Study on the Shear Strength and Erosion Resistance of Sand Solidified by Enzyme-Induced Calcium Carbonate Precipitation (EICP)
Abstract
1. Introduction
2. Materials and Methods
2.1. Test Materials
2.2. Sample Preparation
2.3. Test Methods
3. Results and Discussion
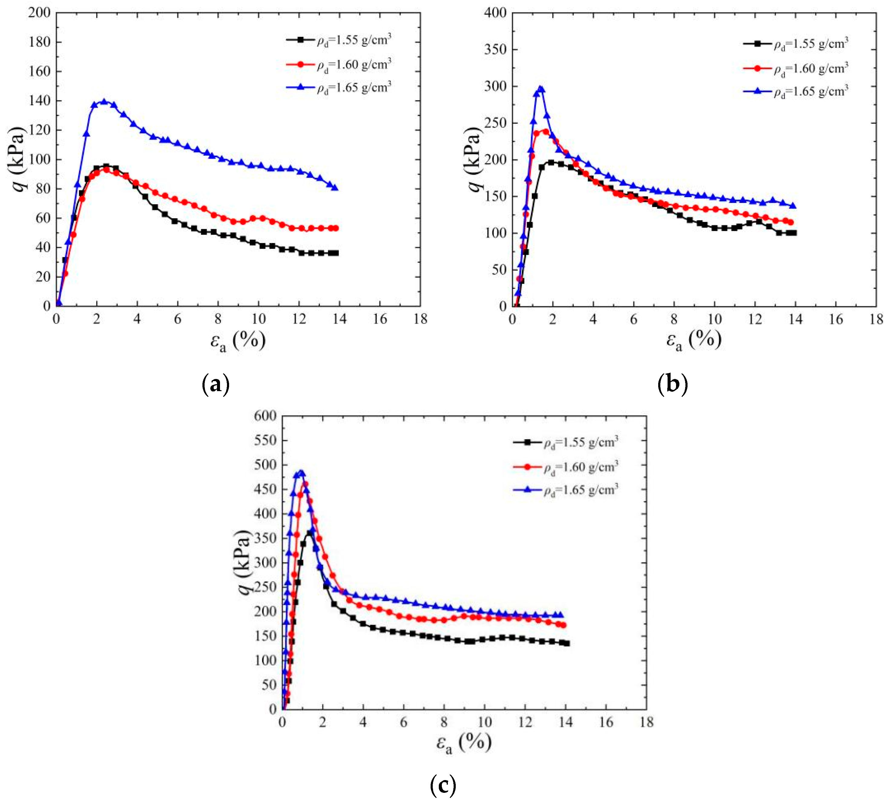
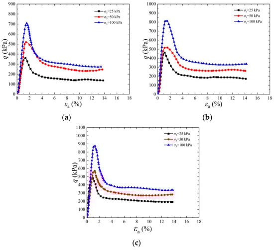
3.1. Analysis of the Influence of Dry Density on the Strength of Solidified Sand
3.2. Analysis of the Influence of Cementation Times on the Strength of Solidified Sand
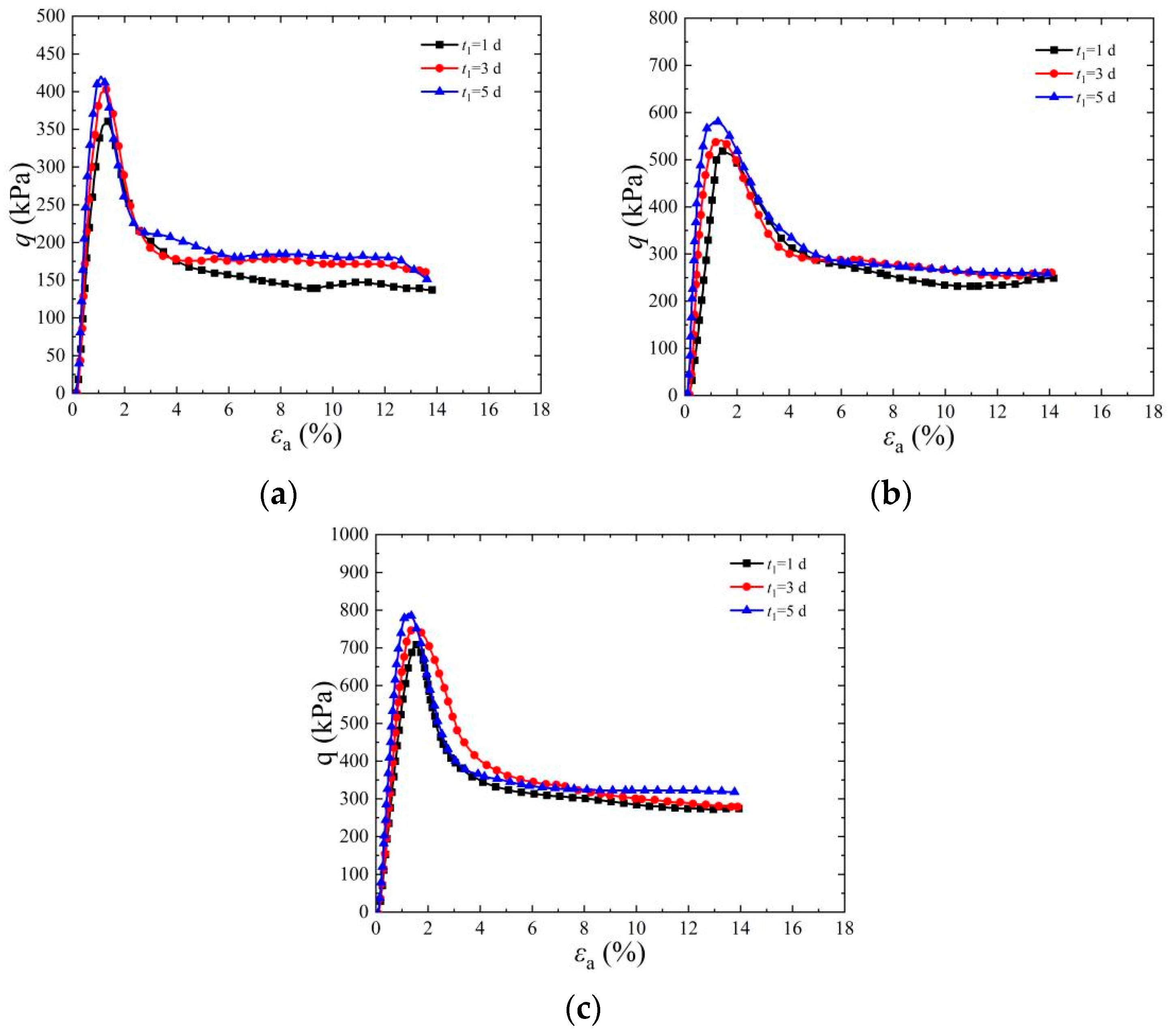
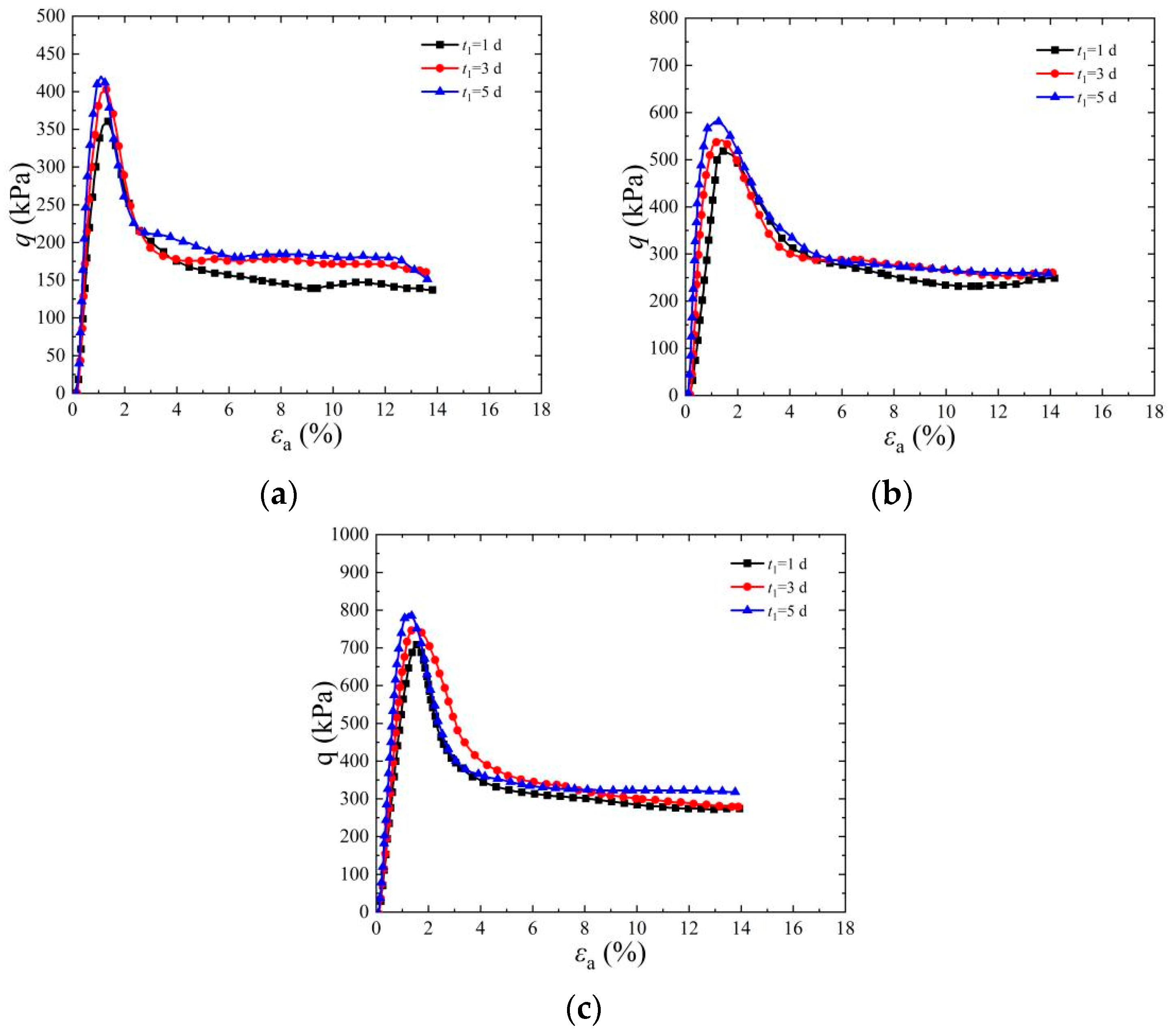
3.3. Analysis of the Influence of Standing Time on the Strength of Solidified Sand
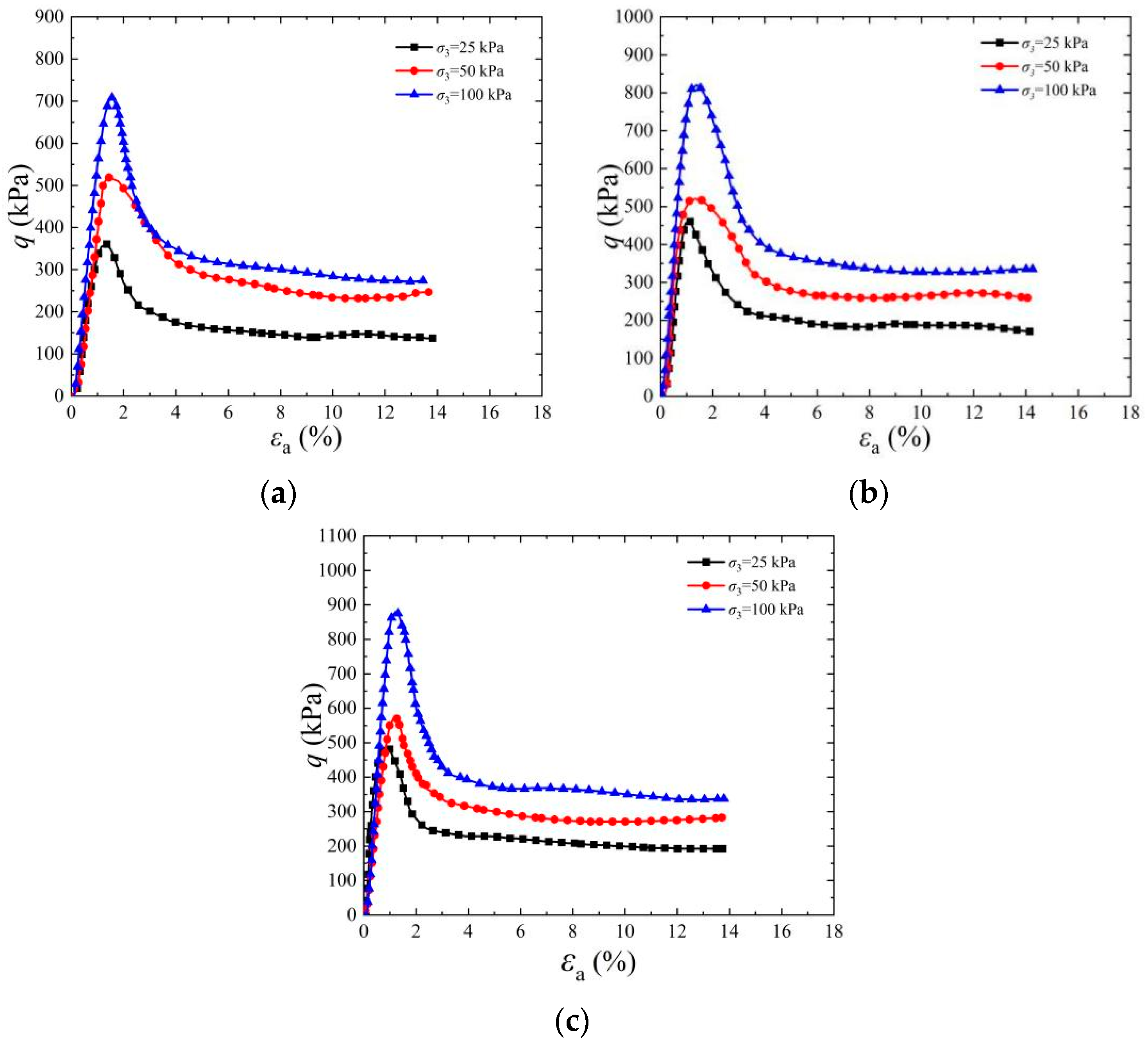
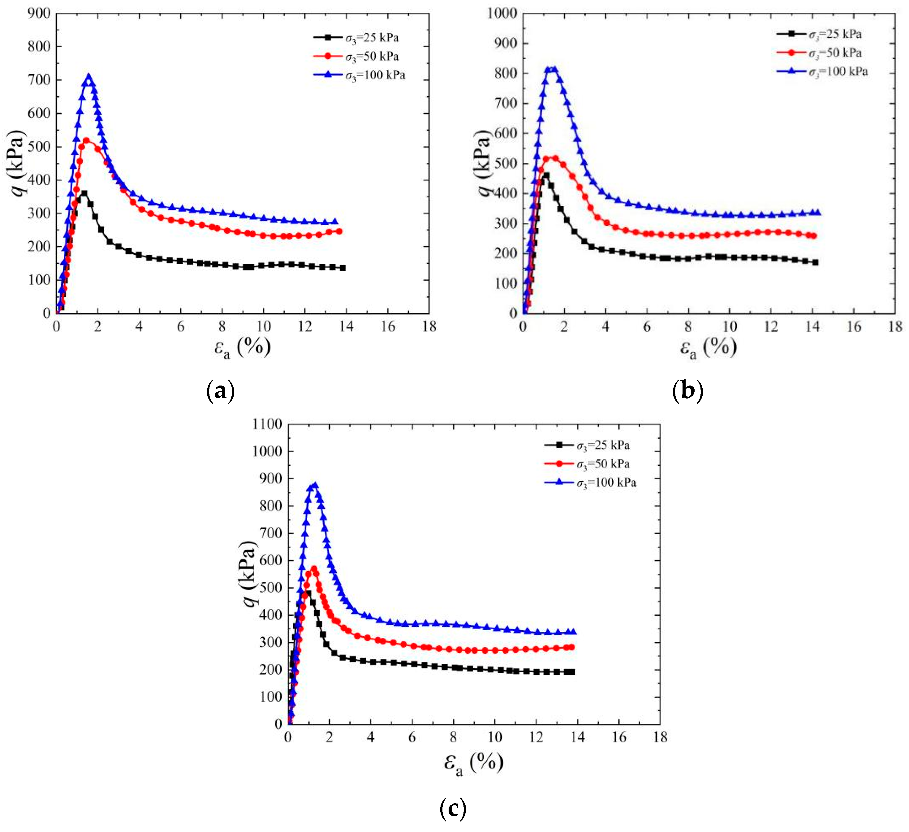
3.4. Influence of Confining Pressure on Strength of Solidified Sand
