Effects of Curing Regimes on Calcium Oxide–Belite–Calcium Sulfoaluminate-Based Aerated Concrete
Abstract
1. Introduction
2. Materials and Methods
2.1. Raw Materials
2.2. Sample Preparation
2.2.1. Mixture Proportion and Agitation Process
2.2.2. Foaming and Pre-Curing
2.2.3. Curing Method
2.2.4. Sampling Position
2.3. Testing and Analysis Method
2.3.1. Bulk Density and Compressive Strength
2.3.2. Carbonation Degree Tests
2.3.3. pH Value Tests
2.3.4. Characterization
3. Results and Discussion
3.1. Hydration Mechanism of CBSAC
3.2. Physical and Mechanical Properties
3.3. Carbonation Degree
3.4. pH Value
3.5. Microstructure
3.5.1. XRD
3.5.2. SEM-EDS
3.5.3. 29Si Nuclear Magnetic Resonance Spectroscopy
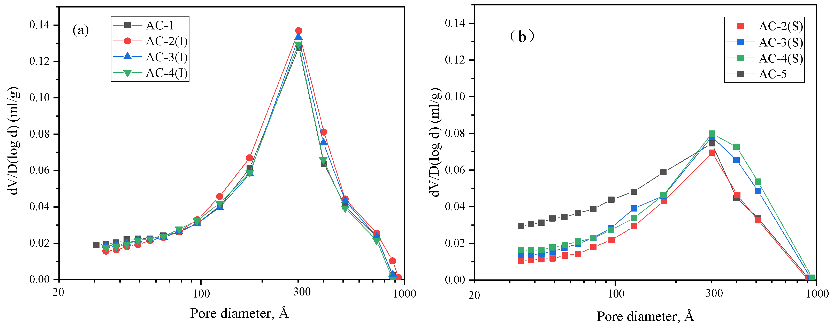
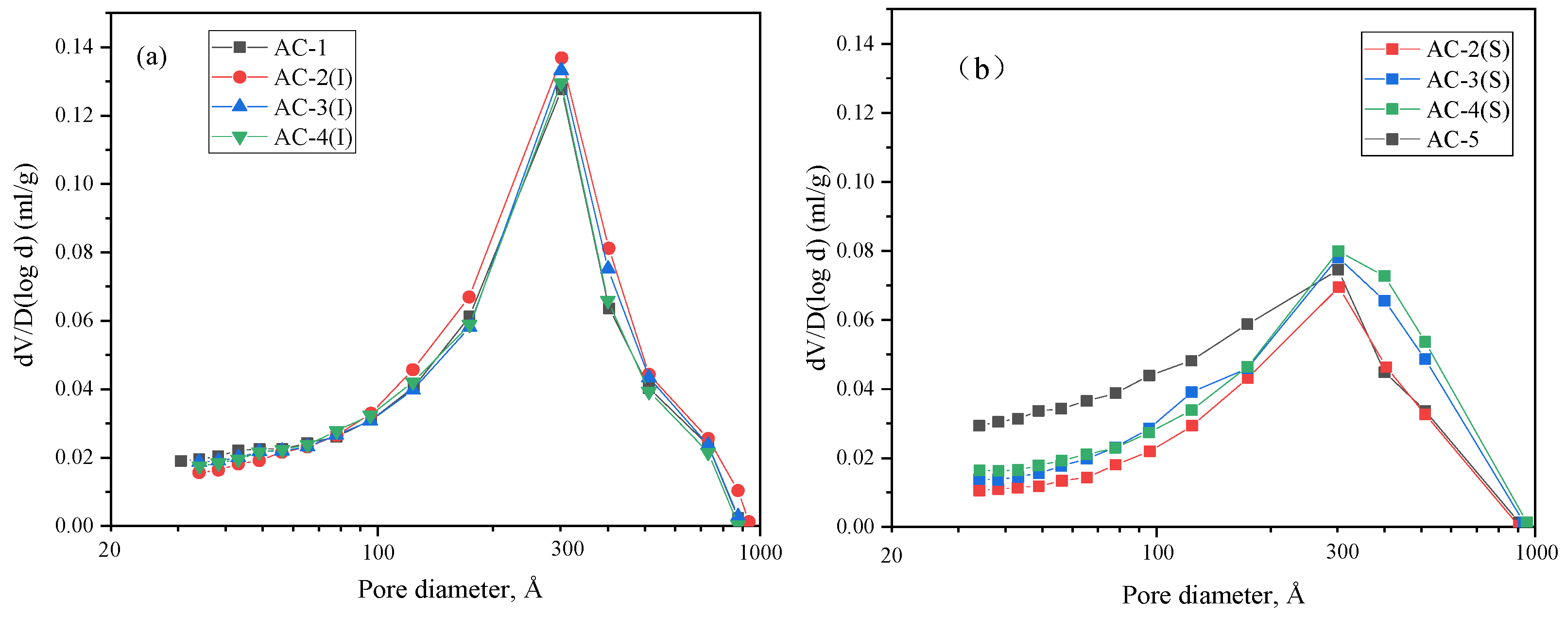
3.5.4. Pore Structures
3.6. Discussion
4. Prospects for Industrial Application
5. Conclusions
- (1)
- During the autoclave curing process, the hydration products and unhydrated CBSAC particles react with quartz to form a highly polymerized plate-like tobermorite, which enhances the strength of CBSAC aerated concrete to 4.3 MPa;
- (2)
- In autoclave–carbonation curing, delaying CO2 injection allows for better CO2 diffusion and reaction within the pores, increases the degree of carbonation from 19.1% to 55.1%, and the bulk density from 603.7 kg/m3 to 640.2 kg/m3. Furthermore, postponing the CO2 injection has little impact on the MCL of the tobermorite while leading to the formation of calcium carbonate clusters and needle-like silica gels in the carbonation zone, thereby contributing to a higher pore wall density and achieving a strength of 4.1 MP;
- (3)
- The carbonation-cured samples contain products such as calcite, aragonite, C–S–H, and gypsum. While the carbonation reaction reduces the micropore volume of CBSAC aerated concrete, the limited amount of hydrates and carbonates formed does not effectively bond with sand particles. As a result, the compressive strength is only 0.8 MPa;
- (4)
- Autoclave–carbonation curing presents promising prospects for industrial application. This methodology produces CBSAC aerated concrete, which exhibits a CO2 sequestration capacity of 40 to 60 kg/m3 and a compressive strength range of 3.6 to 4.2 MPa, meeting the strength requirements in the Chinese standard GB/T 11968 while reducing CO2 emissions from CBSAC factories.
Author Contributions
Funding
Institutional Review Board Statement
