Abstract
Among a plethora of mixtures, the methane (CH4) and hydrogen (H2) mixture has garnered considerable attention for multiple reasons, especially in the framework of energy production and industrial processes as well as ecological considerations. Despite the fact that the CH4/H2 mixture performs many critical tasks, the presence of other gases, such as carbon dioxide, sulfur compounds like H2S, and water vapor, leads to many undesirable consequences. Thus purification of this mixture from these gases assumes considerable relevance. In the current research, first-principle calculations in the frame of density functional theory are carried out to propose a new functional group for vertically aligned carbon nanotubes (VA-CNTs) interacting preferentially with polar molecules rather than CH4 and H2 in order to obtain a more efficient methane and hydrogen separations The binding energies associated with the interactions between several chemical groups and target gases were calculated first, and then a functional group formed by a modified ethylene glycol and acetyl amide was selected. This functional group was attached to the CNT edge with an appropriate diameter, and hence the binding energies with the target gases and steric hindrance were evaluated. The binding energy of the most polar molecule (H2O) was found to be more than six times higher than that of H2, indicating a significant enhancement of the nanotube tip’s affinity toward polar gases. Thus, this functionalization is beneficial for enhancing the capability of highly packed functionalized VA-CNT membranes to purify CH4/H2 gas mixtures.
1. Introduction
Over recent decades, interest in gas mixtures has surged due to their broad scientific and industrial applications. Gas mixtures are crucial in numerous industrial processes, such as optimizing chemical reactions and enhancing safety in manufacturing procedures [1,2,3,4,5], or as alternative energy sources because the gas composition directly affects combustion emissions and efficiency [6,7,8,9].
Among various mixtures, methane (CH4) and hydrogen (H2) have gained significant attention for their roles in energy production (hydrogen/methane mixtures produce cleaner fuel than methane alone), industrial processes, and environmental considerations [10,11,12,13]. Moreover, this mixture is pivotal in producing synthesis gas (syngas) [14,15,16] and can be used for renewable energy storage, where excess renewable energy generates hydrogen which is then mixed with methane for future use [17,18,19,20], supporting the transition toward more sustainable energy systems [21,22,23]. In industries, methane/hydrogen mixtures are used to synthesize chemicals and are crucial in sectors like metal processing, ammonia production, and petrochemicals [24,25,26,27,28].
However, the presence of other gases like carbon dioxide (CO2), ethane, propane, butanes, sulfur compounds (e.g., H2S), and water vapor (H2O) can lead to undesirable effects, such as reduced energy output, altered flame characteristics, corrosive impacts on pipelines and equipment, and decreased process efficiency [29,30,31]. Hence, purifying CH4/H2 mixtures, especially from CO2, H2S, and water vapor, is critical. In natural gas (NG) and biogas (BG) upgrading, removing CO2, H2S, and water vapor is essential, since these non-combustible components lower the calorific value and make transporting raw gas mixtures unprofitable [32,33]. Effective separation technologies with low carbon footprints are needed, particularly for pre-combustion CO2 capture from high-pressure NG and low-pressure BG streams.
Several techniques have been developed to separate CH4/H2 mixtures from other gases, including cryogenic distillation, absorption and adsorption, pressure swing adsorption (PSA), and membrane-based separation. Among these, membrane-based separation stands out due to its versatility, low operating costs, environmental benefits, continuous operation, compact design, and high energy efficiency [34,35,36]. In general, membrane selectivity depends on differences in molecular shape and size or the feed molecules’ affinity to the membrane [37,38]. Recently, nanostructured membranes have attracted attention due to their enhanced selectivity, increased permeability, stability, tailored functionality, and reduced thickness [39,40,41,42,43,44]. Nanostructured membranes offer precise control over the pore size and surface characteristics. Moreover, materials like carbon nanotubes (CNTs) or graphene facilitate gas transport, improving separation efficiency and reducing processing times [45,46,47]. They also exhibit advanced chemical and mechanical stability, which are essential for industrial applications, and can be designed with specific surface interactions and chemistries for selective separation. Their ultra-thin design facilitates fast mass transfer and reduces the overall size of separation systems [48,49].
