Cavity-Tuned Exciton Dynamics in Transition Metal Dichalcogenides Monolayers
Abstract
1. Introduction
2. Microscopic Model and Methodologies
3. Results and Discussion
3.1. Exciton Populations
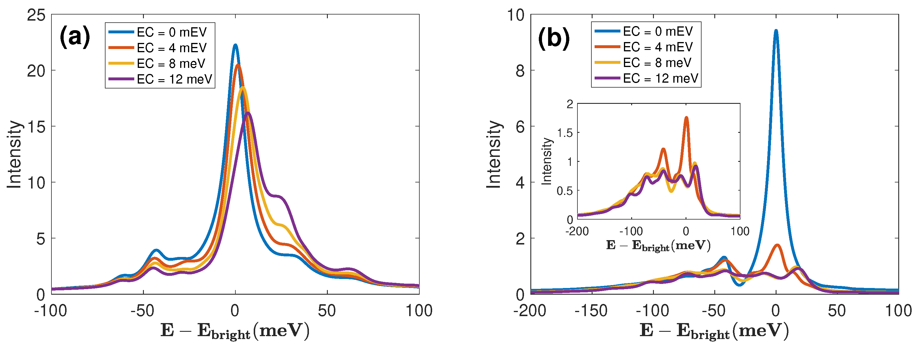
3.2. TRF
4. Conclusions
Supplementary Materials
Author Contributions
Funding
Institutional Review Board Statement
Informed Consent Statement
Data Availability Statement
Conflicts of Interest
Abbreviations
| TMDs | Transition metal dichalcogenides |
| 2D | Two-dimensional |
| PL | Photoluminescence |
| TRF | Time-resolved fluorescence |
| mDA | Multiple Davydov Ansatz |
| CIs | Conical intersections |
| TFDs | Thermofield dynamics |
| EC | Exciton–cavity |
Appendix A. Equations of Motion for the mDA Parameters
Appendix B. Observables in Terms of Multi-D2 Wave Functions
References
- Xie, L.; Cui, X.D. Manipulating spin-polarized photocurrents in 2D transition metal dichalcogenides. Proc. Natl. Acad. Sci. USA 2016, 113, 3746–3750. [Google Scholar] [CrossRef] [PubMed]
- Ye, Y.; Xiao, J.; Wang, H.; Ye, Z.; Zhu, H.; Zhao, M.; Wang, Y.; Zhao, J.; Yin, X.; Zhang, X. Electrical generation and control of the valley carriers in a monolayer transition metal dichalcogenide. Nat. Nanotech. 2016, 11, 598–602. [Google Scholar] [CrossRef] [PubMed]
- Mak, K.F.; Lee, C.; Hone, J.; Shan, J.; Heinz, T.F. Atomically Thin MoS2: A New Direct-Gap Semiconductor. Phys. Rev. Lett. 2010, 105, 136805. [Google Scholar] [CrossRef] [PubMed]
- Splendiani, A.; Sun, L.; Zhang, Y.; Li, T.; Kim, J.; Chim, C.Y.; Galli, G.; Wang, F. Emerging Photoluminescence in Monolayer MoS2. Nano Lett. 2010, 10, 1271–1275. [Google Scholar] [CrossRef]
- Brem, S.; Ekman, A.; Christiansen, D.; Katsch, F.; Selig, M.; Robert, C.; Marie, X.; Urbaszek, B.; Knorr, A.; Malic, E. Phonon-Assisted Photoluminescence from Indirect Excitons in Monolayers of Transition-Metal Dichalcogenides. Nano Lett. 2020, 20, 2849–2856. [Google Scholar] [CrossRef] [PubMed]
- Berghäuser, G.; Steinleitner, P.; Merkl, P.; Huber, R.; Knorr, A.; Malic, E. Mapping of the dark exciton landscape in transition metal dichalcogenides. Phys. Rev. B 2018, 98, 020301. [Google Scholar] [CrossRef]
- Selig, M.; Berghäuser, G.; Richter, M.; Bratschitsch, R.; Knorr, A.; Malic, E. Dark and bright exciton formation, thermalization, and photoluminescence in monolayer transition metal dichalcogenides. 2D Mater. 2018, 5, 035017. [Google Scholar] [CrossRef]
- Echeverry, J.P.; Urbaszek, B.; Amand, T.; Marie, X.; Gerber, I.C. Splitting between bright and dark excitons in transition metal dichalcogenide monolayers. Phys. Rev. B 2016, 93, 121107. [Google Scholar] [CrossRef]
- Rosati, R.; Schmidt, R.; Brem, S.; Perea-Causín, R.; Niehues, I.; Kern, J.; Preuß, J.A.; Schneider, R.; Michaelis de Vasconcellos, S.; Bratschitsch, R.; et al. Dark exciton anti-funneling in atomically thin semiconductors. Nat. Commun. 2021, 12, 7221. [Google Scholar] [CrossRef]