Informed Consent Statement
Data Availability Statement
Acknowledgments
Conflicts of Interest
List of Abbreviations
| Abbreviations | Meaning |
| AAC | Autoclaved aerated concrete |
| OPC | Ordinary Portland cement |
| C2S | 2 CaO·SiO2 (Belite) |
| C3S | 3 CaO·SiO2 |
| C4AF | 4 CaO·Al2O3·Fe2O3 |
| C4A3 | Calcium sulfoaluminate: 4 CaO·3Al2O3·SO3 (Yeelimite) |
| AFt | Ettringite |
| C–S–H | Hydrated calcium silicate |
| C2SH | 2CaO·SiO2·H2O |
| C2SH2 | 2CaO·SiO2·2H2O |
| f-CaO | Active calcium oxide (lime) |
| CBSAC | Calcium oxide–belite–calcium sulfoaluminate cementitious material |
References
- Pachideh, G.; Gholhaki, M. Effect of pozzolanic materials on mechanical properties and water absorption of autoclaved aerated concrete. J. Build. Eng. 2019, 26, 100856. [Google Scholar] [CrossRef]
- Narayanan, N.; Ramamurthy, K. Structure and properties of aerated concrete: A review. Cem. Concr. Compos. 2000, 22, 321–329. [Google Scholar] [CrossRef]
- Ferretti, D.; Michelini, E.; Rosati, G. Mechanical characterization of autoclaved aerated concrete masonry subjected to in-plane loading: Experimental investigation and FE modeling. Constr. Build. Mater. 2015, 98, 353–365. [Google Scholar] [CrossRef]
- Mesecke, K.; Malorny, W.; Warr, L.N. Understanding the effect of sulfate ions on the hydrothermal curing of autoclaved aerated concrete. Cem. Concr. Res. 2023, 164, 107044. [Google Scholar] [CrossRef]
- Wei, P.; Yin, G.; Shi, M.; Zhang, W.; Feng, J. Performance investigation and parameter optimization of ultra-light aerated concrete using orthogonal experimental design. Case Stud. Constr. Mater. 2023, 18, e01841. [Google Scholar] [CrossRef]
- Akin, S.K.; Boztaş, M. Examining Mechanical Properties of Strengthened Aerated Concrete Masonry Walls. Case Stud. Constr. Mater. 2024, 20, e02804. [Google Scholar] [CrossRef]
- Sun, D.; Huang, N.; Liu, K.; Tang, J.; Rong, N.; Wang, A.; Guan, Y.; Liang, P.; Deng, Y. Effect of recycled fine powder on autoclaved aerated concrete: Gas-foaming, physic-mechanical property and hydration products. J. Build. Eng. 2023, 67, 106013. [Google Scholar] [CrossRef]
- Hong, S.Y.; Glasser, F.P. Phase relations in the CaO–SiO2–H2O system to 200 °C at saturated steam pressure. Cem. Concr. Res. 2004, 34, 1529–1534. [Google Scholar] [CrossRef]
- Xu, Y.; Cheng, X.; Lu, H.; Yu, Q.; Zhong, W. A Preparation Method of Aerated Concrete. Patent CN202110786746.X, 12 July 2021. [Google Scholar]