Incorporating CNTs into mixed matrix membranes can significantly improve gas permeability [50,51]. Aligned nanotubes, especially when oriented vertically (VA-CNTs) with respect to the separating membrane’s layer, dramatically increase permeability, making them a special nanostructure for membrane-based separations [52,53]. CNTs exhibit ultrafast transport of low molecular weight gases, far surpassing common polymers in terms of gas permeation [54] (from 1 to 2 orders of magnitude). For example, Favvas et al. [50,51] reported that the He permeance increased from 18 to 107 GPU through the addition of surface-modified MWCNTs (4% w/w concentration) into a polyimide membrane matrix. This change was from 1.5 to ~37 GPU in the case of N2. Similar behavior was also reported by other groups [55,56]. VA-CNT arrays and ultrathin VA-CNT membranes can be fabricated using methods like chemical vapor deposition or solution-based techniques, where nanotubes are aligned and placed in a polymer matrix for stability [57]. In VA-CNT membranes, the functionalized CNTs determine membrane selectivity and permeability, depending on the CNT concentration and specific affinity for feed molecules [57,58,59,60,61,62]. However, achieving high selectivity remains challenging, and hence functionalizing CNTs with groups that preferentially interact with polar gases can enhance the purification of CH4/H2 mixtures containing CO2, H2S, and H2O.
Extensive research has focused on using nanostructured membranes for separating CH4/H2 and other gas mixtures, employing various experimental and computational methods [63,64,65]. Mixed-matrix membranes incorporating functionalized nanomaterials have drawn significant interest [65]. Hydrogen separation is a top priority for scientists and governments due to its role as a green energy carrier [66]. Mahboubian et al. used molecular dynamics (MD) simulations to evaluate a graphenylene membrane with a functionalized nanopore for CH4/H2 separation, revealing high H2 selectivity and no detectable CH4 permeation [67]. Zhu et al. predicted the potential of graphenylene membranes for gas separation using computer simulations, showing promise for new gas separation technologies [68].
Rudkevich’s review on the supramolecular chemistry of gases highlighted the interactions between secondary cis-amides and gases like N2O and CO2 through hydrogen-bonding and electrostatic interactions [69]. Ab initio calculations and molecular modeling studies confirmed hydrogen bond formation between cis-amides and gases, suggesting potential for gas separation applications [70].
In the current research, first-principle calculations are carried out in the framework of density functional theory to scrutinize the affinity of functionalized VA-CNTs toward different polar gases, such as CO2, H2O, and H2S, and nonpolar gases, like CH4 and H2. In this regard, inspired by the two-point noncovalent interaction which secondary cis-amides or acetates can form with the above molecules, several chemical groups were investigated. Acetyl amide was chosen among the analyzed groups, and then a functional group (FG) formed by a modified ethylene glycol monomer was attached to the edge of a CNT with an appropriate diameter. The binding energies associated with the interactions between this functional group and the target gases were calculated to verify whether the high interaction between the proposed FG and the polar molecules is still retained when the former is anchored on the nanotube inlet. Scheme 1 illustrates in a general way a VA-CNT membrane, which inspired the calculations of this work.
Scheme 1.
General illustration of a VA-CNT nanostructured membrane which inspired the calculations.
The polymer among the VA-CNTs should show low affinity for the studied molecules and consist of low-cost materials so that gas permselectivity is carried out by the functionalized nanotubes.