3.5. Failure Mode Analysis of Samples
3.6. Analysis of the Relation between Cohesion, Internal Friction Angle, and CaCO3 Formation
4. Analysis of Erosion Characteristics of EICP-Solidified Sand
4.1. Erosion Performance Analysis of Uncemented Dam
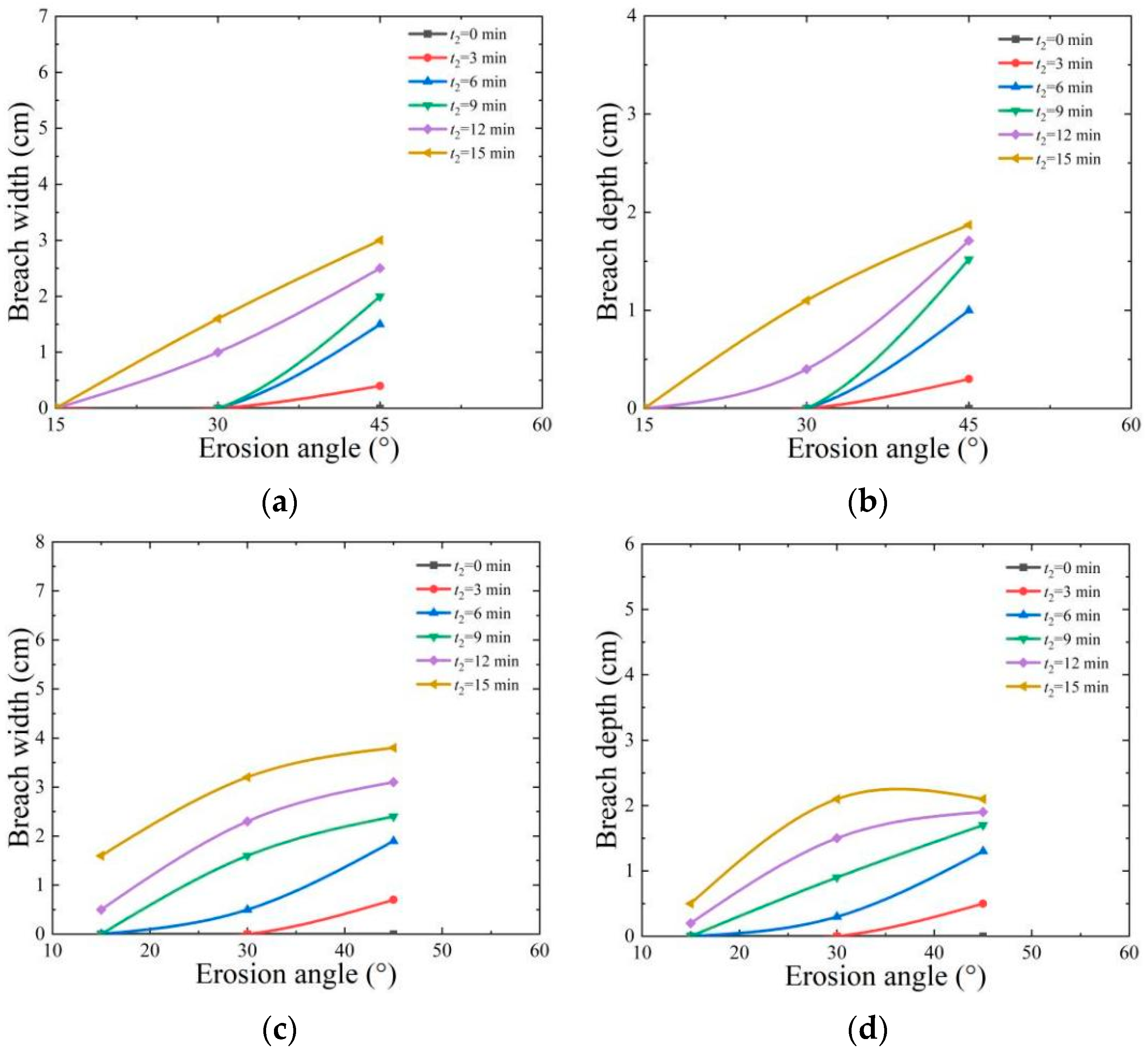
4.2. Erosion Angle Analysis
4.3. Erosion Flow Analysis
4.4. Erosion Time Analysis
4.5. Analysis of Erosion Failure Mode
5. Conclusions
- When the dry density of the sample is high, the smaller the distance between sand particles, the better the cementation effect of CaCO3. With the increase in the cementation times, the strength of standard sand increases, and the brittle failure is obvious. With the increase in standing time, the peak strength of the deviator stress of standard sand also increases.