- Gelly, R.J.; Renaud, D.; Liao, X.; Pingault, B.; Bogdanovic, S.; Scuri, G.; Watanabe, K.; Taniguchi, T.; Urbaszek, B.; Park, H.; et al. Probing dark exciton navigation through a local strain landscape in a WSe2 monolayer. Nat. Commun. 2022, 13, 232. [Google Scholar] [CrossRef]
- Madeo, J.; Man, M.K.L.; Sahoo, C.; Campbell, M.; Pareek, V.; Wong, E.L.; Al-Mahboob, A.; Chan, N.S.; Karmakar, A.; Mariserla, B.M.K.; et al. Directly visualizing the momentum-forbidden dark excitons and their dynamics in atomically thin semiconductors. Science 2020, 370, 1199–1204. [Google Scholar] [CrossRef]
- Rosati, R.; Wagner, K.; Brem, S.; Perea-Causín, R.; Ziegler, J.D.; Zipfel, J.; Taniguchi, T.; Watanabe, K.; Chernikov, A.; Malic, E. Non-equilibrium diffusion of dark excitons in atomically thin semiconductors. Nanoscale 2021, 13, 19966–19972. [Google Scholar] [CrossRef]
- Xia, F.; Wang, H.; Xiao, D.; Dubey, M.; Ramasubramaniam, A. Two-dimensional material nanophotonics. Nature Photon. 2014, 8, 899–907. [Google Scholar] [CrossRef]
- Zhao, L.; Shang, Q.; Li, M.; Liang, Y.; Li, C.; Zhang, Q. Strong exciton-photon interaction and lasing of two-dimensional transition metal dichalcogenide semiconductors. Nano Res. 2021, 14, 1937–1954. [Google Scholar] [CrossRef]
- Liu, M.; Yin, X.; Ulin-Avila, E.; Geng, B.; Zentgraf, T.; Ju, L.; Wang, F.; Zhang, X. A graphene-based broadband optical modulator. Nature 2011, 474, 64–67. [Google Scholar] [CrossRef] [PubMed]
- Koppens, F.H.L.; Chang, D.E.; Garcia de Abajo, F.J. Graphene plasmonics: A platform for strong light-matter interactions. Nano Lett. 2011, 11, 3370–3377. [Google Scholar] [CrossRef]
- Holmes, R.J.; Forrest, S.R. Strong exciton-photon coupling and exciton hybridization in a thermally evaporated polycrystalline film of an organic small molecule. Phys. Rev. Lett. 2004, 93, 186404. [Google Scholar] [CrossRef]
- Fontanesi, L.; Mazza, L.; La Rocca, G.C. Organic-based microcavities with vibronic progressions: Linear spectroscopy. Phys. Rev. B 2009, 80, 235313. [Google Scholar] [CrossRef]
- Coles, D.M.; Michetti, P.; Clark, C.; Tsoi, W.C.; Adawi, A.M.; Kim, J.S.; Lidzey, D.G. Vibrationally Assisted Polariton-Relaxation Processes in Strongly Coupled Organic-Semiconductor Microcavities. Adv. Funct. Mater. 2011, 21, 3691–3696. [Google Scholar] [CrossRef]
- Virgili, T.; Coles, D.; Adawi, A.M.; Clark, C.; Michetti, P.; Rajendran, S.K.; Brida, D.; Polli, D.; Cerullo, G.; Lidzey, D.G. Ultrafast polariton relaxation dynamics in an organic semiconductor microcavity. Phys. Rev. B 2011, 83, 245309. [Google Scholar] [CrossRef]
- Zasedatelev, A.V.; Baranikov, A.V.; Sannikov, D.; Urbonas, D.; Scafirimuto, F.; Shishkov, V.Y.; Andrianov, E.S.; Lozovik, Y.E.; Scherf, U.; Stöferle, T.; et al. Single-photon nonlinearity at room temperature. Nature 2021, 597, 493–497. [Google Scholar] [CrossRef] [PubMed]
- Deng, H.; Weihs, G.; Snoke, D.; Bloch, J.; Yamamoto, Y. Polariton lasing vs. photon lasing in a semiconductor microcavity. Proc. Natl. Acad. Sci. USA 2003, 100, 15318. [Google Scholar] [CrossRef] [PubMed]