2. Models and Computational Details
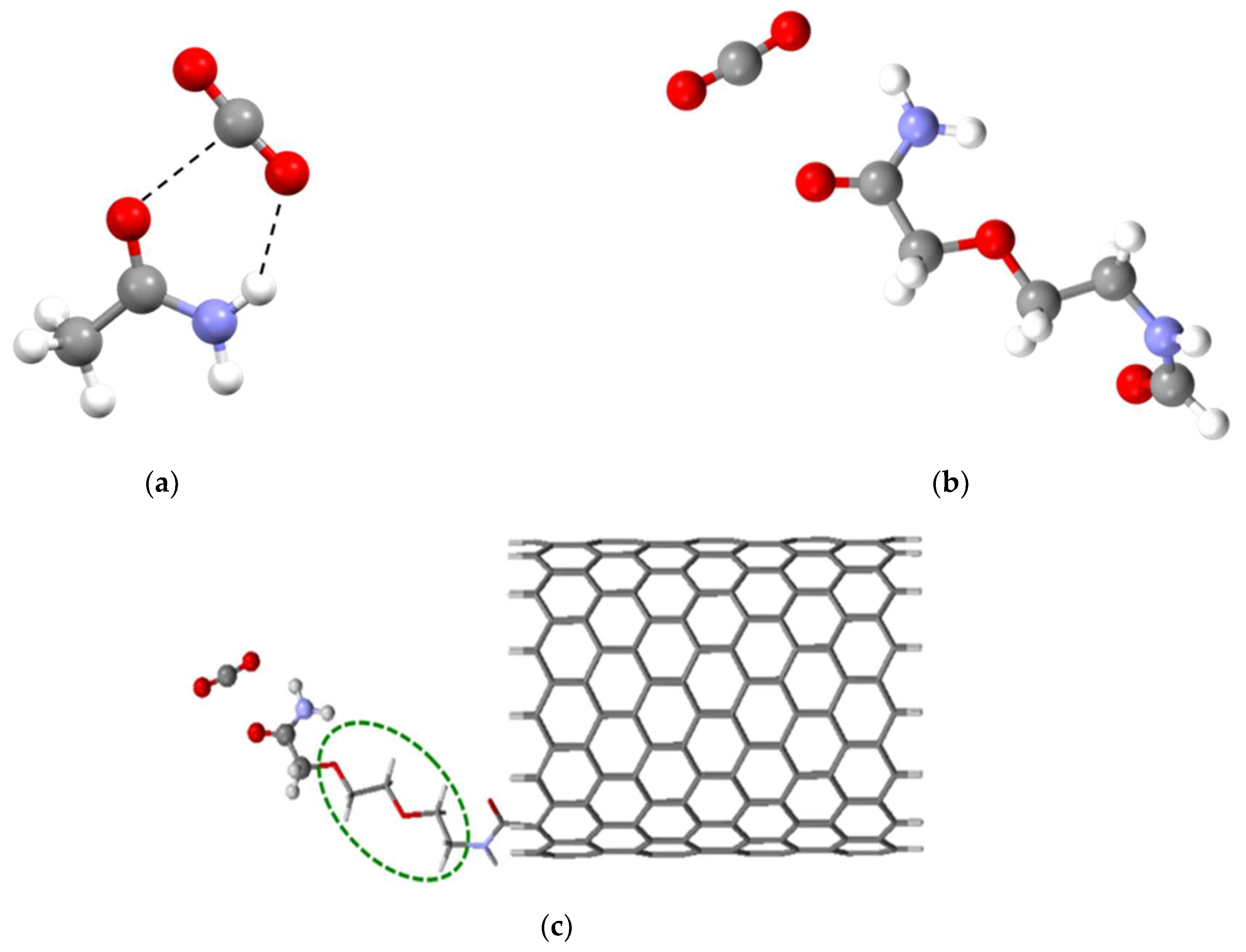
Functionalization of VA-CNTs is carried out using functional groups composed of spacers (hooks) and heads, as shown in Figure 1. Ethylene glycol oligomers (OEGs) have been successfully used to modify surface properties [71,72], and thus the chemistry for surface functionalization using OEGs is well known. In this work, modified OEGs are used to link specific chemical groups (i.e., the heads of FGs) to the inlets of CNTs.
Figure 1.
(a) A cis-amide based head group with a cis configuration. (b) A functional group composed of an ethylene glycol monomer and cis-amide head. (c) A functionalized CNT edge with the functional group (FG) highlighted within the green circle. Oxygen atoms are red, hydrogen atoms are white, carbon atoms are gray, and nitrogen atoms are light blue.
The heads of the functional group (see Figure 1a and the top of Figure 1b) were inspired by Rudkevich’s review on the supramolecular chemistry of gases [69], which describes a two-point noncovalent interaction between the head and the gas molecules present. The configuration for this interaction, which drives selective adsorption of the polar gases, is shown in Figure 1a. It is worth mentioning that the electron donor and acceptor atoms in the heads must exhibit a cis configuration, and all of the head groups analyzed in this work present such a configuration.
