Elastomeric Compositions of Ethylene–Norbornene Copolymer Containing Biofillers Based on Coffee and Tea Waste
Abstract
1. Introduction
2. Materials and Methods
2.1. Materials
2.2. Methods
- Daytime segment: irradiance: 0.55 W/m2; temperature: 60 °C; duration: 8 h;
- Night segment: no radiation; temperature: 50 °C; duration: 1 h;
- Daytime segment: irradiance: 0.55 W/m2; temperature: 60 °C; duration: 3 h;
- Night segment: no radiation; temperature: 50 °C; duration: 1 h.
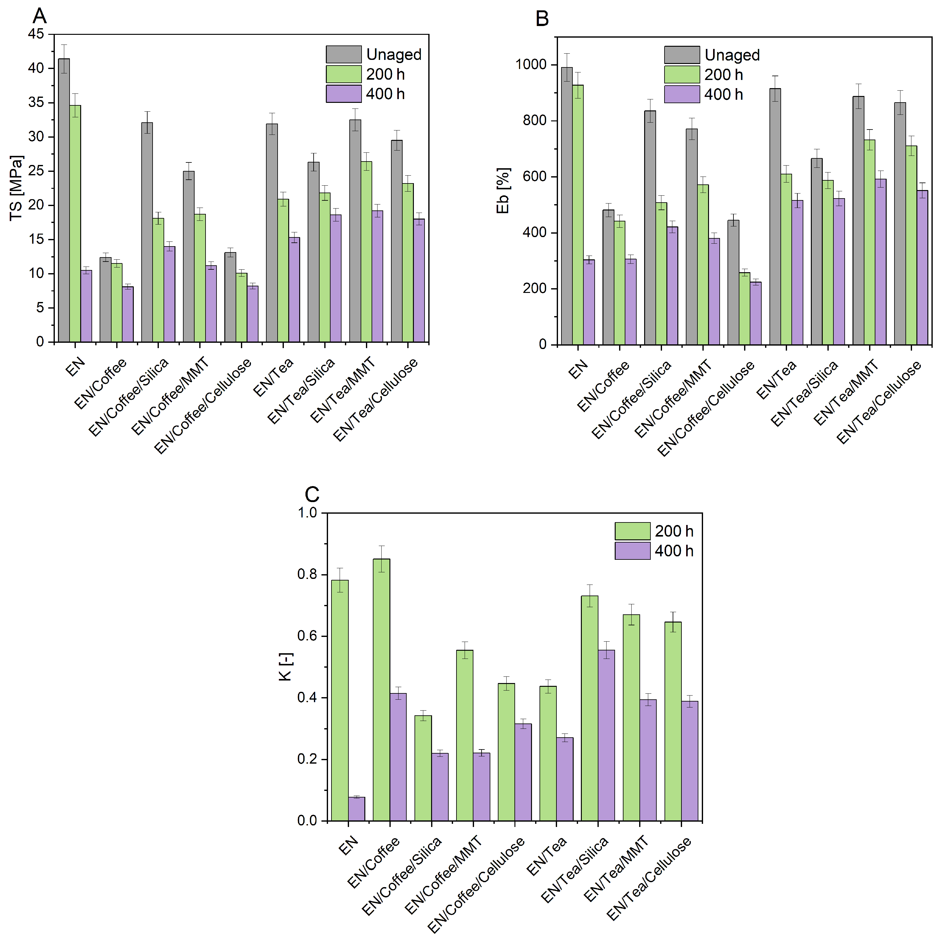
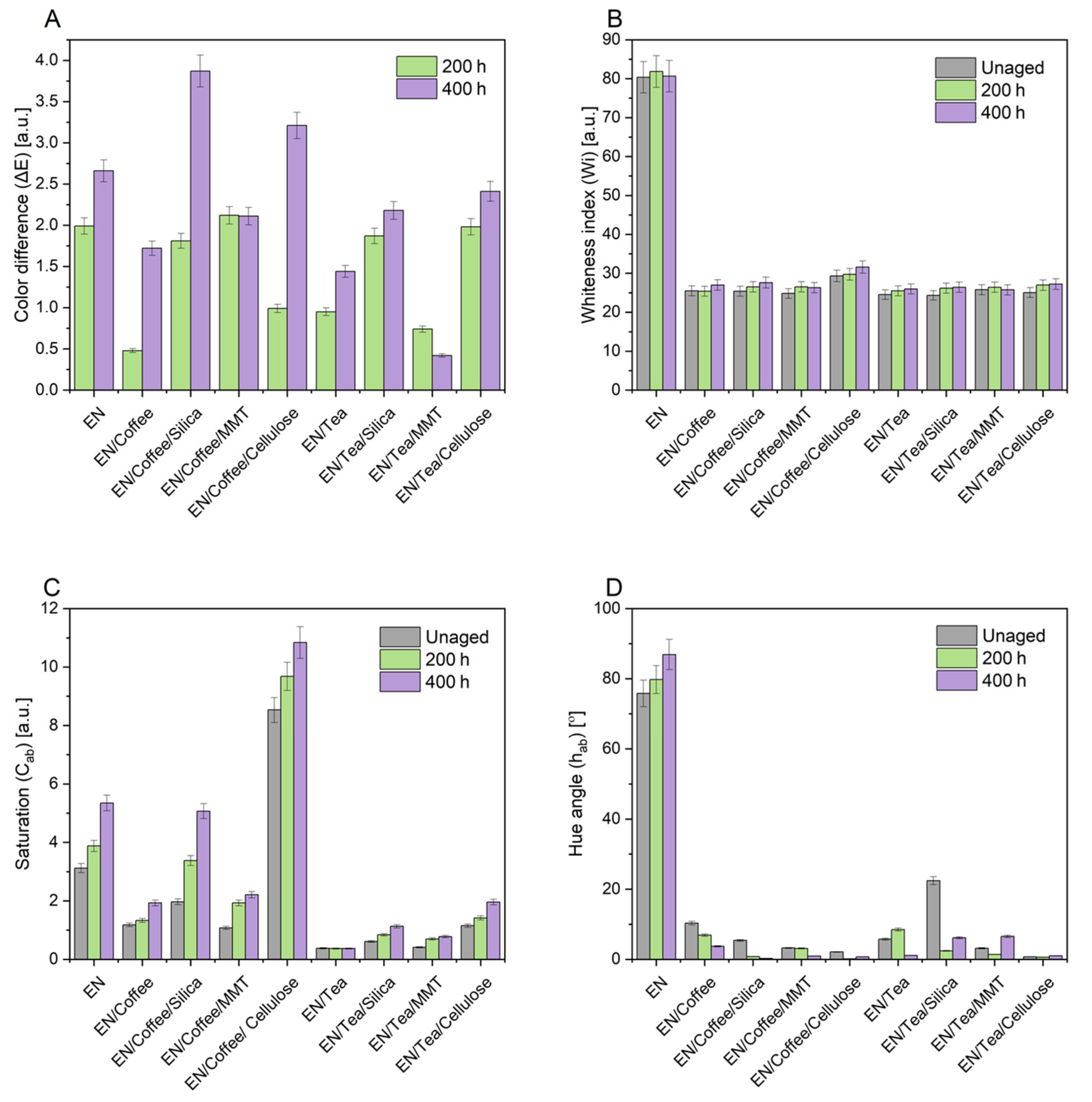
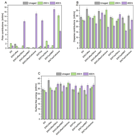
3. Results and Discussion
4. Conclusions
Supplementary Materials
Author Contributions
Funding
Institutional Review Board Statement
Informed Consent Statement
Data Availability Statement
Conflicts of Interest
References
- Vimala Bharathi, S.K.; Moses, J.A.; Anandharamaksishnan, C. Interaction Phenomena Between Packaking and Product. In Book Bio-Based Materials for Food Packaging: Green and Sustainable Advanced Packaging Materials; Ahmed, S., Ed.; Springer: Singapore, 2018; pp. 33–34. ISBN 9789811319099. [Google Scholar]
- Gali, K.K.; Bhagabati, P.; Katiyar, V. Sustainable Polymers for Food Packaking: An Introduction. In Book Bio-Based Plastics for Food Packaging Applications; Smithers Rapra: Akron, OH, USA, 2017; pp. 1–8. ISBN 9781910242582. [Google Scholar]
- Muthuraj, R.; Misra, M.; Mohanty, A.K. Studies on mechanical, thermal and morphological characteristics of biodegradable polymer blends and natural fibers. In Book Biocomposites: Design and Mechanical Performance; Misra, M., Pandey, J.K., Mohanty, A., Eds.; Woodhead Publishing: Cambridge, UK, 2015; pp. 93–140. ISBN 9781782423737. [Google Scholar] [CrossRef]
- Pilla, S. Engineerind Applications of Bioplastics and Biocomposites—An Overview. In Book Handbook of Bioplastics and Biocomposites Engineering Applications; Wiley: Hoboken, NJ, USA, 2012; pp. 1–5. ISBN 9780470626078. [Google Scholar]