- Delteil, A.; Fink, T.; Schade, A.; Höfling, S.; Schneider, C.; İmamoğlu, A. Towards polariton blockade of confined exciton-polaritons. Nat. Mater. 2019, 18, 219–222. [Google Scholar] [CrossRef]
- Munoz-Matutano, G.; Wood, A.; Johnsson, M.; Vidal, X.; Baragiola, B.Q.; Reinhard, A.; Lemaître, A.; Bloch, J.; Amo, A.; Nogues, G.; et al. Emergence of quantum correlations from interacting fibre-cavity polaritons. Nat. Mater. 2019, 18, 213–218. [Google Scholar] [CrossRef]
- Byrnes, T.; Kim, N.Y.; Yamamoto, Y. Exciton-polariton condensates. Nat. Phys. 2014, 10, 803. [Google Scholar] [CrossRef]
- Chen, Y.J.; Cain, J.D.; Stanev, T.K.; Dravid, V.P.; Stern, N.P. Valley-polarized exciton-polaritons in a monolayer semiconductor. Nat. Photon. 2017, 11, 431–435. [Google Scholar] [CrossRef]
- He, L.; Wu, J.; Jin, J.; Mele, E.J.; Zhen, B. Polaritonic Chern insulators in monolayer semiconductors. Phys. Rev. Lett. 2023, 130, 043801. [Google Scholar] [CrossRef]
- Seyler, K.L.; Rivera, P.; Yu, H.; Wilson, N.P.; Ray, E.L.; Mandrus, D.G.; Yan, J.; Yao, W.; Xu, X. Signatures of moire-trapped valley excitons in mose2/wse2 heterobilayers. Nature 2019, 567, 66. [Google Scholar] [CrossRef]
- Jin, C.; Regan, E.C.; Yan, A.; Utama, M.I.B.; Wang, D.; Zhao, S.; Wang, F. Observation of moire excitons in WSe2/WS2 heterostructure superlattices. Nature 2019, 567, 76. [Google Scholar] [CrossRef]
- Zhang, L.; Wu, F.; Hou, S.; Zhang, Z.; Chou, Y.-H.; Watanabe, K.; Taniguchi, T.; Forrest, S.R.; Deng, H. Van der Waals heterostructure polaritons with moire-induced nonlinearity. Nature 2021, 591, 61. [Google Scholar] [CrossRef]
- Rosser, D.; Fryett, T.; Ryou, A.; Saxena, A.; Majumdar, A. Exciton-phonon interactions in nanocavity-integrated monolayer transition metal dichalcogenides. npj 2D Mater. Appl. 2020, 4, 20. [Google Scholar] [CrossRef]
- Walther, V.; Johne, R.; Pohl, T. Giant optical nonlinearities from Rydberg excitons in semiconductor microcavities. Nat. Commun. 2018, 9, 1309. [Google Scholar] [CrossRef] [PubMed]
- Ryou, A.; Rosser, D.; Saxena, A.; Fryett, T.; Majumdar, A. Strong photon antibunching in weakly nonlinear two-dimensional exciton-polaritons. Phys. Rev. B 2018, 97, 16042. [Google Scholar] [CrossRef]
- Kira, M.; Jahnke, F.; Hoyer, W.; Koch, S.W. Quantum Theory of Spontaneous Emission and Coherent Effects in Semiconductor Microstructures. Progr. Quant. Electr. 1999, 23, 189–279. [Google Scholar] [CrossRef]
- Mak, K.F.; He, K.; Lee, C.; Lee, G.H.; Hone, J.; Heinz, T.F.; Shan, J. Tightly bound trions in monolayer MoS2. Nat. Mater. 2013, 12, 207–211. [Google Scholar] [CrossRef] [PubMed]
- Ye, Z.; Waldecker, L.; Ma, E.Y.; Rhodes, D.; Antony, A.; Kim, B.; Zhang, X.-X.; Deng, M.; Jiang, Y.; Lu, Z.; et al. Efficient generation of neutral and charged biexcitons in encapsulated WSe2 monolayers. Nat. Commun. 2018, 9, 3718. [Google Scholar] [CrossRef] [PubMed]
- Huang, J.; Hoang, T.; Mikkelsen, M. Probing the origin of excitonic states in monolayer WSe2. Sci Rep. 2016, 6, 22414. [Google Scholar] [CrossRef] [PubMed]