The FG hooks have a terminal amino group, shown at the bottom of Figure 1b, which allows them to link the entire functional group to the CNT edge via an amide bond. This bond guarantees a certain stability for the functionalized CNT by preventing hydrolysis and resisting fairly high temperatures. The diameter of the CNT was calibrated according to the steric hindrance of the functional groups in order to allow access of the gaseous molecules into the CNT.
Quantum calculations were performed for closed-shell configurations using the Northwest Computational Chemistry Package (NWChem 6.6) [73] and the B3LYP exchange-correlation functional [74] (i.e., within the framework of the generalized gradient approximation). The coulomb and exchange-correlation potentials were numerically integrated into an adaptive grid with an accuracy of 10−5. In the calculations involving small structures, like heads and functional groups, the threshold for the energy convergence and the root mean square of the electron density were set to 10−6 (a.u.) and 10−5 (a.u.), respectively, while in the functionalized CNT calculations, both thresholds were set to 10−5 (a.u.). No smear or level shift values were imposed. The necessary dispersion corrections were considered in the DFT calculations according to Grimme’s DFT-D4 approach. Both the DFT-D3 and D4 quantum parameterizations of the total energy functional provide reliable results for carbon-based structures without excessive computational costs [75,76].
Geometry optimizations were carried out using the driver module implemented in NWChem and by adopting the default thresholds for the maximum and root mean square gradients, as well as for the maximum and root mean atom displacements. Furthermore, in the case of CO2, the Hessian calculation was carried out in order to verify whether the head-gas adducts were true minima on the potential energy surface by evaluating the internal vibration frequencies.
Different linear combinations of Gaussian-type orbitals were used in the calculations. In detail, a triple-ζ basis set plus a polarization function (6-311G*) was used for all atoms of the head-CO2 adducts, for which the internal vibration frequencies were also calculated. The same basis set was used for optimization of the FGs-CO2 geometries. After the preliminary screening of the head groups and hooks, we used a double-ζ orbital basis set (6-31G) on all atoms in the geometry optimizations of the selected FG interacting with H2O, H2S, CO2, CH4, and H2. Finally, due to the high computation times, we used the double-ζ orbital basis set for optimization of the functionalized CNT interacting with the above gas molecules.
In the calculation of the binding energy (BE), each adduct was separated into two subunits, namely the head, FG, or CNT-FG and the target gas molecules Then, the BE was calculated as the difference between the sum of the energies of the individual fragments (head-molecule, FG-molecule, or CNT-FG-molecule) and the energy of the adduct. Furthermore, the BEs were computed considering the basis set superposition error by using the counterpoise method [77].
3. Results and Discussion
3.1. Design of the Functional Group
First, a preliminary screening of the chemical groups was carried out in order to select the best head to use in a modified OEG by defining a reliable FG to be anchored on the CNT. To evaluate the ability of different chemical groups to form an effective two-point noncovalent interaction, we calculated their binding energies with carbon dioxide. This preliminary analysis allowed us to choose the best head group.
Table 1 shows the binding energies referring to 13 head groups with different pairs of atoms which formed a two-point noncovalent interaction. As pointed out, the calculation of the internal vibration frequency was performed for each of these head-CO2 complexes. All vibrational frequencies were positive, and therefore the obtained geometries were minima on the potential energy surface. The values reported in Table 1 show that the acetyl amide group provided the highest BE, confirming the conclusions and evidence reported in Rudkevich’s review [69]. In comparison with the different chemical groups, it is evident that a cis-amide arrangement involving C=0 and N-H moieties was the best configuration for an efficient interaction with carbon dioxide. It is worth noting that the ketone and acetate groups provided low-to-medium binding energies. In Table S1 (Supplementary Materials), the binding energies for the interactions of the 13 head groups with CO2 were calculated by using the X3LYP [78] functional to verify whether the same trend, calculated using the B3LYP functional, was found. The values in Table S1 show that once again, the acetyl amide group provided the highest BE, while the ketone and acetate groups provided low-to-medium binding energies. Ab initio calculations performed on the complexes formed by CO2 and carbonyl compounds [70] showed a binding energy of approximately 2.69 kcal/mol. This value is in good agreement with the binding energies found in this work for ketone, acetate, and acetaldehyde.
Table 1.
Binding energies, referring to the interaction between the head group and CO2.
