A Novel PAMAM G3 Dendrimer-Based Foam with Polyether Polyol and Castor Oil Components as Drug Delivery System into Cancer and Normal Cells
Abstract
1. Introduction
2. Materials and Methods
2.1. Materials
2.2. PAMAM G3 Dendrimer Foaming Procedure
2.3. Analytical Methods
2.4. Drug Immobilization
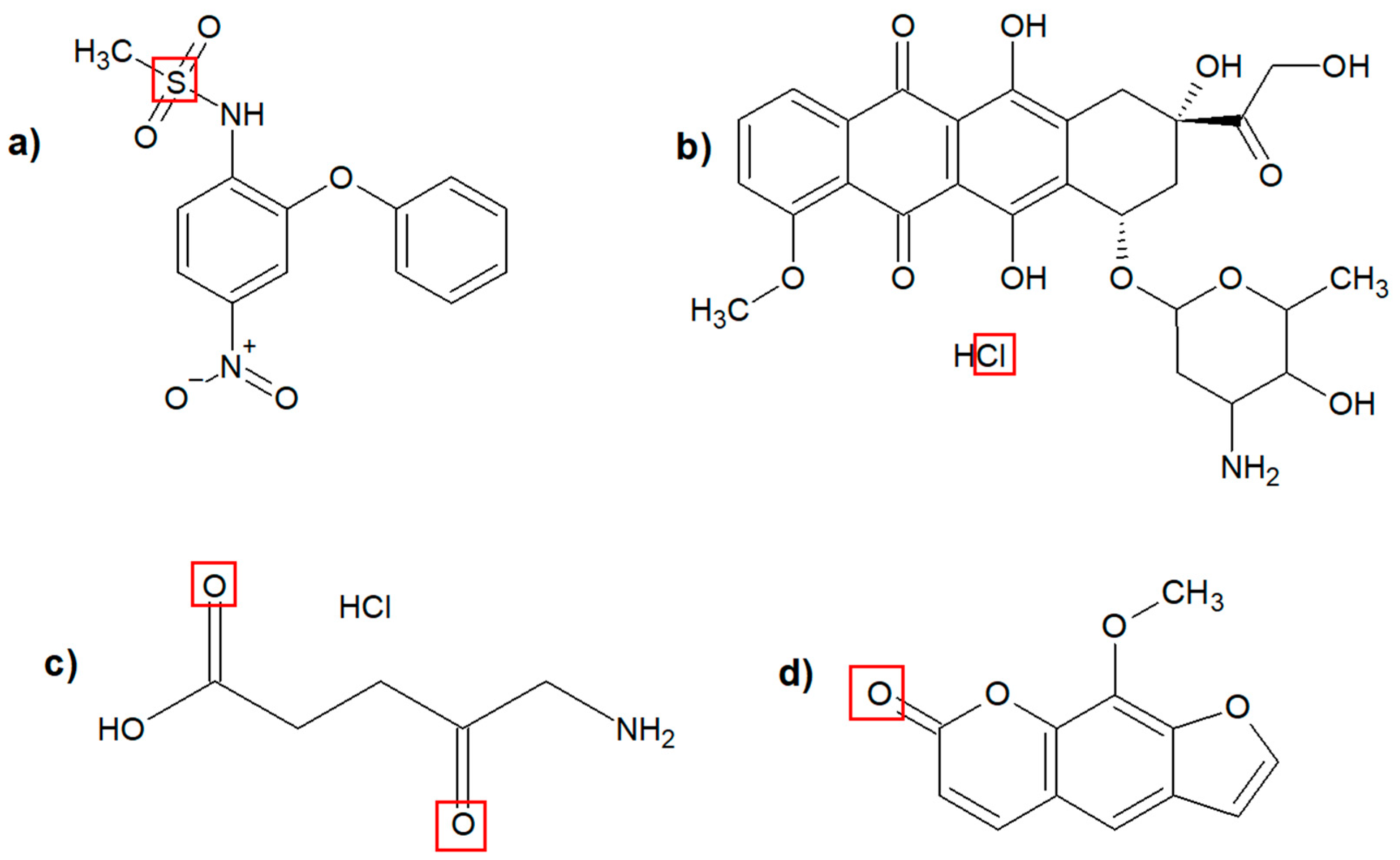
2.4.1. Drug Solutions
2.4.2. Drug Immobilization for XPS Analysis
2.4.3. Immobilization of Drugs for Cell Culture Study
2.5. Cell Culture
2.6. Direct Contact Cytotoxicity Assay
2.7. Extract Cytotoxicity Assay with Neutral Red NR and XTT
2.8. Cellular Uptake of Doxorubicin Released Form Foams
2.9. Statistical Analysis
3. Results and Discussion
3.1. PAMAM G3 Dendrimer Foaming Procedure
3.2. Properties of PAMAM G3 Dendrimer-Based Foams
3.3. The Morphology of PAMAM G3 Dendrimer-Based Foams
3.4. Drug Encapsulation Efficiency in the PF1 and PF2 Matrices
3.5. Cytotoxicity
3.6. Cellular Uptake of Doxorubicin Released from Foams
4. Conclusions
Supplementary Materials
Author Contributions
Funding
Institutional Review Board Statement
Informed Consent Statement
Data Availability Statement
Conflicts of Interest
References
- Tomalia, D.A.; Fréchet, J.M.J. Discovery of Dendrimers and Dendritic Polymers: A Brief Historical Perspective. J. Polym. Sci. A Polym. Chem. 2002, 40, 2719–2728. [Google Scholar] [CrossRef]
- Tomalia, D.A.; Huang, B.; Swanson, D.R.; Brothers, H.M.; Klimash, J.W. Structure Control within Poly(Amidoamine) Dendrimers: Size, Shape and Regio-Chemical Mimicry of Globular Proteins. Tetrahedron 2003, 59, 3799–3813. [Google Scholar] [CrossRef]
- Schmitzer, A.R.; Franceschi, S.; Perez, E.; Rico-Lattes, I.; Lattes, A.; Thion, L.; Erard, M.; Vidal, C. Reactivity at the Interface of Chiral Amphiphilic Dendrimers. High Asymmetric Reduction by NaBH4 of Various Prochiral Ketones. J. Am. Chem. Soc. 2001, 123, 5956–5961. [Google Scholar] [CrossRef] [PubMed]
- Jevprasesphant, R.; Penny, J.; Jalal, R.; Attwood, D.; McKeown, N.B.; D’Emanuele, A. The Influence of Surface Modification on the Cytotoxicity of PAMAM Dendrimers. Int. J. Pharm. 2003, 252, 263–266. [Google Scholar] [CrossRef]
- Joubert, F.; Munson, M.J.; Sabirsh, A.; England, R.M.; Hemmerling, M.; Alexander, C.; Ashford, M.B. Precise and Systematic End Group Chemistry Modifications on PAMAM and Poly(l-Lysine) Dendrimers to Improve Cytosolic Delivery of mRNA. J. Control. Release 2023, 356, 580–594. [Google Scholar] [CrossRef] [PubMed]
- Sorroza-Martínez, K.; González-Méndez, I.; Martínez-Serrano, R.D.; Solano, J.D.; Ruiu, A.; Illescas, J.; Zhu, X.X.; Rivera, E. Efficient Modification of PAMAM G1 Dendrimer Surface with β-Cyclodextrin Units by CuAAC: Impact on the Water Solubility and Cytotoxicity. RSC Adv. 2020, 10, 25557–25566. [Google Scholar] [CrossRef] [PubMed]
- Lyu, Z.; Ding, L.; Huang, A.Y.-T.; Kao, C.-L.; Peng, L. Poly(Amidoamine) Dendrimers: Covalent and Supramolecular Synthesis. Mater. Today Chem. 2019, 13, 34–48. [Google Scholar] [CrossRef]
- Esfand, R.; Tomalia, D.A. Poly(Amidoamine) (PAMAM) Dendrimers: From Biomimicry to Drug Delivery and Biomedical Applications. Drug Discov. Today 2001, 6, 427–436. [Google Scholar] [CrossRef] [PubMed]
- Nasibullah, M.; Hassan, F.; Ahmad, N.; Khan, A.R.; Rahman, M. Dendrimers as Novel Polymeric Material: A Review on Its Synthesis, Characterization and Their Applications. Adv. Sci. Focus 2013, 1, 197–204. [Google Scholar] [CrossRef]