- Mohanty, A.K.; Misra, M.; Hinrichsen, G. Biofibres, Biodegradable Polymers and Biocomposites: An Overview. Macromol. Mater. Eng. 2000, 276–277, 1–24. [Google Scholar] [CrossRef]
- Wankhede, B.; Bisaria, H.; Ojha, S.; Dakre, V.S. A review on cotton fibre-reinforced polymer composites and their applications. Proc. Inst. Mech. Eng. Part L J. Mater. Des. Appl. 2023, 237, 1347–1362. [Google Scholar] [CrossRef]
- Deshmukh, G.S. Advancement in hemp fibre polymer composites: A comprehensive review. J. Polym. Eng. 2022, 42, 575–598. [Google Scholar] [CrossRef]
- Etaati, A.; Pather, S.; Rahman, M.; Wang, H. Ground hemp fibers as filler/reinforcement for thermoplastic biocomposites. Adv. Mater. Sci. Eng. 2015, 2015, 513590. [Google Scholar] [CrossRef]
- Bansal, R.M.S.; Raichurkar, P. Experimental study of bamboo using banana and linen fibre reinforced polymeric composites. Perspect. Sci. 2016, 8, 313–316. [Google Scholar] [CrossRef]
- Senthilkumar, K.; Saba, N.; Rajini, N.; Chandrasekar, M.; Jawaid, M.; Siengchin, S.; Alotman, O.Y. Mechanical properties evaluation of sisal fibre reinforced polymer composites: A review. Constr. Build. Mater. 2018, 174, 713–729. [Google Scholar] [CrossRef]
- Shahinur, S.; Alamgir Sayeed, M.M.; Hasan, M.; Sayem, A.S.M.; Haider, J.; Ura, S. Current Development and Future Perspective on Natural Jute Fibers and Their Biocomposites. Polymers 2022, 14, 1445. [Google Scholar] [CrossRef]
- Saba, N.; Paridah, M.T.; Jawaid, M. Mechanical properties of kenaf fibre reinforced polymer composite: A review. Constr. Build. Mater. 2015, 76, 87–96. [Google Scholar] [CrossRef]
- Sin, L.T.; Rahmat, A.R.; Rahman, W.A.W.A. Overview of Poly(lactic Acid). In Book Handbook of Biopolymers and Biodegradable Plastics: Properties, Processing, and Applications; Ebnesajjad, S., Ed.; William Andrew: Norwich, NY, USA, 2013; pp. 11–31. ISBN 9781455728343. [Google Scholar]
- Rangel-Vazquez, N.A.; Rangel, R. Determination of Properties in Composites of Agave Fiber with LDPE and PP Applied Molecular Simulation. Handb. Compos. Renew. Mater. 2017, 6, 31, ISBN 9781119223801. [Google Scholar]