- Hyeon-Deuk, K.; Tanimura, Y.; Cho, M. Ultrafast exciton transfers in DNA and its nonlinear optical spectroscopy. J. Chem. Phys. 2008, 128, 135102. [Google Scholar] [CrossRef] [PubMed]
- Ahn, T.-S.; Muller, A.M.; Al-Kaysi, R.O.; Spano, F.C.; Norton, J.E.; Beljonne, D.; Bredas, J.L.; Bardeen, C.J. Experimental and theoretical study of temperature dependent exciton delocalization and relaxation in anthracene thin films. J. Chem. Phys. 2008, 128, 054505. [Google Scholar] [CrossRef] [PubMed]
- Nakamura, R.; Hamada, N.; Ichida, H.; Tokunaga, F.; Kanematsu, Y. Coherent oscillations in ultrafast fluorescence of photoactive yellow protein. J. Chem. Phys. 2007, 127, 215102. [Google Scholar] [CrossRef]
- Zhao, Y.; Sun, K.W.; Chen, L.P.; Gelin, M.F. The hierarchy of Davydov’s Ansätze and its applications. WIREs Comput. Mol. Sci. 2021, 12, e1589. [Google Scholar] [CrossRef]
- Zhao, Y. The hierarchy of Davydov’s Ansaetze: From guesswork to numerically "exact" many-body wave functions. J. Chem. Phys. 2023, 158, 080901. [Google Scholar] [CrossRef]
- Zheng, F.; Shen, Y.; Sun, K.; Zhao, Y. Photon-assisted Landau-Zener transitions in a periodically driven Rabi dimer coupled to a dissipative mode. J. Chem. Phys. 2021, 154, 044102. [Google Scholar] [CrossRef] [PubMed]
- Huang, Z.; Zheng, F.; Zhang, Y.; Wei, Y.; Zhao, Y. Dissipative dynamics in a tunable Rabi dimer with periodic harmonic driving. J. Chem. Phys. 2019, 150, 184116. [Google Scholar] [CrossRef] [PubMed]
- Sun, K.W.; Xu, Q.; Chen, L.P.; Gelin, M.; Zhao, Y. Temperature effects on singlet fission dynamics mediated by a conical intersection. J. Chem. Phys. 2020, 153, 194106. [Google Scholar] [CrossRef]
- Sun, K.; Liu, X.; Hu, W.; Zhang, M.; Long, G.; Zhao, Y. Singlet fission dynamics and optical spectra of pentacene and its derivatives. Phys. Chem. Chem. Phys. 2021, 23, 12654–12667. [Google Scholar] [CrossRef]
- Shen, K.; Sun, K.; Gelin, M.F.; Zhao, Y. Finite-Temperature Hole-Magnon Dynamics in an Antiferromagnet. J. Phys. Chem. Lett. 2024, 15, 447–453. [Google Scholar] [CrossRef]
- Shen, K.; Gelin, M.F.; Sun, K.; Zhao, Y. Dynamics of a Magnetic Polaron in an Antiferromagnet. Materials 2024, 17, 469. [Google Scholar] [CrossRef]
- Chen, L.; Zhao, Y. Finite temperature dynamics of a Holstein polaron: The thermo-field dynamics approach. J. Chem. Phys. 2017, 147, 214102. [Google Scholar] [CrossRef]
- Borrelli, R.; Gelin, M.F. Finite temperature quantum dynamics of complex systems: Integrating thermo-field theories and tensor-train methods. WIREs Comput. Mol. Sci. 2021, 11, e1539. [Google Scholar] [CrossRef]
- Ivanov, A.; Haug, H. Self-consistent theory of the biexciton optical nonlinearity. Phys. Rev. B 1993, 48, 1490. [Google Scholar] [CrossRef] [PubMed]
- Katsch, F.; Selig, M.; Carmele, A.; Knorr, A. Theory of Exciton-Exciton Interactions in Monolayer Transition Metal Dichalcogenides. Phys. Status Solidi B 2018, 255, 1800185. [Google Scholar] [CrossRef]