- Chis, A.A.; Dobrea, C.; Morgovan, C.; Arseniu, A.M.; Rus, L.L.; Butuca, A.; Juncan, A.M.; Totan, M.; Vonica-Tincu, A.L.; Cormos, G.; et al. Applications and Limitations of Dendrimers in Biomedicine. Molecules 2020, 25, 3982. [Google Scholar] [CrossRef]
- Kharwade, R.; More, S.; Warokar, A.; Agrawal, P.; Mahajan, N. Starburst Pamam Dendrimers: Synthetic Approaches, Surface Modifications, and Biomedical Applications. Arab. J. Chem. 2020, 13, 6009–6039. [Google Scholar] [CrossRef]
- Vu, M.T.; Bach, L.G.; Nguyen, D.C.; Ho, M.N.; Nguyen, N.H.; Tran, N.Q.; Nguyen, D.H.; Nguyen, C.K.; Hoang Thi, T.T. Modified Carboxyl-Terminated PAMAM Dendrimers as Great Cytocompatible Nano-Based Drug Delivery System. Int. J. Mol. Sci. 2019, 20, 2016. [Google Scholar] [CrossRef] [PubMed]
- Saluja, V.; Mishra, Y.; Mishra, V.; Giri, N.; Nayak, P. Dendrimers Based Cancer Nanotheranostics: An Overview. Int. J. Pharm. 2021, 600, 120485. [Google Scholar] [CrossRef] [PubMed]
- Shadrack, D.M.; Swai, H.S.; Munissi, J.J.E.; Mubofu, E.B.; Nyandoro, S.S. Polyamidoamine Dendrimers for Enhanced Solubility of Small Molecules and Other Desirable Properties for Site Specific Delivery: Insights from Experimental and Computational Studies. Molecules 2018, 23, 1419. [Google Scholar] [CrossRef] [PubMed]
- Choudhary, S.; Gupta, L.; Rani, S.; Dave, K.; Gupta, U. Impact of Dendrimers on Solubility of Hydrophobic Drug Molecules. Front. Pharmacol. 2017, 8, 261. [Google Scholar] [CrossRef] [PubMed]
- Kim, Y.; Park, E.J.; Na, D.H. Recent Progress in Dendrimer-Based Nanomedicine Development. Arch. Pharm. Res. 2018, 41, 571–582. [Google Scholar] [CrossRef] [PubMed]
- Wong, K.H.; Guo, Z.; Law, M.-K.; Chen, M. Functionalized PAMAM Constructed Nanosystems for Biomacromolecule Delivery. Biomater. Sci. 2023, 11, 1589–1606. [Google Scholar] [CrossRef] [PubMed]
- Surekha, B.; Kommana, N.S.; Dubey, S.K.; Kumar, A.V.P.; Shukla, R.; Kesharwani, P. PAMAM Dendrimer as a Talented Multifunctional Biomimetic Nanocarrier for Cancer Diagnosis and Therapy. Colloids Surf. B Biointerfaces 2021, 204, 111837. [Google Scholar] [CrossRef] [PubMed]
- Abedi-Gaballu, F.; Dehghan, G.; Ghaffari, M.; Yekta, R.; Abbaspour-Ravasjani, S.; Baradaran, B.; Ezzati Nazhad Dolatabadi, J.; Hamblin, M.R. PAMAM Dendrimers as Efficient Drug and Gene Delivery Nanosystems for Cancer Therapy. Appl. Mater. Today 2018, 12, 177–190. [Google Scholar] [CrossRef]
- Li, J.; Liang, H.; Liu, J.; Wang, Z. Poly (Amidoamine) (PAMAM) Dendrimer Mediated Delivery of Drug and pDNA/siRNA for Cancer Therapy. Int. J. Pharm. 2018, 546, 215–225. [Google Scholar] [CrossRef]
- Maji, S.; Agarwal, T.; Maiti, T.K. PAMAM (Generation 4) Incorporated Gelatin 3D Matrix as an Improved Dermal Substitute for Skin Tissue Engineering. Colloids Surf. B Biointerfaces 2017, 155, 128–134. [Google Scholar] [CrossRef] [PubMed]
- Cai, C.; Wang, F.; Cui, W.; Fan, C.; Liu, S. Fabrication and Characterization of Matrix Metalloproteinase-Responsive G4 PAMAM-IBU/GelMA Hydrogel. J. Shanghai Jiaotong Univ. (Med. Sci.) 2021, 41, 140. [Google Scholar]
- Dung, T.H.; Do, L.T.; Yoo, H. PAMAM Dendrimer Generation 5–Pluronic F127 Nanofilm as a Matrix for Local Metronidazole Release. J. Biomed. Nanotechnol. 2013, 9, 1286–1292. [Google Scholar] [CrossRef] [PubMed]