- Ashter, S.A. Types of Biodegradable Polymers. In Book Biopolymers: Processing and Products; William Andrew: Norwich, NY, USA, 2016; pp. 92–103. ISBN 9780323266987. [Google Scholar]
- Kalia, S.; Dufresne, A.; Cherian, B.M.; Kaith, B.S.; Avérous, L.; Njuguna, J.; Nassiopoulos, E. Cellulose-Based Bio- and Nanocomposites: A Review. Int. J. Polym. Sci. 2011, 2011, 837875. [Google Scholar] [CrossRef]
- Akampumuza, O.; Wambua, P.M.; Ahmed, A.; Li, W.; Qin, X.H. Review of the Applications of Biocomposites in the Automotive Industry. Polym. Compos. 2017, 38, 2553–2569. [Google Scholar] [CrossRef]
- Ahmad, H.; Chhipi-Shrestha, G.; Hewage, K.; Sadiq, R. A Comprehensive Review on Construction Applications and Life Cycle Sustainability of Natural Fiber Biocomposites. Sustainability 2022, 14, 15905. [Google Scholar] [CrossRef]
- Milcovich, G.; Antunes, F.E.; Farra, R.; Grassi, G.; Grassi, M.; Asaro, F. Modulating carbohydrate-based hydrogels as viscoelastic lubricant substitute for articular cartilages. Int. J. Biol. Macromol. 2017, 102, 796–804. [Google Scholar] [CrossRef] [PubMed]
- Oberti, I.; Paciello, A. Bioplastic as a Substitute for Plastic in Construction Industry. Encyclopedia 2022, 2, 1408–1420. [Google Scholar] [CrossRef]
- Prambauer, M.; Wendeler, C.; Weitzenböck, J.; Burgstaller, C. Biodegradable geotextiles—An overview of existing and potential materials. Geotext. Geomembr. 2019, 47, 48–59. [Google Scholar] [CrossRef]
- Sowińska-Baranowska, A.; Maciejewska, M.; Duda, P. The Potential Application of Starch and Walnut Shells as Biofillers for Natural Rubber (NR) Composites. Int. J. Mol. Sci. 2022, 23, 7968. [Google Scholar] [CrossRef]
- Chang, B.P.; Mohanty, A.K.; Misra, M. Studies on Durability of Sustainable Biobased Composites: A Review. RSC Adv. 2020, 10, 17955–17999. [Google Scholar] [CrossRef]
- Bhagavatheswaran, E.S.; Das, A.; Rastin, H.; Saeidi, H.; Jafari, S.H.; Vahabi, H.; Najafi, F.; Khonakdar, H.A.; Formela, K.; Jouyandeh, M.; et al. The Taste of Waste: The Edge of Eggshell over Calcium Carbonate in Acrylonitrile Butadiene Rubber. J. Polym. Environ. 2019, 27, 2478–2489. [Google Scholar] [CrossRef]