- He, Z.; Wang, S.; Mahoutian, M.; Shao, Y. Flue gas carbonation of cement-based building products. J. CO2 Util. 2020, 37, 309–319. [Google Scholar] [CrossRef]
- Pu, Y.; Li, L.; Wang, Q.; Shi, X.; Fu, L.; Zhang, G.; Luan, C.; Abomohra, A.E.-F. Accelerated carbonation treatment of recycled concrete aggregates using flue gas: A comparative study towards performance improvement. J. CO2 Util. 2021, 43, 101362. [Google Scholar] [CrossRef]
- Rostami, V.; Shao, Y.; Boyd, A.J. Durability of concrete pipes subjected to combined steam and carbonation curing. Constr. Build. Mater. 2011, 25, 3345–3355. [Google Scholar] [CrossRef]
- Chen, T.; Gao, X. Effect of carbonation curing regime on strength and microstructure of Portland cement paste. J. CO2 Util. 2019, 34, 74–86. [Google Scholar] [CrossRef]
- Liu, Z.; Meng, W. Fundamental understanding of carbonation curing and durability of carbonation-cured cement-based composites: A review. J. CO2 Util. 2021, 44, 101428. [Google Scholar] [CrossRef]
- Zhang, D.; Shao, Y. Early age carbonation curing for precast reinforced concretes. Constr. Build. Mater. 2016, 113, 134–143. [Google Scholar] [CrossRef]
- Shi, C.; He, F.; Wu, Y. Effect of pre-conditioning on CO2 curing of lightweight concrete blocks mixtures. Constr. Build. Mater. 2012, 26, 257–267. [Google Scholar] [CrossRef]
- Chen, T.; Gao, X.; Qin, L. Mathematical modeling of accelerated carbonation curing of Portland cement paste at early age. Cem. Concr. Res. 2019, 120, 187–197. [Google Scholar] [CrossRef]
- Zhan, B.J.; Xuan, D.X.; Poon, C.S.; Shi, C.J. Effect of curing parameters on CO2 curing of concrete blocks containing recycled aggregates. Cem. Concr. Compos. 2016, 71, 122–130. [Google Scholar] [CrossRef]
- Wang, D.; Noguchi, T.; Nozaki, T. Increasing efficiency of carbon dioxide sequestration through high temperature carbonation of cement-based materials. J. Clean. Prod. 2019, 238, 117980. [Google Scholar] [CrossRef]
- Lei, M.; Deng, S.; Huang, K.; Liu, Z.; Wang, F.; Hu, S. Preparation and characterization of a CO2 activated aerated concrete with magnesium slag as carbonatable binder. Constr. Build. Mater. 2022, 353, 129112. [Google Scholar] [CrossRef]
- Gu, X.; Wang, S.; Liu, J.; Zhu, Z.; Wang, H.; Ge, X.; Hu, Z.; Xu, X.; Nehdi, M.L. Improving physical properties, microstructure and actual carbon sequestration of steel slag based autoclaved aerated concrete by accelerated carbonation. J. Build. Eng. 2024, 94, 110045. [Google Scholar] [CrossRef]