- Shifeta, N.T.; Hamukwaya, S.L.; An, Q.; Hao, H.; Mashingaidze, M.M. Layer-by-Layer Fabrication of PAH/PAMAM/Nano-CaCO3 Composite Films and Characterization for Enhanced Biocompatibility. Int. J. Biomater. 2022, 2022, e6331465. [Google Scholar] [CrossRef] [PubMed]
- Maimouni, I.; Cejas, C.M.; Cossy, J.; Tabeling, P.; Russo, M. Microfluidics Mediated Production of Foams for Biomedical Applications. Micromachines 2020, 11, 83. [Google Scholar] [CrossRef] [PubMed]
- Hoc, D.; Haznar-Garbacz, D. Foams as Unique Drug Delivery Systems. Eur. J. Pharm. Biopharm. 2021, 167, 73–82. [Google Scholar] [CrossRef] [PubMed]
- Duarte, A.R.C.; Mano, J.F.; Reis, R.L. Preparation of Starch-Based Scaffolds for Tissue Engineering by Supercritical Immersion Precipitation. J. Supercrit. Fluids 2009, 49, 279–285. [Google Scholar] [CrossRef]
- Wu, C.; Wang, Z.; Zhi, Z.; Jiang, T.; Zhang, J.; Wang, S. Development of Biodegradable Porous Starch Foam for Improving Oral Delivery of Poorly Water Soluble Drugs. Int. J. Pharm. 2011, 403, 162–169. [Google Scholar] [CrossRef] [PubMed]
- Svagan, A.J.; Benjamins, J.-W.; Al-Ansari, Z.; Shalom, D.B.; Müllertz, A.; Wågberg, L.; Löbmann, K. Solid Cellulose Nanofiber Based Foams–Towards Facile Design of Sustained Drug Delivery Systems. J. Control. Release 2016, 244, 74–82. [Google Scholar] [CrossRef]
- Sokolowski, W. Shape Memory Polymer Foams for Biomedical Devices. Open Med. Devices J. 2010, 2, 20–23. [Google Scholar] [CrossRef]
- Shoichet, M.S. Polymer Scaffolds for Biomaterials Applications. Macromolecules 2010, 43, 581–591. [Google Scholar] [CrossRef]
- Lowinger, M.B.; Barrett, S.E.; Zhang, F.; Williams, R.O. Sustained Release Drug Delivery Applications of Polyurethanes. Pharmaceutics 2018, 10, 55. [Google Scholar] [CrossRef] [PubMed]
- Alves, F.C.; dos Santos, V.F.; Monticeli, F.M.; Ornaghi, H.; Barud, H.d.S.; Mulinari, D.R. Efficiency of Castor Oil–Based Polyurethane Foams for Oil Sorption S10 and S500: Influence of Porous Size and Statistical Analysis. Polym. Polym. Compos. 2021, 29, S1063–S1074. [Google Scholar] [CrossRef]
- Kaikade, D.S.; Sabnis, A.S. Polyurethane Foams from Vegetable Oil-Based Polyols: A Review. Polym. Bull. 2023, 80, 2239–2261. [Google Scholar] [CrossRef]
- Bresolin, D.; Valério, A.; de Oliveira, D.; Lenzi, M.K.; Sayer, C.; de Araújo, P.H.H. Polyurethane Foams Based on Biopolyols from Castor Oil and Glycerol. J. Polym. Environ. 2018, 26, 2467–2475. [Google Scholar] [CrossRef]
- Hejna, A.; Kosmela, P.; Klein, M.; Gosz, K.; Formela, K.; Haponiuk, J.; Piszczyk, Ł. Rheological Properties, Oxidative and Thermal Stability, and Potential Application of Biopolyols Prepared via Two-Step Process from Crude Glycerol. Polym. Degrad. Stab. 2018, 152, 29–42. [Google Scholar] [CrossRef]
- Salcedo, M.L.D.; Omisol, C.J.M.; Maputi, A.O.; Estrada, D.J.E.; Aguinid, B.J.M.; Asequia, D.M.A.; Erjeno, D.J.D.; Apostol, G.; Siy, H.; Malaluan, R.M.; et al. Production of Bio-Based Polyol from Coconut Fatty Acid Distillate (CFAD) and Crude Glycerol for Rigid Polyurethane Foam Applications. Materials 2023, 16, 5453. [Google Scholar] [CrossRef] [PubMed]
- Gurunathan, T.; Mohanty, S.; Nayak, S.K. Isocyanate Terminated Castor Oil-Based Polyurethane Prepolymer: Synthesis and Characterization. Prog. Org. Coat. 2015, 80, 39–48. [Google Scholar] [CrossRef]
- Li, Q.F.; Feng, Y.L.; Wang, J.W.; Yin, N.; Zhao, Y.H.; Kang, M.Q.; Wang, X.W. Preparation and Properties of Rigid Polyurethane Foam Based on Modified Castor Oil. Plast. Rubber Compos. 2016, 45, 16–21. [Google Scholar] [CrossRef]