- Chang, B.P.; Gupta, A.; Muthuraj, R.; Mekonnen, T.H. Bioresourced Fillers for Rubber Composite Sustainability: Current Development and Future Opportunities. Green Chem. 2021, 23, 5337–5378. [Google Scholar] [CrossRef]
- Syuhada, D.N.; Azura, A.R. Waste Natural Polymers as Potential Fillers for Biodegradable Latex-Based Composites: A Review. Polymers 2021, 13, 3600. [Google Scholar] [CrossRef]
- Balint, T.; Chang, B.P.; Mohanty, A.K.; Misra, M. Underutilized Agricultural Co-Product as a Sustainable Biofiller for Polyamide 6,6: Effect of Carbonization Temperature. Molecules 2020, 25, 1455. [Google Scholar] [CrossRef] [PubMed]
- Thomas, S.K.; Parameswaranpillai, J.; Krishnasamy, S.; Begum, P.M.S.; Nandi, D.; Siengchin, S.; George, J.J.; Hameed, N.; Salim, N.V.; Sienkiewicz, N. A Comprehensive Review on Cellulose, Chitin, and Starch as Fillers in Natural Rubber Biocomposites. Carbohydr. Polym. Technol. Appl. 2021, 2, 100095. [Google Scholar] [CrossRef]
- Thakur, V.K.; Thakur, K.; Kessler, M.R.; Mokhothu, T.H.; John, M.J. Bio-Based Fillers for Environmentally Friendly Composites. In Handbook of Composites from Renewable Materials; Wiley: Hoboken, NJ, USA, 2017; Volume 10, pp. 243–270. [Google Scholar]
- Mousa, A.; Heinrich, G.; Wagenknecht, U. Bio-Based Fillers. Compos. Technol. 2013, 19, 1–4. [Google Scholar] [CrossRef]
- Kovalcik, A.; Obruca, S.; Marova, I. Valorization of spent coffee grounds: A review. Food Bioprod. Process. 2018, 110, 104–119. [Google Scholar] [CrossRef]
- Ballesteros, L.F.; Teixeira, J.A.; Mussatto, S.I. Chemical, Functional, and Structural Properties of Spent Coffee Grounds and Coffee Silverskin. Food Bioprocess Technol. 2014, 7, 3493–3503. [Google Scholar] [CrossRef]
- Venkatarajan, S.; Athijayamani, A. An overview on natural cellulose fiber reinforced polymer composites. Mater. Today Proc. 2021, 37 Pt 2, 3620–3624. [Google Scholar] [CrossRef]