- Chang, J.; Xiong, C.; Zhang, Y.; Wang, D. Foaming characteristics and microstructure of aerated steel slag block prepared by accelerated carbonation. Constr. Build. Mater. 2019, 209, 222–233. [Google Scholar] [CrossRef]
- Zhou, Y.; Xu, Y.; Chen, X.; Yu, Q.; Li, W.; Zhong, W.; Zhang, L.; Zhang, Y.; Yang, H. Grinding Method of Low Carbon Cementing Material for Aerated Concrete. CN202210743839.9, 28 June 2022. [Google Scholar]
- Mostafa, N.Y.; Shaltout, A.A.; Omar, H.; Abo-El-Enein, S.A. Hydrothermal synthesis and characterization of aluminium and sulfate substituted 1.1nm tobermorites. J. Alloys Compd. 2009, 467, 332–337. [Google Scholar] [CrossRef]
- Cai, Q.; Ma, B.; Jiang, J.; Wang, J.; Shao, Z.; Hu, Y.; Qian, B.; Wang, L. Utilization of waste red gypsum in autoclaved aerated concrete preparation. Constr. Build. Mater. 2021, 291, 123376. [Google Scholar] [CrossRef]
- Bukhari, S.A.; Patil, D.; Gogate, N.G.; Minde, P.R. Utilization of waste materials in non-autoclaved aerated concrete blocks: State of art review. Mater. Today Proc. 2023. [Google Scholar] [CrossRef]
- Yuan, B.; Straub, C.; Segers, S.; Yu, Q.L.; Brouwers, H.J.H. Sodium carbonate activated slag as cement replacement in autoclaved aerated concrete. Ceram. Int. 2017, 43, 6039–6047. [Google Scholar] [CrossRef]
- Huang, W.; Quan, W.; Bu, X.; Wei, J.; Hu, R.; Miao, X. Preparing autoclaved aerated concrete using high-silicon iron tailing. Constr. Build. Mater. 2023, 408, 133818. [Google Scholar] [CrossRef]
- Shams, T.; Schober, G.; Heinz, D.; Seifert, S. Rice husk ash as a silica source for the production of autoclaved aerated concrete—A chance to save energy and primary resources. J. Build. Eng. 2022, 57, 104810. [Google Scholar] [CrossRef]
- China Cement Product Standardization Technical Committee. Test Methods for Properties of Autoclaved Aerated Concrete. 2020. Available online: https://www.chinesestandard.net/PDF/English.aspx/GBT11969-2020 (accessed on 1 September 2024).
- Garcia-Garcia, A.; Orts-Escolano, S.; Oprea, S.; Villena-Martinez, V.; Martinez-Gonzalez, P.; Garcia-Rodriguez, J. A survey on deep learning techniques for image and video semantic segmentation. Appl. Soft Comput. 2018, 70, 41–65. [Google Scholar] [CrossRef]
- China Cement Product Standardization Technical Committee. Autoclaved Aerated Concrete Blocks. 2020. Available online: https://www.chinesestandard.net/PDF/English.aspx/GBT15762-2020 (accessed on 1 September 2024).