- Stirna, U.; Lazdiņa, B.; Vilsone, D.; Lopez, M.J.; Vargas-Garcia, M.d.C.; Suárez-Estrella, F.; Moreno, J. Structure and Properties of the Polyurethane and Polyurethane Foam Synthesized from Castor Oil Polyols. J. Cell. Plast. 2012, 48, 476–488. [Google Scholar] [CrossRef]
- Lee, J.H.; Kim, S.H.; Oh, K.W. Bio-Based Polyurethane Foams with Castor Oil Based Multifunctional Polyols for Improved Compressive Properties. Polymers 2021, 13, 576. [Google Scholar] [CrossRef] [PubMed]
- Momoh, A.O.; Oladunmoye, M.K.; Adebolu, T.T. Evaluation of the Antimicrobial and Phytochemical Properties of Oil from Castor Seeds (Ricinus Communis Linn). Bull. Environ. Pharmacol. Life Sci. 2012, 1, 21–27. [Google Scholar]
- Obisesan, I.A.; Tubi, E.O.; Eyinade, O.O.; Adeniran, O.M. Antifungal Activities of Black Seed, Castor and Lemon Oils against Pathogenic Plant Fungi. Trop. J. Nat. Prod. Res. 2022, 6, p2057. [Google Scholar]
- Singh, N.; Baby, D.; Rajguru, J.P.; Patil, P.B.; Thakkannavar, S.S.; Pujari, V.B. Inflammation and Cancer. Ann. Afr. Med. 2019, 18, 121–126. [Google Scholar] [CrossRef] [PubMed]
- Sung, Y.K.; Kim, S.W. Recent Advances in Polymeric Drug Delivery Systems. Biomater. Res. 2020, 24, 12. [Google Scholar] [CrossRef] [PubMed]
- Cho, Y.-S.; Lee, J.-W.; Lee, J.-S.; Lee, J.H.; Yoon, T.R.; Kuroyanagi, Y.; Park, M.H.; Kim, H.J. Hyaluronic Acid and Silver Sulfadiazine-Impregnated Polyurethane Foams for Wound Dressing Application. J. Mater. Sci. Mater. Med. 2002, 13, 861–865. [Google Scholar] [CrossRef] [PubMed]
- Namviriyachote, N.; Lipipun, V.; Akkhawattanangkul, Y.; Charoonrut, P.; Ritthidej, G. Development of Polyurethane Foam Dressing Containing Silver and Asiaticoside for Healing of Dermal Wound. Asian J. Pharm. Sci. 2018, 14, 63–77. [Google Scholar] [CrossRef] [PubMed]
- Han, S.K.; Song, M.; Choi, K.; Choi, S.-W. Fabrication of Biodegradable Polyurethane Foam Scaffolds with Customized Shapes and Controlled Mechanical Properties by Gas Foaming Technique. Macromol. Mater. Eng. 2021, 306, 2100114. [Google Scholar] [CrossRef]
- Rivankar, S. An Overview of Doxorubicin Formulations in Cancer Therapy. J. Cancer Res. Ther. 2014, 10, 853. [Google Scholar] [CrossRef]
- Sivak, W.N.; Zhang, J.; Petoud, S.; Beckman, E.J. Simultaneous Drug Release at Different Rates from Biodegradable Polyurethane Foams. Acta Biomater. 2009, 5, 2398–2408. [Google Scholar] [CrossRef]
- Zhang, M.; Zhu, J.; Zheng, Y.; Guo, R.; Wang, S.; Mignani, S.; Caminade, A.-M.; Majoral, J.-P.; Shi, X. Doxorubicin-Conjugated PAMAM Dendrimers for pH-Responsive Drug Release and Folic Acid-Targeted Cancer Therapy. Pharmaceutics 2018, 10, 162. [Google Scholar] [CrossRef]
- Szota, M.; Jachimska, B. Effect of Alkaline Conditions on Forming an Effective G4.0 PAMAM Complex with Doxorubicin. Pharmaceutics 2023, 15, 875. [Google Scholar] [CrossRef] [PubMed]
- Marcinkowska, M.; Sobierajska, E.; Stanczyk, M.; Janaszewska, A.; Chworos, A.; Klajnert-Maculewicz, B. Conjugate of PAMAM Dendrimer, Doxorubicin and Monoclonal Antibody—Trastuzumab: The New Approach of a Well-Known Strategy. Polymers 2018, 10, 187. [Google Scholar] [CrossRef]
- Fei, Z.; Hongbin, Z.; Zinan, Z. Cross-Linking Agent, Rigid Polyurethane Foam Material and Preparation Method Thereof 2010. Available online: https://patents.justia.com/patent/10604615 (accessed on 22 May 2024).