- Brem, S.; Selig, M.; Berghaeuser, G.; Malic, E. Exciton Relaxation Cascade in two-dimensional Transition Metal Dichalcogenides. Sci. Rep. 2018, 8, 8238. [Google Scholar] [CrossRef] [PubMed]
- Li, Z.; Graziosi, P.; Neophytou, N. Deformation potential extraction and computationally efficient mobility calculations in silicon from first principles. Phys. Rev. B 2021, 104, 195201. [Google Scholar] [CrossRef]
- Sun, K.; Shen, K.; Gelin, M.F.; Zhao, Y. Exciton Dynamics and Time-Resolved Fluorescence in Nanocavity-Integrated Monolayers of Transition-Metal Dichalcogenides. J. Phys. Chem. Lett. 2023, 14, 221–229. [Google Scholar] [CrossRef]
- Jin, Z.; Li, X.; Mullen, J.T.; Kim, K.W. Intrinsic transport properties of electrons and holes in monolayer transition-metal dichalcogenides. Phys. Rev. B Condens. Matter Mater. Phys. 2014, 90, 045422. [Google Scholar] [CrossRef]
- Deotare, P.B.; McCutcheon, M.W.; Frank, I.W.; Khan, M.; Loncar, M. High quality factor photonic crystal nanobeam cavities. Appl. Phys. Lett. 2009, 94, 121106. [Google Scholar] [CrossRef]
- Fitzgerald, J.M.; Thompson, J.J.P.; Malic, E. Twist angle tuning of moiré exciton polaritons in van der Waals heterostructures. Nano Lett. 2022, 22, 4468. [Google Scholar] [CrossRef] [PubMed]
- Panzarini, G.; Andreani, L.C.; Armitage, A.; Baxter, D.; Skolnick, M.S.; Astratov, V.N.; Roberts, J.S.; Kavokin, A.V.; Vladimirova, M.R.; Kaliteevski, M.A. Exciton-light coupling in single and coupled semiconductor microcavities: Polariton dispersion and polarization splitting. Phys. Rev. B 1999, 59, 5082. [Google Scholar] [CrossRef]
- Fitzgerald, J.M.; Rosati, R.; Ferreira, B.; Shan, H.; Schneider, C.; Malic, E. Circumventing the polariton bottleneck via dark excitons in 2D semiconductors. arXiv, 2024; arXiv:2401.03825. [Google Scholar]
- Takahashi, Y.; Umezawa, H. Thermal field dynamics. Int. J. Mod. Phys. B. 1996, 10, 1755. [Google Scholar] [CrossRef]
- Suzuki, M. Density Matrix Formalism, Double-Space and Thermo Field Dynamics in Non-Equilibrium Dissipative Systems. Int. J. Mod. Phys. B. 1991, 05, 1821. [Google Scholar] [CrossRef]
- Suzuki, M. Thermo field dynamics of quantum spin systems. J. Stat. Phys. 1986, 42, 1047. [Google Scholar] [CrossRef]
- Mukamel, S. Principles of Nonlinear Optical Spectroscopy; Oxford University Press: New York, NY, USA, 1995. [Google Scholar]
- Kormanyos, A.; Burkard, G.; Gmitra, M.; Fabian, J.; Zolyomi, V.; Drummond, N.D.; Falko, V. k· p theory for two-dimensional transition metal dichalcogenide semiconductors. 2D Mater. 2015, 2, 022001. [Google Scholar] [CrossRef]
- Laturia, A.; Van de Put, M.L.; Vandenberghe, W.G. Dielectric properties of hexagonal boron nitride and transition metal dichalcogenides: From monolayer to bulk. npj 2D Mater. Appl. 2018, 2, 6. [Google Scholar] [CrossRef]
- Chen, S.Y.; Goldstein, T.; Tong, J.; Taniguchi, T.; Watanabe, K.; Yan, J. Superior valley polarization and coherence of 2s excitons in monolayer WSe2. Phys. Rev. Lett. 2018, 120, 046402. [Google Scholar] [CrossRef]