- John, M.J.; Thomas, S. Biofibres and biocomposites. Carbohydr. Polym. 2008, 71, 343–364. [Google Scholar] [CrossRef]
- Bomfim, A.S.C.d.; Oliveira, D.M.d.; Voorwald, H.J.C.; Benini, K.C.C.d.C.; Dumont, M.-J.; Rodrigue, D. Valorization of Spent Coffee Grounds as Precursors for Biopolymers and Composite Production. Polymers 2022, 14, 437. [Google Scholar] [CrossRef]
- Saratale, G.D.; Bhosale, R.; Shobana, S.; Banu, J.R.; Pugazhendhi, A.; Mahmoud, E.; Sirohi, R.; Bhatia, S.K.; Atabani, A.E.; Mulone, V.; et al. A review on valorization of spent coffee grounds (SCG) towards biopolymers and biocatalysts production. Bioresour. Technol. 2020, 314, 123800. [Google Scholar] [CrossRef]
- Liu, Y.; Yuan, W.; Lu, Y.; Liu, S.Q. Biotransformation of spent coffee grounds by fermentation with monocultures of Saccharomyces cerevisiae and Lachancea thermotolerans aided by yeast extracts. LWT 2021, 138, 110751. [Google Scholar] [CrossRef]
- Hejna, A. Coffee Silverskin as a Potential Bio-Based Antioxidant for Polymer Materials: Brief Review. Proceedings 2021, 60, 20. [Google Scholar] [CrossRef]
- Garcia, C.V.; Kim, Y.T. Spent Coffee Grounds and Coffee Silverskin as Potential Materials for Packaging: A Review. J. Polym. Environ. 2021, 29, 2372–2384. [Google Scholar] [CrossRef]
- Kuan, H.T.N.; Tan, M.Y.; Hassan, M.Z.; Zuhri, M.Y.M. Evaluation of Physico-Mechanical Properties on Oil Extracted Ground Coffee Waste Reinforced Polyethylene Composite. Polymers 2022, 14, 4678. [Google Scholar] [CrossRef] [PubMed]
- Hejna, A. Potential Applications of By-Products from the Coffee Industry in Polymer Technology—Current State and Perspectives. Waste Manag. 2021, 121, 296–330. [Google Scholar] [CrossRef]
- Moustafa, H.; Guizani, C.; Dufresne, A. Sustainable Biodegradable Coffee Grounds Filler and Its Effect on the Hydrophobicity, Mechanical and Thermal Properties of Biodegradable PBAT Composites. J. Appl. Polym. Sci. 2017, 134, 44498. [Google Scholar] [CrossRef]
