Konsta-Gdoutos, M.S.; Wang, K.; Babaian, P.M.; Shah, S.P. Effect of cement kiln dust (CKD) on the corrosion of reinforcement in concrete. In Construction and Building Materials, Proceedings of the Third International Conference on Concrete under Service Conditions of Environment and Loading (CONSEC’ 01), Vancouver, BC, Canada, 18–20 June 2001; Banthia, N., Saloi, K., Gjorv, O.E., Eds.; Aedificatio Publishers: Freiburg, Germany, 2001; pp. 277–284. [Google Scholar]
- Javellana, M.P.; Jawed, I. Extraction of free lime in Portland cement and clinker by ethylene glycol. Cem. Concr. Res. 1982, 12, 399–403. [Google Scholar] [CrossRef]
- De Oliveira, A.M.; Oliveira, A.P.; Vieira, J.D.; Junior, A.N.; Cascudo, O. Study of the development of hydration of ternary cement pastes using X-ray computed microtomography, XRD-Rietveld method, TG/DTG, DSC, calorimetry and FTIR techniques. J. Build. Eng. 2023, 64, 105616. [Google Scholar] [CrossRef]
- Konsta-Gdoutos, M.S.; Shah, S.P. Hydration and properties of novel blended cements based on cement kiln dust and blast furnace slag. Cem. Concr. Res. 2003, 33, 1269–1276. [Google Scholar] [CrossRef]
- Xie, Y.; Qian, C.; Xu, Y.; Wei, M.; Du, W. Hydration heat and microstructure of SCM-blended cement under semi-adiabatic conditions: Effect of initial temperatures. Constr. Build. Mater. 2022, 356, 129329. [Google Scholar] [CrossRef]
- Hu, X.; Shi, C.; Shi, Z.; Tong, B.; Wang, D. Early age shrinkage and heat of hydration of cement-fly ash-slag ternary blends. Constr. Build. Mater. 2017, 153, 857–865. [Google Scholar] [CrossRef]
- Jansen, D.; Goetz-Neunhoeffer, F.; Lothenbach, B.; Neubauer, J. The early hydration of Ordinary Portland Cement (OPC): An approach comparing measured heat flow with calculated heat flow from QXRD. Cem. Concr. Res. 2012, 42, 134–138. [Google Scholar] [CrossRef]
- Shi, H.; Zhao, Y.; Li, W. Effects of temperature on the hydration characteristics of free lime. Cem. Concr. Res. 2002, 32, 789–793. [Google Scholar] [CrossRef]
- Lv, L.; Luo, S.; Šavija, B.; Zhang, H.; Li, L.; Ueda, T.; Xing, F. Effect of particle size distribution on the pre-hydration, hydration kinetics, and mechanical properties of calcium sulfoaluminate cement. Constr. Build. Mater. 2023, 398, 132497. [Google Scholar] [CrossRef]
- Celik, I.B. The effects of particle size distribution and surface area upon cement strength development. Powder Technol. 2009, 188, 272–276. [Google Scholar] [CrossRef]
- Alnahhal, W.; Taha, R.; Al-Nasseri, H.; Nishad, S. Effect of using cement kiln dust as a nano-material on the strength of cement mortars. KSCE J. Civ. Eng. 2018, 22, 1361–1368. [Google Scholar] [CrossRef]
- Shoaib, M.M.; Balaha, M.M.; Abdel-Rahman, A.G. Influence of cement kiln dust substitution on the mechanical properties of concrete. Cem. Concr. Res. 2000, 30, 371–377. [Google Scholar] [CrossRef]
- Li, Y.; Ma, Y.; Shen, X.; Meng, Q.; Li, Y. Clinkering and hydration of alite-belite-ye’elimite cement with increasing ye’elimite percentage. Constr. Build. Mater. 2024, 426, 136224. [Google Scholar] [CrossRef]