- Zhang, J.; Gu, T. Production Technology of Aerated Concrete; Wuhan University of Technology Press: Wuhan, China, 1992. [Google Scholar]
- Hanna Jatymowicz, J.S.; Zapotaczna-Sytek, G. Autoclaved Aerated Concrete Technology; Arkady: Warsaw, Poland, 1975. [Google Scholar]
- Khunt, Y.; Nathwani, V.; Patel, H.; Joshi, T.; Gandhi, D. Investigation on properties of autoclave aerated concrete using different pre-curing and curing techniques. Mater. Today Proc. 2023; in press. [Google Scholar] [CrossRef]
- Sun, D.; Yin, F.; Deng, Y.; Liu, K.; Tang, J.; Shen, C.; Sun, Y.; Wang, A.; Huang, N.; Hu, C. Utilization of carbide slag in autoclaved aerated concrete (CS-AAC) and optimization: Foaming, hydration process, and physic-mechanical properties. Case Stud. Constr. Mater. 2023, 19, e02354. [Google Scholar] [CrossRef]
- Kunchariyakun, K.; Asavapisit, S.; Sombatsompop, K. Properties of autoclaved aerated concrete incorporating rice husk ash as partial replacement for fine aggregate. Cem. Concr. Compos. 2015, 55, 11–16. [Google Scholar] [CrossRef]
- Matsushita, F.; Aono, Y.; Shibata, S. Microstructure Changes in Autoclaved Aerated Concrete during Carbonation under Working and Accelerated Conditions. J. Adv. Concr. Technol. 2004, 2, 121–129. [Google Scholar] [CrossRef]
- He, T.; Xu, R.; Chen, C.; Yang, L.; Yang, R.; Da, Y. Carbonation modeling analysis on carbonation behavior of sand autoclaved aerated concrete. Constr. Build. Mater. 2018, 189, 102–108. [Google Scholar] [CrossRef]
- Sevelsted, T.F.; Skibsted, J. Carbonation of C–S–H and C–A–S–H samples studied by 13C, 27Al and 29Si MAS NMR spectroscopy. Cem. Concr. Res. 2015, 71, 56–65. [Google Scholar] [CrossRef]
- Xian, X.; Shao, Y. Microstructure of cement paste subject to ambient pressure carbonation curing. Constr. Build. Mater. 2021, 296, 123652. [Google Scholar] [CrossRef]
- Matsushita, F.; Aono, Y.; Shibata, S. Calcium silicate structure and carbonation shrinkage of a tobermorite-based material. Cem. Concr. Res. 2004, 34, 1251–1257. [Google Scholar] [CrossRef]
- Lothenbach, B.; Jansen, D.; Yan, Y.; Schreiner, J. Solubility and characterization of synthesized 11 Å Al-tobermorite. Cem. Concr. Res. 2022, 159, 106871. [Google Scholar] [CrossRef]
- Myers, R.J.; L’Hôpital, E.; Provis, J.L.; Lothenbach, B. Effect of temperature and aluminium on calcium (alumino)silicate hydrate chemistry under equilibrium conditions. Cem. Concr. Res. 2015, 68, 83–93. [Google Scholar] [CrossRef]
- Liu, L.; Sun, C.; Geng, G.; Feng, P.; Li, J.; Dähn, R. Influence of decalcification on structural and mechanical properties of synthetic calcium silicate hydrate (C-S-H). Cem. Concr. Res. 2019, 123, 105793. [Google Scholar] [CrossRef]
- Isu, N.; Ishida, H.; Mitsuda, T. Influence of quartz particle size on the chemical and mechanical properties of autoclaved aerated concrete (I) tobermorite formation. Cem. Concr. Res. 1995, 25, 243–248. [Google Scholar] [CrossRef]
- Klimesch, D.S.; Ray, A.; Sloane, B. Autoclaved cement-quartz pastes: The effects on chemical and physical properties when using ground quartz with different surface areas Part I: Quartz of wide particle size distribution. Cem. Concr. Res. 1996, 26, 1399–1408. [Google Scholar] [CrossRef]