- Kourmentza, C.; Economou, C.N.; Tsafrakidou, P.; Kornaros, M. Spent Coffee Grounds Make Much More than Waste: Exploring Recent Advances and Future Exploitation Strategies for the Valorization of an Emerging Food Waste Stream. J. Clean Prod. 2018, 172, 980–992. [Google Scholar] [CrossRef]
- Masek, A.; Zaborski, M.; Kosmalska, A.; Chrzescijanska, E. Eco-Friendly Elastomeric Composites Containing Sencha and Gun Powder Green Tea Extracts. Comptes Rendus Chim. 2012, 15, 331–335. [Google Scholar] [CrossRef]
- Masek, A.; Chrzescijanska, E.; Kosmalska, A.; Zaborski, M. Antioxidant Activity Determination in Sencha and Gun Powder Green Tea Extracts with the Application of Voltammetry and UV-VIS Spectrophotometry. Comptes Rendus Chim. 2012, 15, 424–427. [Google Scholar] [CrossRef]
- Mattos, B.D.; Misso, A.L.; De Cademartori, P.H.G.; De Lima, E.A.; Magalhães, W.L.E.; Gatto, D.A. Properties of Polypropylene Composites Filled with a Mixture of Household Waste of Mate-Tea and Wood Particles. Constr. Build. Mater. 2014, 61, 60–68. [Google Scholar] [CrossRef]
- Debnath, B.; Haldar, D.; Purkait, M.K. Potential and Sustainable Utilization of Tea Waste: A Review on Present Status and Future Trends. J. Environ. Chem. Eng. 2021, 9, 106179. [Google Scholar] [CrossRef]
- Bagheri, S.; Jafari Nodoushan, R.; Azimzadeh, M. Sound Absorption Performance of Tea Waste Reinforced Polypropylene and Nanoclay Biocomposites. Polym. Bull. 2023, 80, 5203–5218. [Google Scholar] [CrossRef]
- Xia, G.; Reddy, K.O.; Maheswari, C.U.; Jayaramudu, J.; Zhang, J.; Zhang, J.; Rajulu, A.V. Preparation and Properties of Biodegradable Spent Tea Leaf Powder/Poly(Propylene Carbonate) Composite Films. Int. J. Polym. Anal. Charact. 2015, 20, 377–387. [Google Scholar] [CrossRef]
- Trombley, K. Cyclic Olefin Copolymer: An Alternative Plastic Film for Cyclic Olefin Copolymer: An Alternative Plastic Film for Pharmaceutical Blister Packages Pharmaceutical Blister Packages; 2001.
- TOPAS® COC. Available online: https://Topas.Com/Markets/Packaging (accessed on 27 May 2024).