- Nawaz, A.; Julnipitawong, P.; Krammart, P.; Tangtermsirikul, S. Effect and limitation of free lime content in cement-fly ash mixtures. Constr. Build. Mater. 2016, 102, 515–530. [Google Scholar] [CrossRef]
- Mtarfi, N.H.; Rais, Z.; Taleb, M. Effect of clinker free lime and cement fineness on the cement physicochemical properties. J. Mater. Environ. Sci. 2017, 8, 2541–2548. [Google Scholar]














| Chemical Composition | RC (%) | CA (%) | CU (%) |
|---|---|---|---|
| SiO2 | 19.20 | 11.46 | 20.78 |
| Al2O3 | 4.31 | 4.69 | 5.82 |
| Fe2O3 | 4.16 | 3.24 | 0.35 |
| CaO | 64.31 | 43.60 | 40.21 |
| Free CaO | - | - | 2.46 |
| MgO | 1.76 | 1.77 | 0.82 |
| SO3 | 3.83 | 1.25 | 3.10 |
| K2O | 1.38 | 2.82 | 0.55 |
| Na2O | - | - | 0.21 |
| LOI | 0.38 | 37.06 | 29.97 |
| Specimens | Water (g) | RC (g) | CA (g) | CU (g) | Sand (g) |
|---|---|---|---|---|---|
| Plain | 50 | 100 | - | - | 300 |
| CA05 | 50 | 95 | 5 | - | 300 |
| CA10 | 50 | 90 | 10 | - | 300 |
| CA15 | 50 | 85 | 15 | - | 300 |
| CA20 | 50 | 80 | 20 | - | 300 |
| CA25 | 50 | 75 | 25 | - | 300 |
| CA30 | 50 | 70 | 30 | - | 300 |
| CA35 | 50 | 65 | 35 | - | 300 |
| CU05 | 50 | 95 | - | 5 | 300 |
| CU10 | 50 | 90 | - | 10 | 300 |
| CU15 | 50 | 85 | - | 15 | 300 |
| CU20 | 50 | 80 | - | 20 | 300 |
| CU25 | 50 | 75 | - | 25 | 300 |
| CU30 | 50 | 70 | - | 30 | 300 |
| CU35 | 50 | 65 | - | 35 | 300 |
| Specimens | (%) | (%) | ||||
|---|---|---|---|---|---|---|
| 7 d | 28 d | 91 d | 7 d | 28 d | 91 d | |
| Plain | 5.99 | 6.76 | 8.42 | 3.13 | 3.95 | 4.39 |
| CA10 | 4.83 | 6.97 | 7.37 | 2.94 | 3.41 | 3.87 |
| CA20 | 4.36 | 5.99 | 6.51 | 2.43 | 2.92 | 3.44 |
| CA30 | 3.88 | 5.12 | 5.82 | 2.29 | 2.57 | 3.00 |
| CU10 | 4.69 | 6.37 | 7.71 | 2.79 | 3.50 | 4.09 |
| CU20 | 4.27 | 5.39 | 6.37 | 2.55 | 3.05 | 3.34 |
| CU30 | 4.20 | 5.05 | 5.74 | 2.27 | 2.71 | 3.00 |
Disclaimer/Publisher’s Note: The statements, opinions and data contained in all publications are solely those of the individual author(s) and contributor(s) and not of MDPI and/or the editor(s). MDPI and/or the editor(s) disclaim responsibility for any injury to people or property resulting from any ideas, methods, instructions or products referred to in the content. |
© 2024 by the authors. Licensee MDPI, Basel, Switzerland. This article is an open access article distributed under the terms and conditions of the Creative Commons Attribution (CC BY) license (https://creativecommons.org/licenses/by/4.0/).
Share and Cite
Lee, W.-S.; Choi, Y.-C. Hydration and Mechanical Properties of Cement Kiln Dust-Blended Cement Composite. Materials 2024, 17, 4841. https://doi.org/10.3390/ma17194841
Lee W-S, Choi Y-C. Hydration and Mechanical Properties of Cement Kiln Dust-Blended Cement Composite. Materials. 2024; 17(19):4841. https://doi.org/10.3390/ma17194841
Chicago/Turabian StyleLee, Woo-Seok, and Young-Cheol Choi. 2024. "Hydration and Mechanical Properties of Cement Kiln Dust-Blended Cement Composite" Materials 17, no. 19: 4841. https://doi.org/10.3390/ma17194841
APA StyleLee, W.-S., & Choi, Y.-C. (2024). Hydration and Mechanical Properties of Cement Kiln Dust-Blended Cement Composite. Materials, 17(19), 4841. https://doi.org/10.3390/ma17194841