- Gabrovšek, R.; Kurbus, B.; Mueller, D.; Wieker, W. Tobermorite formation in the system CaO, C3S SiO2 Al2O3 NaOH H2O under hydrothermal conditions. Cem. Concr. Res. 1993, 23, 321–328. [Google Scholar] [CrossRef]
- Chan, C.F.; Mitsuda, T. Formation of 11 Å tobermorite from mixtures of lime and colloidal silica with quartz. Cem. Concr. Res. 1978, 8, 135–138. [Google Scholar] [CrossRef]
- Lin, R.-S.; Wang, X.-Y.; Yi, H. Effects of cement types and addition of quartz and limestone on the normal and carbonation curing of cement paste. Constr. Build. Mater. 2021, 305, 124799. [Google Scholar] [CrossRef]
- Hu, L.; Jia, Y.; Chen, Z.; Yao, Y.; Sun, J.; Xie, Q.; Yang, H. An insight of carbonation-hydration kinetics and microstructure characterization of cement paste under accelerated carbonation at early age. Cem. Concr. Compos. 2022, 134, 104763. [Google Scholar] [CrossRef]
- Wu, Y.; Xu, F.; Wu, X.; Jiao, Y.; Sun, T.; Li, Z.; Yang, F.; Li, H.; Li, B.; Xu, J.; et al. Retardation mechanism of phosphogypsum in phosphogypsum-based excess-sulfate cement. Constr. Build. Mater. 2024, 428, 136293. [Google Scholar] [CrossRef]
- Li, F.; Shang, F.; Cheng, S.; Ma, W.; Jin, H.; Zhang, X.; Guo, L. Thermal conductivity measurements of the H2/CO2 mixture using the short-hot-wire method at 323.15–620.05 K and 2.14–9.37 MPa. Int. J. Hydrogen Energy 2020, 45, 31213–31224. [Google Scholar] [CrossRef]
- Xiao, X.; Kim, D.; Jiao, F.; Yang, X.; Al Ghafri, S.; Siahvashi, A.; Tsuji, T.; Yukumoto, A.; Seiki, Y.; Stanwix, P.L.; et al. Viscosity, thermal conductivity, and interfacial tension study of CO2 + difluoromethane (R32). Int. J. Refrig. 2023, 152, 331–342. [Google Scholar] [CrossRef]
- Qin, L.; Gao, X. Recycling of waste autoclaved aerated concrete powder in Portland cement by accelerated carbonation. Waste Manag. 2019, 89, 254–264. [Google Scholar] [CrossRef]
- Dong, M.; Ruan, S.; Zhan, S.; Shen, S.; Sun, G.; Qian, X.; Zhou, X. Utilization of red mud with high radiation for preparation of autoclaved aerated concrete (AAC): Performances and microstructural analysis. J. Clean. Prod. 2022, 347, 131293. [Google Scholar] [CrossRef]
- Yan, D.; Lu, J.; Sun, Y.; Wang, T.; Meng, T.; Zeng, Q.; Liu, Y. CO2 Pretreatment to Aerated Concrete with High-Volume Industry Wastes Enables a Sustainable Precast Concrete Industry. ACS Sustain. Chem. Eng. 2021, 9, 3363–3375. [Google Scholar] [CrossRef]
- Marenco-Porto, C.A.; Fierro, J.J.; Nieto-Londoño, C.; Lopera, L.; Escudero-Atehortua, A.; Giraldo, M.; Jouhara, H. Potential savings in the cement industry using waste heat recovery technologies. Energy 2023, 279, 127810. [Google Scholar] [CrossRef]


















| Physical Properties | Density (g/cm3) | Specific Surface Area (m2/kg) | 45 µm Screen Residue Weight (%) | Setting Time (Min) | |
|---|---|---|---|---|---|
| Initial | Final | ||||
| CBSAC | 3.03 | 365 | 12.7 | 32 | 55 |
| Raw Materials | SiO2 | Al2O3 | Fe2O3 | CaO | MgO | SO3 | R2O | Loss |
|---|---|---|---|---|---|---|---|---|
| CBSAC | 16.47 | 6.71 | 1.10 | 68.30 | 1.42 | 5.15 | 0.43 | 0.42 |