- When the sample with low CaCO3 content reaches its peak strength, the internal structure changes little, the difference between residual strength and peak strength is small, and the strain softening is not obvious. When the sample with high CaCO3 content reaches peak strength, the internal CaCO3 crystal is destroyed, the integrity of sand particles is damaged, the shear strength is greatly reduced, the difference between residual strength and peak strength is large, and the strain softening is obvious.
- The local deformation of the specimen under low confining pressure is earlier than that under high confining pressure. Under low confining pressure and high cementation, the deviator stress increases rapidly with the increase in strain, then decreases or stabilizes after the peak value, and the specimen appears to have strain-softening characteristics, with the peak value appearing as a shear band. The strength of EICP-solidified sand is obviously decreased, which indicates that EICP-solidified sand has poor plastic deformation ability under low confining pressure and high cementation levels and is more prone to brittle failure.
- With the increase in CaCO3 content, the cohesion and the angle of internal friction increase, showing a positive correlation. CaCO3 crystals produced in the EICP process play a role in filling and cementing sand particles, which increases the cohesion and internal friction angle between sand particles and makes the loose sand particles be cemented together to bear the external load together, thus significantly improving their shear strength.
- The smaller the erosion angle, the better the stability of the dam, and the longer the dam break time. When the erosion angle is 15° and the erosion flow rate is 3 L/min, there is no obvious damage, and the overall integrity of the dam sample is good. The larger the erosion angle, the greater the overtopping shear stress of the water flow. With the increase in erosion time, the breach appears at the weak surface cementation.
- With the increase in erosion flow, the impact capacity of water flow is gradually enhanced. When overtopping failure occurs, the shear stress will increase, and at the same time, when the dam breaks, the released energy will become greater, which will lead to an increase in the degree of harm caused by it. In addition, in the process of overflow scouring, the increase in flow rate will accelerate the scouring speed and make the breach gradually larger.