- Birnin-yauri, A.U.; Ibrahim, N.A.; Zainuddin, N.; Abdan, K.; Then, Y.Y.; Chieng, B.W. Effect of Maleic Anhydride-Modified Poly(Lactic Acid) on the Properties of Its Hybrid Fiber Biocomposites. Polymers 2017, 9, 165. [Google Scholar] [CrossRef] [PubMed]
- Qian, S.; Mao, H.; Zarei, E.; Sheng, K. Preparation and Characterization of Maleic Anhydride Compatibilized Poly(Lactic Acid)/Bamboo Particles Biocomposites. J. Polym. Environ. 2015, 23, 341–347. [Google Scholar] [CrossRef]
- Kushwanth Theja, K.; Bharathiraja, G.; Sakthi Murugan, V.; Muniappan, A. Evaluation of Mechanical Properties of Tea Dust Filler Reinforced Polymer Composite. Mater. Today Proc. 2023, 80, 3208–3211. [Google Scholar] [CrossRef]
- Juszkiewicz, A.; Maciejewska, M. Tea Grounds as a Waste Biofiller for Natural Rubber. Materials 2024, 17, 1516. [Google Scholar] [CrossRef]
- Kumar, K.S.; Gairola, S.; Singh, I. Waste Coffee Silverskin as a Potential Filler in Sustainable Composites: Mechanical, Thermal, and Microstructural Analysis. Ind. Crops Prod. 2024, 210, 118088. [Google Scholar] [CrossRef]
- Suaduang, N.; Ross, S.; Ross, G.M.; Pratumshat, S.; Mahasaranon, S. Effect of Spent Coffee Grounds Filler on the Physical and Mechanical Properties of Poly(Lactic Acid) Bio-Composite Films. Mater. Today Proc. 2019, 17, 2104–2110. [Google Scholar] [CrossRef]
- Hejna, A.; Barczewski, M.; Kosmela, P.; Mysiukiewicz, O. Comparative Analysis of the Coffee and Cocoa Industry By-Products on the Performance of Polyethylene-Based Composites. Waste Biomass Valorization 2023, 14, 2691–2706. [Google Scholar] [CrossRef]
- Aniśko, J.; Barczewski, M. Uniaxial Rotational Molding of Bio-Based Low-Density Polyethylene Filled with Black Tea Waste. Materials 2023, 16, 3641. [Google Scholar] [CrossRef]
- Cichosz, S.; Masek, A.; Wolski, K. Innovative Cellulose Fibres Reinforced Ethylene-Norbornene Copolymer Composites of an Increased Degradation Potential. Polym. Degrad. Stab. 2019, 159, 174–183. [Google Scholar] [CrossRef]
- Hurtado-Benavides, A.; Dorado, A.D.; del Pilar Sánchez-Camargo, A. Study of the Fatty Acid Profile and the Aroma Composition of Oil Obtained from Roasted Colombian Coffee Beans by Supercritical Fluid Extraction. J. Supercrit. Fluids 2016, 113, 44–52. [Google Scholar] [CrossRef]
- Dong, W.; Tan, L.; Zhao, J.; Hu, R.; Lu, M. Characterization of Fatty Acid, Amino Acid and Volatile Compound Compositions and Bioactive Components of Seven Coffee (Coffea robusta) Cultivars Grown in Hainan Province, China. Molecules 2015, 20, 16687–16708. [Google Scholar] [CrossRef] [PubMed]





| Filler | Coffee Grounds | Tea Leaves | Cellulose | Silica | Montmorillonite (MMT) | Maleic Anhydride |
|---|---|---|---|---|---|---|
| Coffee | 20 | - | - | - | - | 2 |
| Coffee/Silica | 10 | - | - | 10 | - | 2 |
| Coffee/MMT | 10 | - | - | - | 10 | 2 |
| Coffee/Cellulose | 10 | - | 10 | - | - | 2 |
| Tea | - | 20 | - | - | - | 2 |
| Tea/Silica | - | 10 | - | 10 | - | 2 |
| Tea/MMT | - | 10 | - | - | 10 | 2 |
| Tea/Cellulose | - | 10 | 10 | - | - | 2 |
| Sample | EN | Coffee Grounds | Tea Leaves | Cellulose | Silica | Montmorillonite (MMT) | Maleic Anhydride |