| Red sand | 71.54 | 14.89 | 4.42 | 1.37 | 1.49 | 1.50 | 2.70 | 2.09 |
| Gypsum | 1.30 | 0.73 | 0.12 | 31.5 | 1.10 | 45.0 | - | 20.25 |
| Raw Materials | D10 (μm) | D50 (μm) | D90 (μm) |
|---|---|---|---|
| Gypsum | 1.9 | 14.5 | 76.0 |
| Red sand | 2.8 | 25.6 | 90.3 |
| CBSAC | 1.1 | 8.3 | 40.1 |
| CaO | C2S | CaSO4 | Others | |
|---|---|---|---|---|
| 30.4 | 9.4 | 51.2 | 1.7 | 7.3 |
| Sample | Curing Regime | Average Carbonation Degree (%) | Standard Deviation |
|---|---|---|---|
| AC-1 | Autoclave curing | 0.0 | / |
| AC-2 | Autoclave–carbonation curing | 19.1 | 2.3 |
| AC-3 | 36.8 | 4.7 | |
| AC-4 | 55.1 | 6.2 | |
| AC-5 | Carbonation curing | 100.0 | / |
| Sample ID | AC-1 | AC-2 | AC-3 | AC-4 | AC-5 | |||
|---|---|---|---|---|---|---|---|---|
| (I) | (S) | (I) | (S) | (I) | (S) | |||
| pH value | 11.07 | 11.09 | 9.28 | 11.05 | 9.24 | 11.00 | 9.16 | 8.86 |
| Samples | Q1 | (1Al) | Q3 (1Al) | Q3 (0Al) | Q4 | MCL | |
|---|---|---|---|---|---|---|---|
| AC-1 | 10.5 | 13.6 | 32.8 | 21.9 | 5.8 | 15.3 | 40.6 |
| AC-2 (I) | 15.8 | 3.4 | 33.3 | 14.9 | 9.3 | 23.3 | 23.2 |
| AC-3 (I) | 12.4 | 12.9 | 34.3 | 14.9 | 8.7 | 16.7 | 27.6 |
| AC-4 (I) | 12.7 | 14.4 | 33.4 | 18.7 | 6.3 | 14.5 | 32.8 |
| Samples | Q1 | Q2 | Q3 | Q4 |
|---|---|---|---|---|
| AC-2 (S) | 5.1 | 5.7 | 22.7 | 66.5 |
| AC-3 (S) | 2.3 | 7.5 | 23.8 | 66.4 |
| AC-4 (S) | 5.0 | 18.4 | 16.9 | 59.6 |
| AC-5 | 4.1 | 9.5 | 37.9 | 48.5 |
| Curing Method | Bulk Density (kg/m3) | Compressive Strength (MPa) | Curing Cost (CNY/m3) |
|---|---|---|---|
| Autoclave | 540~560 | 4.4~4.9 | 32~39 |
| Autoclave–carbonation | 580~620 | 3.6~4.2 | 18.9 |
Disclaimer/Publisher’s Note: The statements, opinions and data contained in all publications are solely those of the individual author(s) and contributor(s) and not of MDPI and/or the editor(s). MDPI and/or the editor(s) disclaim responsibility for any injury to people or property resulting from any ideas, methods, instructions or products referred to in the content. |
© 2024 by the authors. Licensee MDPI, Basel, Switzerland. This article is an open access article distributed under the terms and conditions of the Creative Commons Attribution (CC BY) license (https://creativecommons.org/licenses/by/4.0/).
Share and Cite
Xia, Y.; Lu, X.; Li, J.; Yang, L.; Wang, N.; Chen, X.; Zhong, W. Effects of Curing Regimes on Calcium Oxide–Belite–Calcium Sulfoaluminate-Based Aerated Concrete. Materials 2024, 17, 4819. https://doi.org/10.3390/ma17194819
Xia Y, Lu X, Li J, Yang L, Wang N, Chen X, Zhong W. Effects of Curing Regimes on Calcium Oxide–Belite–Calcium Sulfoaluminate-Based Aerated Concrete. Materials. 2024; 17(19):4819. https://doi.org/10.3390/ma17194819
Chicago/Turabian StyleXia, Yanqing, Xirui Lu, Jun Li, Li Yang, Ning Wang, Xuemei Chen, and Wen Zhong. 2024. "Effects of Curing Regimes on Calcium Oxide–Belite–Calcium Sulfoaluminate-Based Aerated Concrete" Materials 17, no. 19: 4819. https://doi.org/10.3390/ma17194819
APA StyleXia, Y., Lu, X., Li, J., Yang, L., Wang, N., Chen, X., & Zhong, W. (2024). Effects of Curing Regimes on Calcium Oxide–Belite–Calcium Sulfoaluminate-Based Aerated Concrete. Materials, 17(19), 4819. https://doi.org/10.3390/ma17194819