- Uram, Ł.; Szuster, M.; Gargasz, K.; Filipowicz, A.; Wałajtys-Rode, E.; Wołowiec, S. In Vitro Cytotoxicity of the Ternary PAMAM G3-Pyridoxal-Biotin Bioconjugate. Int. J. Nanomed. 2013, 8, 4707–4720. [Google Scholar] [CrossRef][Green Version]
- UNE EN ISO 845:2010; Cellular Plastics and Rubbers-Determination of Apparent Density (ISO 845:2006). International Organization for Standardization: Geneva, Switzerland, 2010. Available online: https://www.en-standard.eu/une-en-iso-845-2010-cellular-plastics-and-rubbers-determination-of-apparent-density-iso-845-2006/ (accessed on 22 May 2024).
- Standard Test Method for Water Absorption of Rigid Cellular Plastics. Available online: https://www.astm.org/d2842-19.html (accessed on 22 May 2024).
- ISO/ASTM 51631:2020; Practice for Use of Calorimetric Dosimetry Systems for Dose Measurements and Dosimetry System Calibration in Electron Beams. International Organization for Standardization: Geneva, Switzerland, 2020.
- Park, J.-C.; Park, B.J.; Lee, D.H.; Suh, H.; Kim, D.-G.; Kwon, O.-H. Evaluation of the Cytotoxicity of Polyetherurethane (PU) Film Containing Zinc Diethyldithiocarbamate (ZDEC) on Various Cell Lines. Yonsei Med. J. 2002, 43, 518–526. [Google Scholar] [CrossRef] [PubMed]
- US Pharmacopeia. Chapter 87: Biological Reactivity Test, In Vitro. Available online: https://www.drugfuture.com/pharmacopoeia/usp32/pub/data/v32270/usp32nf27s0_c87.html (accessed on 5 June 2024).
- ISO 10993-12; Biological Evaluation of Medical devices-Part 12: Sample Preparation and Reference Materials. International Organization for Standardization: Geneva, Switzerland, 2021.
- Uram, Ł.; Szuster, M.; Filipowicz, A.; Zaręba, M.; Wałajtys-Rode, E.; Wołowiec, S. Cellular Uptake of Glucoheptoamidated Poly(Amidoamine) PAMAM G3 Dendrimer with Amide-Conjugated Biotin, a Potential Carrier of Anticancer Drugs. Bioorg Med. Chem. 2017, 25, 706–713. [Google Scholar] [CrossRef]
- Arévalo-Alquichire, S.; Valero, M.; Arévalo-Alquichire, S.; Valero, M. Castor Oil Polyurethanes as Biomaterials. In Elastomers; IntechOpen: London, UK, 2017; ISBN 978-953-51-3488-6. [Google Scholar]
- Gao, Z.; Peng, J.; Zhong, T.; Sun, J.; Wang, X.; Yue, C. Biocompatible Elastomer of Waterborne Polyurethane Based on Castor Oil and Polyethylene Glycol with Cellulose Nanocrystals. Carbohydr. Polym. 2012, 87, 2068–2075. [Google Scholar] [CrossRef]
- Hussain Shaik, A.; Jain, R.; Manchikanti, S.; Krishnamoorthy, K.; Kumar Bal, D.; Rahaman, A.; Agashe, S.; Rehaan Chandan, M. Reinstating Structural Stability of Castor Oil Based Flexible Polyurethane Foam Using Glycerol. ChemistrySelect 2020, 5, 3959–3964. [Google Scholar] [CrossRef]
- Janaszewska, A.; Lazniewska, J.; Trzepiński, P.; Marcinkowska, M.; Klajnert-Maculewicz, B. Cytotoxicity of Dendrimers. Biomolecules 2019, 9, 330. [Google Scholar] [CrossRef] [PubMed]
- Li, X.; Naeem, A.; Xiao, S.; Hu, L.; Zhang, J.; Zheng, Q. Safety Challenges and Application Strategies for the Use of Dendrimers in Medicine. Pharmaceutics 2022, 14, 1292. [Google Scholar] [CrossRef] [PubMed]
- Berridge, M.V.; Herst, P.M.; Tan, A.S. Tetrazolium Dyes as Tools in Cell Biology: New Insights into Their Cellular Reduction. In Biotechnology Annual Review; Elsevier: Amsterdam, The Netherlands, 2005; Volume 11, pp. 127–152. [Google Scholar]
- Grzęda, D.; Węgrzyk, G.; Nowak, A.; Idaszek, J.; Szczepkowski, L.; Ryszkowska, J. Cytotoxic Properties of Polyurethane Foams for Biomedical Applications as a Function of Isocyanate Index. Polymers 2023, 15, 2754. [Google Scholar] [CrossRef] [PubMed]
- Szycher, M.; Siciliano, A.A. An Assessment of 2,4 TDA Formation from Surgitek Polyurethane Foam under Simulated Physiological Conditions. J. Biomater. Appl. 1991, 5, 323–336. [Google Scholar] [CrossRef] [PubMed]