|---|---|---|---|---|---|---|---|
| EN | 100 | - | - | - | - | - | - |
| EN/Coffee | 100 | 20 | - | - | - | - | 2 |
| EN/Coffee/Silica | 100 | 10 | - | - | 10 | - | 2 |
| EN/Coffee/MMT | 100 | 10 | - | - | - | 10 | 2 |
| EN/Coffee/Cellulose | 100 | 10 | - | 10 | - | - | 2 |
| EN/Tea | 100 | - | 20 | - | - | - | 2 |
| EN/Tea/Silica | 100 | - | 10 | - | 10 | - | 2 |
| EN/Tea/MMT | 100 | - | 10 | - | - | 10 | 2 |
| EN/Tea/Cellulose | 100 | - | 10 | 10 | - | - | 2 |
| Sample | UV Aging | Water | Diiodomethane | Ethylene Glycol |
|---|---|---|---|---|
| EN | Unaged | 0.5 | 1.6 | 1.7 |
| 200 h | 4.9 | 3.2 | 1.8 | |
| 400 h | 1.6 | 1.0 | 1.7 | |
| EN/Coffee | Unaged | 1.3 | 1.3 | 1.3 |
| 200 h | 1.2 | 1.5 | 0.7 | |
| 400 h | 0.4 | 1.1 | 0.7 | |
| EN/Coffee/Silica | Unaged | 1.0 | 1.1 | 0.7 |
| 200 h | 2.3 | 1.3 | 0.3 | |
| 400 h | 1.2 | 1.0 | 1.7 | |
| EN/Coffee/MMT | Unaged | 0.9 | 1.1 | 0.8 |
| 200 h | 0.2 | 1.7 | 1.3 | |
| 400 h | 0.6 | 0.9 | .0 | |
| EN/Coffee/Cellulose | Unaged | 0.7 | 1.5 | 2.5 |
| 200 h | 1.4 | 2.2 | 1.8 | |
| 400 h | 1.6 | 0.9 | 4.2 | |
| EN/Tea | Unaged | 1.1 | 1.7 | |
| 200 h | 1.8 | 0.7 | .0 | |
| 400 h | 0.9 | 0.8 | 0.7 | |
| EN/Tea/Silica | Unaged | 0.5 | 0.7 | .0 |
| 200 h | 1.7 | 1.7 | 1.1 | |
| 400 h | 0.9 | 1.3 | 1.0 | |
| EN/Tea/MMT | Unaged | 0.4 | 1.3 | 1.0 |
| 200 h | 1.3 | 2.9 | 2.5 | |
| 400 h | 0.3 | 1.2 | 0.9 | |
| EN/Tea/Cellulose | Unaged | 1.1 | 1.4 | 1.1 |
| 200 h | 1.0 | 1.3 | 1.2 | |
| 400 h | 1.6 | 2.0 | 0.8 |
Disclaimer/Publisher’s Note: The statements, opinions and data contained in all publications are solely those of the individual author(s) and contributor(s) and not of MDPI and/or the editor(s). MDPI and/or the editor(s) disclaim responsibility for any injury to people or property resulting from any ideas, methods, instructions or products referred to in the content. |
© 2024 by the authors. Licensee MDPI, Basel, Switzerland. This article is an open access article distributed under the terms and conditions of the Creative Commons Attribution (CC BY) license (https://creativecommons.org/licenses/by/4.0/).
Share and Cite
Malicka, A.; Rułka, K.; Latos-Brozio, M.; Masek, A. Elastomeric Compositions of Ethylene–Norbornene Copolymer Containing Biofillers Based on Coffee and Tea Waste. Materials 2024, 17, 4160. https://doi.org/10.3390/ma17164160
Malicka A, Rułka K, Latos-Brozio M, Masek A. Elastomeric Compositions of Ethylene–Norbornene Copolymer Containing Biofillers Based on Coffee and Tea Waste. Materials. 2024; 17(16):4160. https://doi.org/10.3390/ma17164160
Chicago/Turabian StyleMalicka, Aneta, Kamila Rułka, Malgorzata Latos-Brozio, and Anna Masek. 2024. "Elastomeric Compositions of Ethylene–Norbornene Copolymer Containing Biofillers Based on Coffee and Tea Waste" Materials 17, no. 16: 4160. https://doi.org/10.3390/ma17164160
APA StyleMalicka, A., Rułka, K., Latos-Brozio, M., & Masek, A. (2024). Elastomeric Compositions of Ethylene–Norbornene Copolymer Containing Biofillers Based on Coffee and Tea Waste. Materials, 17(16), 4160. https://doi.org/10.3390/ma17164160