- Li, Z.; Wang, T.; Lu, Z.; Jin, C.; Chen, Y.; Meng, Y.; Lian, Z.; Taniguchi, T.; Watanabe, K.; Zhang, S.; et al. Revealing the biexciton and trion-exciton complexes in BN encapsulated WSe2. Nat. Commun. 2018, 9, 3719. [Google Scholar] [CrossRef] [PubMed]
- Koch, S.; Kira, M.; Khitrova, G.; Gibbs, H. Semiconductor excitons in new light. Nat. Mater. 2006, 5, 523–531. [Google Scholar] [CrossRef]
- Berghäuser, G.; Malic, E. Analytical approach to excitonic properties of MoS2. Phys. Rev. B 2014, 89, 125309. [Google Scholar] [CrossRef]
- Wang, G.; Chernikov, A.; Glazov, M.M.; Heinz, T.F.; Marie, X.; Am, T.; Urbaszek, B. Colloquium: Excitons in atomically thin transition metal dichalcogenides. Rev. Mod. Phys. 2018, 90, 021001. [Google Scholar] [CrossRef]
- Wu, F.; Qu, F.; MacDonald, A.H. Exciton band structure of monolayer MoS2. Phys. Rev. B 2015, 91, 075310. [Google Scholar] [CrossRef]
- Qiu, D.Y.; Cao, T.; Louie, S.G. Nonanalyticity, valley quantum phases, and lightlike exciton dispersion in monolayer transition metal dichalcogenides: Theory and first-principles calculations. Phys. Rev. Lett. 2015, 115, 176801. [Google Scholar] [CrossRef]
- Berkelbach, T.C.; Hybertsen, M.S.; Reichman, D.R. Theory of neutral and charged excitons in monolayer transition metal dichalcogenides. Phys. Rev. B Condens. Matter Mater. Phys. 2013, 88, 045318. [Google Scholar] [CrossRef]
- Mandal, A.; Taylor, M.A.; Weight, B.M.; Koessler, E.R.; Li, X.; Huo, P. Theoretical advances in polariton chemistry and molecular cavity quantum electrodynamics. Chem. Rev. 2023, 123, 9786–9879. [Google Scholar] [CrossRef] [PubMed]
- Zhang, L.; Gogna, R.; Burg, W.; Tutuc, E.; Deng, H. Photonic-crystal exciton-polaritons in monolayer semiconductors. Nature Commun. 2018, 9, 713. [Google Scholar] [CrossRef] [PubMed]
- Dufferwiel, S.; Schwarz, S.; Withers, F.; Trichet, A.A.P.; Li, F.; Sich, M.; Del Pozo-Zamudio, O.; Clark, C.; Nalitov, A.; Solnyshkov, D.D.; et al. Exciton–polaritons in van der Waals heterostructures embedded in tunable microcavities. Nat. Commun. 2015, 6, 8579. [Google Scholar] [CrossRef]
- Kravtsov, V.; Khestanova, E.; Benimetskiy, F.A.; Ivanova, T.; Samusev, A.K.; Sinev, I.S.; Pidgayko, D.; Mozharov, A.M.; Mukhin, I.S.; Lozhkin, M.S.; et al. Nonlinear polaritons in a monolayer semiconductor coupled to optical bound states in the continuum. Light Sci. Appl. 2020, 9, 56. [Google Scholar] [CrossRef] [PubMed]
- Zhao, Y.; Knox, R.S. A Brownian Oscillator Approach to the Kennard-Stepanov Relation. J. Phys. Chem. A 2000, 104, 7751–7761. [Google Scholar] [CrossRef]
- Gelin, M.F.; Pisliakov, A.V.; Domcke, W. Time and Frequency Gated Spontaneous Emission as a Tool for Studying Vibrational Dynamics in the Excited State. Phys. Rev. A 2002, 65, 062507. [Google Scholar] [CrossRef]
- Domcke, W.; Yarkony, D.; Köppel, H. Conical Intersections: Electronic Structure, Dynamics and Spectroscopy; World Scientific: Singapore, 2004. [Google Scholar]