- Santerre, J.P.; Woodhouse, K.; Laroche, G.; Labow, R.S. Understanding the Biodegradation of Polyurethanes: From Classical Implants to Tissue Engineering Materials. Biomaterials 2005, 35, 7457–7470. [Google Scholar] [CrossRef] [PubMed]
- Wendels, S.; Avérous, L. Biobased Polyurethanes for Biomedical Applications. Bioact. Mater. 2021, 6, 1083–1106. [Google Scholar] [CrossRef] [PubMed]
- Tanzi, M.; Gantz, D.; Bertoldi, S.; Contessi Negrini, N.; Haugen, H. Polymers and Scaffolds with Improved Blood Compatibility and Enhanced Cellular Response with Focus on Polyurethane Foams Functionalized with Amino-Amide Groups. J. Adv. Biotechnol. Bioeng. 2019, 7, 18–29. [Google Scholar] [CrossRef]
- Sebaugh, J.L. Guidelines for Accurate EC50/IC50 Estimation. Pharmaceut. Statist. 2011, 10, 128–134. [Google Scholar] [CrossRef] [PubMed]
- Pooresmaeil, M.; Namazi, H. Advances in Development of the Dendrimers Having Natural Saccharides in Their Structure for Efficient and Controlled Drug Delivery Applications. Eur. Polym. J. 2021, 148, 110356. [Google Scholar] [CrossRef]
- Szuster, M.; Uram, Ł.S.; Filipowicz-Rachwał, A.; Wołowiec, S.; Wałajtys-Rode, E. Evaluation of the Localization and Biological Effects of PAMAM G3 Dendrimer-Biotin/Pyridoxal Conjugate as HaCaT Keratinocyte Targeted Nanocarrier. Acta Biochim. Pol. 2019, 66, 191–200. [Google Scholar] [CrossRef]
- Liu, J.; Liu, J.; Chu, L.; Tong, L.; Gao, H.; Yang, C.; Wang, D.; Shi, L.; Kong, D.; Li, Z. Synthesis, Biodistribution, and Imaging of PEGylated-Acetylated Polyamidoamine Dendrimers. J. Nanosci. Nanotechnol. 2014, 14, 3305–3312. [Google Scholar] [CrossRef]
- Tsujimoto, A.; Uehara, H.; Yoshida, H.; Nishio, M.; Furuta, K.; Inui, T.; Matsumoto, A.; Morita, S.; Tanaka, M.; Kojima, C. Different Hydration States and Passive Tumor Targeting Ability of Polyethylene Glycol-Modified Dendrimers with High and Low PEG Density. Mater. Sci. Eng. C Mater. Biol. Appl. 2021, 126, 112159. [Google Scholar] [CrossRef]
- Peter, S.; Alven, S.; Maseko, R.B.; Aderibigbe, B.A. Doxorubicin-Based Hybrid Compounds as Potential Anticancer Agents: A Review. Molecules 2022, 27, 4478. [Google Scholar] [CrossRef]
- Li, Y.; He, H.; Lu, W.; Jia, X. A Poly(Amidoamine) Dendrimer-Based Drug Carrier for Delivering DOX to Gliomas Cells. RSC Adv. 2017, 7, 15475–15481. [Google Scholar] [CrossRef]
- Singh, V.; Kesharwani, P. Dendrimer as a Promising Nanocarrier for the Delivery of Doxorubicin as an Anticancer Therapeutics. J. Biomater. Sci. Polym. Ed. 2021, 32, 1882–1909. [Google Scholar] [CrossRef] [PubMed]
- Czarnik-Kwaśniak, J.; Kwaśniak, K.; Tutaj, K.; Filiks, I.; Uram, Ł.; Stompor, M.; Wołowiec, S. Glucoheptoamidated Polyamidoamine PAMAM G3 Dendrimer as a Vehicle for Succinate Linked Doxorubicin; Enhanced Toxicity of DOX against Grade IV Glioblastoma U-118 MG Cells. J. Drug Deliv. Sci. Technol. 2020, 55, 101424. [Google Scholar] [CrossRef]
- Kashkin, K.N.; Musatkina, E.A.; Komelkov, A.V.; Favorskaya, I.A.; Trushkin, E.V.; Shleptsova, V.A.; Sakharov, D.A.; Vinogradova, T.V.; Kopantzev, E.P.; Zinovyeva, M.V.; et al. Expression Profiling and Putative Mechanisms of Resistance to Doxorubicin of Human Lung Cancer Cells. Dokl. Biochem. Biophys. 2010, 430, 20–23. [Google Scholar] [CrossRef] [PubMed]
- Pessina, A.; Raimondi, A.; Cerri, A.; Piccirillo, M.; Neri, M.G.; Croera, C.; Foti, P.; Berti, E. High Sensitivity of Human Epidermal Keratinocytes (HaCaT) to Topoisomerase Inhibitors. Cell Prolif. 2001, 34, 243–252. [Google Scholar] [CrossRef] [PubMed]
- Drug: Doxorubicin-Cancerrxgene-Genomics of Drug Sensitivity in Cancer. Available online: https://www.cancerrxgene.org/compound/Doxorubicin/133/by-tissue?tissue=CESC (accessed on 5 June 2024).