Author Contributions
Funding
Institutional Review Board Statement
Informed Consent Statement
Data Availability Statement
Conflicts of Interest
References
- Su, Z.; Zhang, K.; Liu, C. Dynamic risk assessment of slope stability of homogeneous earth-rock dam under action of multiple hazards. Simulation 2022, 98, 699–710. [Google Scholar] [CrossRef]
- Arab, M.G.; Alsodi, R.; Almajed, A.; Yasuhara, H.; Zeiada, W.; Shahin, A.M. State-of-the-art review of enzyme-induced calcite precipitation (EICP) for ground improvement: Applications and prospects. Geosciences 2021, 11, 492. [Google Scholar] [CrossRef]
- Almajed, A.; Lateef, M.A.; Moghal, A.A.B.; Lemboye, K. State-of-the-art review of the applicability and challenges of microbial-induced calcite precipitation (MICP) and enzyme-induced calcite precipitation (EICP) techniques for geotechnical and geoenvironmental applications. Crystals 2021, 11, 370. [Google Scholar] [CrossRef]
- Arab, M.G.; Refaei, M.; Alotaibi, E.; Omar, M.; Almajed, A.; Haridy, S. Optimizing the Compressive Strength of Sodium Alginate-Modified EICP-Treated Sand Using Design of Experiments. J. Mater. Civil Eng. 2024, 36, 04024017. [Google Scholar] [CrossRef]
- Zhang, J.; Yin, Y.; Shi, W.; Bian, H.; Shi, L.; Wu, L.; Han, Z.; Zheng, J.; He, X. Strength and uniformity of EICP-treated sand under multi-factor coupling effects. Biogeotechnics 2023, 1, 100007. [Google Scholar] [CrossRef]
- Cao, G.; Ma, L.; Ngo, I.; Osemudiamhen, A.E.; Guo, Z. Experimental Investigation on the Combination of Enzyme-Induced Calcium Carbonate Precipitation and Organic Materials for Underground Backfilling Preparation. Minerals 2024, 14, 153. [Google Scholar] [CrossRef]
- Ahenkorah, I.; Rahman, M.M.; Karim, M.R.; Beecham, S. Characteristics of MICP-and EICP-treated sands in simple shear conditions: A benchmarking with the critical state of untreated sand. Géotechnique 2023. ahead of print. [Google Scholar] [CrossRef]
- Cui, M.J.; Lai, H.J.; Hoang, T.; Chu, J. One-phase-low-pH enzyme induced carbonate precipitation (EICP) method for soil improvement. Acta Geotech. 2021, 16, 481–489. [Google Scholar] [CrossRef]
- Almajed, A.; Abbas, H.; Arab, M.; Arab, M.; Alsabhan, A.; Hamid, W.; Al-Salloum, Y. Enzyme-Induced Carbonate Precipitation (EICP)-Based methods for ecofriendly stabilization of different types of natural sands. J. Cleaner Prod. 2020, 274, 122627. [Google Scholar] [CrossRef]
- Rosa, D.; Verdirame, L.; Bavasso, I.; Bracciale, M.P.; Di-Palma, L. Soil Biocementation via Enzyme Induced Carbonate Precipitation (EICP) Method Employing Soybeans as a Source of Cheap Enzyme. Chem. Eng. Trans. 2023, 99, 157–162. [Google Scholar] [CrossRef]
- Sun, X.; Miao, L.; Wang, H.; Yuan, J.; Fan, G. Enhanced rainfall erosion durability of enzymatically induced carbonate precipitation for dust control. Sci. Total Environm. 2021, 791, 148369. [Google Scholar] [CrossRef]
- Hu, W.; Cheng, W.C.; Wen, S.; Yuan, K. Revealing the enhancement and degradation mechanisms affecting the performance of carbonate precipitation in EICP process. Front. Bioeng. Biotechnol. 2021, 9, 750258. [Google Scholar] [CrossRef] [PubMed]
- Saif, A.; Cuccurullo, A.; Gallipoli, D.; Perlot, C.; Bruno, A.W. Advances in enzyme induced carbonate precipitation and application to soil improvement: A review. Materials 2022, 15, 950. [Google Scholar] [CrossRef] [PubMed]
- Li, S.; Huang, M.; Cui, M.; Jiang, Q.; Xu, K. Thermal conductivity enhancement of backfill material and soil using enzyme-induced carbonate precipitation (EICP). Acta Geotech. 2023, 18, 6143–6158. [Google Scholar] [CrossRef]
- Alwalan, M.; Almajed, A.; Lemboye, K.; Alnuaim, A. Direct shear characteristics of enzymatically cemented sands. KSCE J. Civ. Eng. 2023, 27, 1512–1525. [Google Scholar] [CrossRef]
- Meng, H.; Shu, S.; Gao, Y.; Yan, B.; He, J. Multiple-phase enzyme-induced carbonate precipitation (EICP) method for soil improvement. Eng. Geol. 2021, 294, 106374. [Google Scholar] [CrossRef]