- Chen, L.; Gelin, M.F.; Domcke, W.; Zhao, Y. Mapping of Wave Packet Dynamics at Conical Intersections by Time- and Frequency-Resolved Fluorescence Spectroscopy: A Computational Study. J. Phys. Chem. Lett. 2019, 10, 5873–5880. [Google Scholar] [CrossRef]
- Gale, J.; Garcia-Vidal, F.J.; Feist, J. Cavity-induced modifications of molecular structure in the strong-coupling regime. Phys. Rev. X 2015, 5, 041022. [Google Scholar]
- Deshmukh, R.; Marques, P.; Panda, A.; Sfeir, M.Y.; Forrest, S.R.; Menon, V.M. Modifying the spectral weights of vibronic transitions via strong coupling to surface plasmons. ACS Photonics 2019, 7, 43–48. [Google Scholar] [CrossRef]
- Gelin, M.F.; Chen, L.; Borrelli, R.; Thyrhaug, E. Generalized Huang-Rhys factors for molecular aggregates. Chem. Phys. 2020, 528, 110495. [Google Scholar] [CrossRef]
- Shan, H.; Iorsh, I.; Han, B.; Rupprecht, C.; Knopf, H.; Eilenberger, F.; Esmann, M.; Yumigeta, K.; Watanabe, K.; Taniguchi, T.; et al. Brightening of a dark monolayer semiconductor via strong light-matter coupling in a cavity. Nat. Commun. 2022, 13, 3001. [Google Scholar] [CrossRef]
- Mueller, N.S.; Arul, R.; Kang, G.; Saunders, A.P.; Johnson, A.C.; Sánchez-Iglesias, A.; Hu, S.; Jakob, L.A.; Bar-David, J.; de Nijs, B.; et al. Photoluminescence upconversion in monolayer WSe2 activated by plasmonic cavities through resonant excitation of dark excitons. Nat. Commun. 2023, 14, 5726. [Google Scholar] [CrossRef] [PubMed]





| Mode | K | ||
|---|---|---|---|
| 0 | 11.6 | 15.6 | |
| 0 | 14.3 | 18 | |
| 30.5 | 27.3 | 26.7 | |
| 30.8 | 32.5 | 31.5 | |
| 30.8 | 30.4 | 31 |
Disclaimer/Publisher’s Note: The statements, opinions and data contained in all publications are solely those of the individual author(s) and contributor(s) and not of MDPI and/or the editor(s). MDPI and/or the editor(s) disclaim responsibility for any injury to people or property resulting from any ideas, methods, instructions or products referred to in the content. |
© 2024 by the authors. Licensee MDPI, Basel, Switzerland. This article is an open access article distributed under the terms and conditions of the Creative Commons Attribution (CC BY) license (https://creativecommons.org/licenses/by/4.0/).
Share and Cite
Shen, K.; Sun, K.; Gelin, M.F.; Zhao, Y. Cavity-Tuned Exciton Dynamics in Transition Metal Dichalcogenides Monolayers. Materials 2024, 17, 4127. https://doi.org/10.3390/ma17164127
Shen K, Sun K, Gelin MF, Zhao Y. Cavity-Tuned Exciton Dynamics in Transition Metal Dichalcogenides Monolayers. Materials. 2024; 17(16):4127. https://doi.org/10.3390/ma17164127
Chicago/Turabian StyleShen, Kaijun, Kewei Sun, Maxim F. Gelin, and Yang Zhao. 2024. "Cavity-Tuned Exciton Dynamics in Transition Metal Dichalcogenides Monolayers" Materials 17, no. 16: 4127. https://doi.org/10.3390/ma17164127
APA StyleShen, K., Sun, K., Gelin, M. F., & Zhao, Y. (2024). Cavity-Tuned Exciton Dynamics in Transition Metal Dichalcogenides Monolayers. Materials, 17(16), 4127. https://doi.org/10.3390/ma17164127