- Szota, M.; Szwedowicz, U.; Rembialkowska, N.; Janicka-Klos, A.; Doveiko, D.; Chen, Y.; Kulbacka, J.; Jachimska, B. Dendrimer Platforms for Targeted Doxorubicin Delivery—Physicochemical Properties in Context of Biological Responses. Int. J. Mol. Sci. 2024, 25, 7201. [Google Scholar] [CrossRef] [PubMed]
- Sobrinho, H.H.d.O.; Eising, R.; Wrasse, E.O. Describing the Adsorption of Doxorubicin on a PAMAM Dendrimer by Ab Initio Calculations. Mol. Syst. Des. Eng. 2023, 8, 1295–1300. [Google Scholar] [CrossRef]
- Wasiak, I.; Kulikowska, A.; Janczewska, M.; Michalak, M.; Cymerman, I.A.; Nagalski, A.; Kallinger, P.; Szymanski, W.W.; Ciach, T. Dextran Nanoparticle Synthesis and Properties. PLoS ONE 2016, 11, e0146237. [Google Scholar] [CrossRef]
- Joseph, M.M.; Aravind, S.R.; George, S.K.; Pillai, R.K.; Mini, S.; Sreelekha, T.T. Co-Encapsulation of Doxorubicin with Galactoxyloglucan Nanoparticles for Intracellular Tumor-Targeted Delivery in Murine Ascites and Solid Tumors. Transl. Oncol. 2014, 7, 525–536. [Google Scholar] [CrossRef]
- Li, L.; Zhang, P.; Yang, X.; Li, C.; Guo, Y.; Sun, K. Self-Assembly of a Disulfide-Containing Core/Shell Nanocomplex with Intracellular Environment-Sensitive Facilitated Endo-Lysosomal Escape for Enhanced Antitumor Efficacy. J. Mater. Sci. 2021, 56, 1–16. [Google Scholar] [CrossRef]
- Ibrahim, M.; Abuwatfa, W.H.; Awad, N.S.; Sabouni, R.; Husseini, G.A. Encapsulation, Release, and Cytotoxicity of Doxorubicin Loaded in Liposomes, Micelles, and Metal-Organic Frameworks: A Review. Pharmaceutics 2022, 14, 254. [Google Scholar] [CrossRef] [PubMed]
- Zhao, Y.; Alakhova, D.Y.; Kim, J.O.; Bronich, T.K.; Kabanov, A.V. A Simple Way to Enhance Doxil® Therapy: Drug Release from Liposomes at the Tumor Site by Amphiphilic Block Copolymer. J. Control. Release 2013, 168, 61–69. [Google Scholar] [CrossRef] [PubMed]
- Seynhaeve, A.L.B.; Dicheva, B.M.; Hoving, S.; Koning, G.A.; ten Hagen, T.L.M. Intact Doxil Is Taken up Intracellularly and Released Doxorubicin Sequesters in the Lysosome: Evaluated by in Vitro/in Vivo Live Cell Imaging. J. Control. Release 2013, 172, 330–340. [Google Scholar] [CrossRef]
- Almajidi, Y.Q.; Kadhim, M.M.; Alsaikhan, F.; Turki Jalil, A.; Hassan Sayyid, N.; Alexis Ramírez-Coronel, A.; Hassan Jawhar, Z.; Gupta, J.; Nabavi, N.; Yu, W.; et al. Doxorubicin-Loaded Micelles in Tumor Cell-Specific Chemotherapy. Environ. Res. 2023, 227, 115722. [Google Scholar] [CrossRef]
- Cheng, L.; Hu, Q.; Cheng, L.; Hu, W.; Xu, M.; Zhu, Y.; Zhang, L.; Chen, D. Construction and Evaluation of PAMAM-DOX Conjugates with Superior Tumor Recognition and Intracellular Acid-Triggered Drug Release Properties. Colloids Surf. B Biointerfaces 2015, 136, 37–45. [Google Scholar] [CrossRef]








| Foam Number/ Name | Substrate Ratio G3:G441:CO [wt%] | Composition | Foaming Process | Characteristics of Freshly Prepared Foams | ||||||||
|---|---|---|---|---|---|---|---|---|---|---|---|---|
| G3 [g] | G441 [g] | CO [g] | pMDI [g] | H2O [g] | Silicone [g] | TEA [g] | Time of Creaming [s] | Time of Expanding [s] | Time of Drying [min] | |||
| 1. | G3 | 2 | - | - | 1.43 | 0.04 | 0.054 | 0.034 | - | - | - | no foaming |
| 100 | ||||||||||||
| 2. | G3 | 2 | - | - | 1.43 | 0.08 | 0.054 | 0.034 | ||||
| 100 | ||||||||||||
| 3. F1 | G441 | - | 4 | - | 4.1 | 0.16 | 0.160 | 0.068 | reference polyurethane foam | |||
| 100 | ||||||||||||
| 4. | G3:G441 | 2.4 | 1.6 | - | 3.7 | 0.16 | 0.160 | 0.068 | - | - | - | low homogenization heterogeneous structure |
| 60:40 | ||||||||||||
| 5. PF1 | G3:G441 | 2 | 2 | - | 3.8 | 0.16 | 0.160 | 0.068 | 20 | 90 | 60 | small shrink, irregular pores |
| 50:50 | ||||||||||||
| 6. | G3:G441 | 2 | 2 | - | 3.8 | 0.08 | 0.160 | 0.068 | 22 | 60 | 60 | insufficiently grown, hard |
| 50:50 | ||||||||||||
| 7. | G3:G441 | 2 | 2 | - | 3.8 | 0.16 | 0.213 | 0.068 | 19 | 90 | 60 | small shrink, irregular pores |
| 50: 50 | ||||||||||||
| 8. | G3:G441 | 2 | 2 | - | 3.8 | 0.16 | 0.160 | 0.102 | 17 | 30 | - | cracked, fragile |
| 50:50 | ||||||||||||