- He, J.; Fang, C.; Mao, X.; Qi, Y.; Zhou, Y.; Kou, H.; Xiao, L. Enzyme-induced carbonate precipitation for the protection of earthen dikes and embankments under surface runoff: Laboratory investigations. J. Ocean Univ. China 2022, 21, 306–314. [Google Scholar] [CrossRef]
- Wang, Y.; Wang, Z.; Chen, Y.; Cao, T.; Yu, X.; Rui, P. Experimental study on bio-treatment effect of the dredged Yellow River silt based on soybean urease induced calcium carbonate precipitation. J. Build. 2023, 75, 106943. [Google Scholar] [CrossRef]
- Gao, Y.F.; Meng, H.; He, J.; Qi, Y.S.; Hang, L. Field trial on use of soybean crude extract for carbonate precipitation and wind erosion control of sandy soil. J. Cent. South Univ. 2020, 27, 3320–3333. [Google Scholar] [CrossRef]
- Almajed, A.; Lemboye, K.; Arab, M.G.; Alnuaim, A. Mitigating wind erosion of sand using biopolymer-assisted EICP technique. Soils Found. 2020, 60, 356–371. [Google Scholar] [CrossRef]
- Wu, L.; Miao, L.; Kawasaki, S.; Wang, H. Effects of Reaction Conditions on EICP-Treated Desert Aeolian Sand. KSCE J. Civ. Eng. 2022, 26, 2662–2674. [Google Scholar] [CrossRef]
- Alotaibi, E.; Arab, M.G.; Abdallah, M.; Nassif, N.; Omar, M. Life cycle assessment of biocemented sands using enzyme induced carbonate precipitation (EICP) for soil stabilization applications. Sci. Rep. 2022, 12, 6032. [Google Scholar] [CrossRef]
- Miao, L.; Wu, L.; Sun, X. Enzyme-catalysed mineralisation experiment study to solidify desert sands. Sci. Rep. 2020, 10, 10611. [Google Scholar] [CrossRef]
- Lee, S.; Kim, J. An experimental study on enzymatic-induced carbonate precipitation using yellow soybeans for soil stabilization. KSCE J. Civ. Eng. 2020, 24, 2026–2037. [Google Scholar] [CrossRef]
- Baruah, P.; Sharma, S. Chemico-mechanical activation of EICP-modified soil: Role of urease enzyme. Environ. Earth Sci. 2023, 82, 563. [Google Scholar] [CrossRef]
- Xu, K.; Huang, M.; Zhen, J.; Xu, C.; Cui, M. Field implementation of enzyme-induced carbonate precipitation technology for reinforcing a bedding layer beneath an underground cable duct. J. Rock Mech. Geotech. Eng. 2023, 15, 1011–1022. [Google Scholar] [CrossRef]
- Shen, D.; Liu, Z.; Song, Z.; Song, Z.; Wu, C. Reinforcement mechanism and erosion resistance of loess slope using enzyme induced calcite precipitation technique. Sustainability 2023, 15, 1044. [Google Scholar] [CrossRef]
- GB/T 17671-1999; Method of Testing Cements-Determination of Strength. National Bureau of Quality and Technical Supervision: Beijing, China, 1999.
- GB/T 50123-2019; Standard for Geotechnical Testing Method. Construction Ministry of PRC: Beijing, China, 2019.
- Chen, Y. Soil–water retention curves derived as a function of soil dry density. GeoHazards 2018, 1, 3–19. [Google Scholar] [CrossRef]
- Cui, M.; Zheng, J.; Zhang, R.; Lai, H.; Zhang, J. Influence of cementation level on the strength b ehaviour of bio-cemented sand. Acta Geotech. 2017, 12, 971–986. [Google Scholar] [CrossRef]
- Yu, X.; Qian, C.; Xue, B.; Wang, X. The influence of standing time and content of the slurry on bio-sandstone cemented by biological phosphates. Constr. Build. Mater. 2015, 82, 167–172. [Google Scholar] [CrossRef]
- Arab, M.G.; Rohy, H.; Zeiada, W.; Almajed, A.; Omar, M. One-phase EICP biotreatment of sand exposed to various environmental conditions. J. Mater. Civil Eng. 2021, 33, 04020489. [Google Scholar] [CrossRef]
- Fang, X.; Yang, Y.; Chen, Z.; Liu, H.; Shen, C. Influence of fiber content and length on engineering properties of MICP-treated coral sand. Geomicrobiol. J. 2020, 37, 582–594. [Google Scholar] [CrossRef]
- Feng, K.; Montoya, B.M. Influence of confinement and cementation level on the behavior of microbial-induced calcite precipitated sands under monotonic drained loading. J. Geotech. Geoenviron. 2016, 142, 04015057. [Google Scholar] [CrossRef]
- Ahenkorah, I.; Rahman, M.M.; Karim, M.R.; Beecham, S.; Saint, C. A review of enzyme induced carbonate precipitation (EICP): The role of enzyme kinetics. Sust. Chem. 2021, 2, 92–114. [Google Scholar] [CrossRef]
- Muhammed, A.S.; Kassim, K.A.; Ahmad, K.; Zango, M.U.; Makinda, J. Influence of multiple treatment cycles on the strength and microstructure of biocemented sandy soil. Int. J. Environ. Sci. Technol. 2021, 18, 3427–3440. [Google Scholar] [CrossRef]
- Wu, Z.; Xu, J.; Chen, H.; Shao, L.; Zhou, X.; Wang, S. Shear strength and mesoscopic characteristics of basalt fiber–reinforced loess after dry–wet cycles. Mater. Civ. Eng. 2022, 34, 04022083. [Google Scholar] [CrossRef]
- Kang, W.; Ko, D.; Kang, J. Erosion resistance performance of surface-reinforced levees using novel biopolymers investigated via real-scale overtopping experiments. Water 2021, 13, 2482. [Google Scholar] [CrossRef]
- Xiao, Y. Study on slope soil erosion at different anglesof Guizhou Province in karst area. Ground Water 2024, 46, 234–235. [Google Scholar] [CrossRef]
- Zhou, J.; Liu, J.; Wang, W. The surface velocity distribution measurement based on ls-pivtechnology on in the downstream slop face of a dam. Pearl River 2017, 38, 58–61. [Google Scholar]
- Shi, Z.; Wang, Y.; Peng, M.; Xu, Q. Large scale shaking table testson failure and breach process of landslide dams under aftershocks. J. Eng. Geol. 2014, 22, 71–77. [Google Scholar] [CrossRef]
- Tang, C.; Pan, X.; Lu, C.; Dong, Z.; Liu, B.; Wang, D.; Li, H.; Cheng, Y.; Shi, B. Bio-geoengineering technology and the applications. Geol. J. China Univ. 2021, 27, 625. [Google Scholar] [CrossRef]















| ρdmax (g/cm3) | ρdmin (g/cm3) | d10 (mm) | d30 (mm) | d60 (mm) | Cu | Cc |
|---|---|---|---|---|---|---|
| 1.890 | 1.480 | 0.136 | 0.300 | 0.660 | 4.853 | 1.003 |
| Dry Density ρd (g/cm3) | Cementation Times n | Standing Times t1 (d) | Confining Pressure σ3 (kPa) |
|---|---|---|---|
| 1.55, 1.60, 1.65 | 2, 4, 6 | 1, 3, 5 | 25 |
| 1.55, 1.60, 1.65 | 2, 4, 6 | 1, 3, 5 | 50 |
| 1.55, 1.60, 1.65 | 2, 4, 6 | 1, 3, 5 | 100 |
| Erosion Angle α (°) | Erosion Flow Q (L/min) | Erosion Times t2 (min) |
|---|---|---|
| 15 | 1, 3, 5 | 5, 10, 15 |
| 30 | 1, 3, 5 | 5, 10, 15 |
| 45 | 1, 3, 5 | 5, 10, 15 |
Disclaimer/Publisher’s Note: The statements, opinions and data contained in all publications are solely those of the individual author(s) and contributor(s) and not of MDPI and/or the editor(s). MDPI and/or the editor(s) disclaim responsibility for any injury to people or property resulting from any ideas, methods, instructions or products referred to in the content. |
© 2024 by the authors. Licensee MDPI, Basel, Switzerland. This article is an open access article distributed under the terms and conditions of the Creative Commons Attribution (CC BY) license (https://creativecommons.org/licenses/by/4.0/).
Share and Cite
Li, G.; Zhu, Q.; Liu, J.; Liu, C.; Zhang, J. Study on the Shear Strength and Erosion Resistance of Sand Solidified by Enzyme-Induced Calcium Carbonate Precipitation (EICP). Materials 2024, 17, 3642. https://doi.org/10.3390/ma17153642
Li G, Zhu Q, Liu J, Liu C, Zhang J. Study on the Shear Strength and Erosion Resistance of Sand Solidified by Enzyme-Induced Calcium Carbonate Precipitation (EICP). Materials. 2024; 17(15):3642. https://doi.org/10.3390/ma17153642
Chicago/Turabian StyleLi, Gang, Qinchen Zhu, Jia Liu, Cong Liu, and Jinli Zhang. 2024. "Study on the Shear Strength and Erosion Resistance of Sand Solidified by Enzyme-Induced Calcium Carbonate Precipitation (EICP)" Materials 17, no. 15: 3642. https://doi.org/10.3390/ma17153642
APA StyleLi, G., Zhu, Q., Liu, J., Liu, C., & Zhang, J. (2024). Study on the Shear Strength and Erosion Resistance of Sand Solidified by Enzyme-Induced Calcium Carbonate Precipitation (EICP). Materials, 17(15), 3642. https://doi.org/10.3390/ma17153642