| 9. | G3:CO | 2 | - | 2 | 3.1 | 0.16 | 0.160 | 0.068 | - | - | - | ungrown, hard |
| 50:50 | ||||||||||||
| 10. F2 | G441:CO | - | 2 | 2 | 3.4 | 0.16 | 0.160 | 0.068 | reference polyurethane foam | |||
| 50:50 | ||||||||||||
| 11. | G3:G441:CO | 2 | 1 | 1 | 3.4 | 0.16 | 0.160 | 0.068 | 15 | 100 | 150 | insufficiently grown |
| 50:25:25 | ||||||||||||
| 12. PF2 | G3:G441:CO | 2 | 1.4 | 0.6 | 3.56 | 0.16 | 0.160 | 0.068 | 15 | 120 | 150 | semi-rigid, small, regular pores |
| 50:35:15 | ||||||||||||
| 13. | G3:G441:CO | 2 | 1.8 | 0.2 | 3.7 | 0.16 | 0.160 | 0.068 | 18 | 110 | 150 | semi-rigid, fragile |
| 50:45:5 | ||||||||||||
| No | Immobilized Drug | Foam Composition | |
|---|---|---|---|
| G3:G441 | G3:G441:CO | ||
| 1 | nimesulide | PF1-NMS | PF2-NMS |
| 2 | doxorubicin hydrochloride | PF1-DOX | PF2-DOX |
| 3 | aminolevulinic acid hydrochloride | PF1-ALA | PF2-ALA |
| 4 | 8-methoxypsoralen | PF1-MOP | PF2-MOP |
| 5 | none | PF1 | PF2 |
| Foams Composition | Apparent Density [kg/m3] | Water Absorption [%] | |||
|---|---|---|---|---|---|
| After 5 min | After 1 h | After 3 h | After 24 h | ||
| G3:G441 | 51.4 | 10.8 | 13.7 | 16.6 | 19.3 |
| G3:G441:CO | 32.6 | 4.1 | 7.0 | 7.3 | 10.5 |
| Sample | Pore Sizes [μm] | |
|---|---|---|
| Mean | Standard Deviation | |
| F1 | 590.66 | 160.51 |
| PF1 | 526.75 | 371.10 |
| F2 | 344.93 | 147.99 |
| PF2 | 705.10 | 283.52 |
| Matrix | Diagnostic Peak/Moiety | Binding Energy [eV] | Peak/Moiety Content [%] | Drug Content [%] |
|---|---|---|---|---|
| PF1-NMS | S 2p | 169.05 | 0.2 | 1.92 |
| PF2-NMS | 169.39 | 0.3 | 2.89 | |
| PF1-DOX | Cl 2p | 197.14 | 0.4 | 6.5 |
| PF2-DOX | 197.91 | 0.1 | 1.63 | |
| PF1-ALA | O1s/C=O (other than PU and Pua *) | 532.46/531.25 | 17.8/8.6 = 1.53 | 8.3 |
| PF2-ALA | 532.44/531.17 | 16.1/6.8 = 1.09 | 5.72 | |
| PF1-MOP | 531.87/531.21 | 20.4/3.1 = 0.63 | 8.5 | |
| PF2-MOP | 532.17/531.18 | 15.5/6.6 = 1.02 | 13.8 |
| IC50 [%] NR Assay | IC50 [%] XTT Assay | |||
|---|---|---|---|---|
| Sample | HaCaT | SCC-15 | HaCaT | SCC-15 |
| F1 | 10.23 | 10.86 | <3.13 | 10.07 |
| PF1 | 26.39 | <3.13 | 6.21 | <3.13 |
| PF1-DOX | 76.77 | 5.10 | 34.48 | 3.11 |
| F2 | ≫100.00 | ≫100.00 | ≫100.00 | ≫100 |
| PF2 | 13.10 | <3.13 | 4.47 | <3.13 |
| PF2-DOX | 51.54 | <3.13 | 29.61 | <3.13 |
Disclaimer/Publisher’s Note: The statements, opinions and data contained in all publications are solely those of the individual author(s) and contributor(s) and not of MDPI and/or the editor(s). MDPI and/or the editor(s) disclaim responsibility for any injury to people or property resulting from any ideas, methods, instructions or products referred to in the content. |
© 2024 by the authors. Licensee MDPI, Basel, Switzerland. This article is an open access article distributed under the terms and conditions of the Creative Commons Attribution (CC BY) license (https://creativecommons.org/licenses/by/4.0/).
Share and Cite
Zaręba, M.; Chmiel-Szukiewicz, E.; Uram, Ł.; Noga, J.; Rzepna, M.; Wołowiec, S. A Novel PAMAM G3 Dendrimer-Based Foam with Polyether Polyol and Castor Oil Components as Drug Delivery System into Cancer and Normal Cells. Materials 2024, 17, 3905. https://doi.org/10.3390/ma17163905
Zaręba M, Chmiel-Szukiewicz E, Uram Ł, Noga J, Rzepna M, Wołowiec S. A Novel PAMAM G3 Dendrimer-Based Foam with Polyether Polyol and Castor Oil Components as Drug Delivery System into Cancer and Normal Cells. Materials. 2024; 17(16):3905. https://doi.org/10.3390/ma17163905
Chicago/Turabian StyleZaręba, Magdalena, Elżbieta Chmiel-Szukiewicz, Łukasz Uram, Justyna Noga, Magdalena Rzepna, and Stanisław Wołowiec. 2024. "A Novel PAMAM G3 Dendrimer-Based Foam with Polyether Polyol and Castor Oil Components as Drug Delivery System into Cancer and Normal Cells" Materials 17, no. 16: 3905. https://doi.org/10.3390/ma17163905
APA StyleZaręba, M., Chmiel-Szukiewicz, E., Uram, Ł., Noga, J., Rzepna, M., & Wołowiec, S. (2024). A Novel PAMAM G3 Dendrimer-Based Foam with Polyether Polyol and Castor Oil Components as Drug Delivery System into Cancer and Normal Cells. Materials, 17(16), 3905. https://doi.org/10.3390/ma17163905