Furthermore, the Raman spectra of the complexes formed by acetaldehyde and CO2 showed the maximum redshift of the acetaldehyde carbonyl band to be from 1746.0 to 1743.5 cm−1 and the maximum blueshift of the aldehyde CH proton to be from 2717.0 to 2718.3 cm−1 [70]. Both observations are consistent with a two-point noncovalent interaction, as the computer-predicted structures indicated.
Based on these preliminary calculations, the acetate and acetyl amide heads, providing low and high binding energies, were chosen and attached to three OEGs formed by one, two, and three ethylene glycol monomers. The BEs, associated with the interaction with CO2, were calculated, and they are reported in Table 2. These values show that the OEG-acetyl amide once again provided the highest binding energies. In addition, the OEGs attached to the head groups did not significantly modify the BE of the head groups, as the values remained substantially unchanged compared to those in Table 1. Thus, the acetate head group still exhibited lower binding energies. In Table S2, the binding energies calculated using the X3LYP and referring to the interactions of the OEG-acetyl amide and acetate are reported. From the values in Table 2, it can be observed that the OEG-acetyl amide functional groups still provided a higher binding energy than the OEG-acetate, and the number of monomers did not affect the values of the binding energies.
Table 2.
Binding energies, referring to the interaction between the OEG-head group and CO2. Acetate and acetyl amide were used as heads, while one, two, and three ethylene glycol monomers were considered to be the hooks.
This analysis highlights that the OEG-acetyl amide functional group can be used to functionalize the edges of CNTs and obtain nanotubes with high affinity toward polar gases, such as CO2.
3.2. Affinity of the Functionalized CNT Edge toward the Target Gases
Before proceeding with the analysis of the affinity of the functionalized CNT toward the investigated gases, we calculated the binding energies associated with the interactions between the acetyl amide head and the target gases. The calculated values are reported in Table 3 and Table 4, respectively. It is worth mentioning that the number of ethylene glycol monomers did not affect the binding energies of the heads, as shown in Table 2, and therefore a single monomer was used as the hook in the functional group. The wisdom of this choice will be discussed later. Importantly, the influence of the number of ethylene glycol monomers on the binding energies was tested for a maximum of three monomers. Further calculations, requiring molecular dynamics approaches, would be needed to understand the influence of the hook length on the interaction with gas molecules. This is beyond the scope of this work, as it would require evaluation of the steric hindrance of functional groups at the nanotube entrance.
Table 3.
Binding energies, referring to the interaction between the acetyl amide head group and H2O, H2S, CO2, CH4, and H2.
Table 4.
Binding energies, referring to the interaction between the 1EG-CH2CONH2 functional group and H2O, H2S, CO2, CH4, and H2.
The values reported in Table 3 show that the selected acetyl amide head group gave the highest BE with H2O molecules. This is plausible since water is the most polar molecule among those analyzed. Therefore, it could form stronger hydrogen bonds between the H2O oxygen and the hydrogen of the N-H group, as well as between the hydrogen of the water and the amide carbonyl, according to the arrangement shown in Figure 1a. Similar interactions were formed by H2S but to a lesser extent, since sulfur is less electronegative than water’s oxygen. Carbon dioxide continued to form a two-point noncovalent interaction with the amide group, but a slight difference in the binding energy, with respect to the value reported in Table 1, was found. This was due to the threshold criteria used in geometry optimization which, in this case, were less accurate than the stringent ones used in the previous optimization, in addition to the different basis set used in the last calculation. The nonpolar CH4 and H2 molecules showed comparable binding energies and markedly lower values compared with the polar gases. We found that the BE of H2O was about 14 times higher than that of H2 (larger by an order of magnitude), while the BE of CO2 was six times higher than the binding energy of the hydrogen molecule. Meanwhile, the binding energies were related to the adsorption of the gas molecules on the FG. This result is quite interesting, because it shows that the selected acetyl amide group allowed efficient selective adsorption of polar molecules with respect to methane and hydrogen, suggesting efficient selectivity of the functionalized CNTs.
The binding energies associated with the two-point interactions between the modified ethylene glycol-acetyl amide and target molecules are shown in Table 4. From this table, it can still be observed that the number of ethylene glycol monomers did not significantly modify the BEs. In general, all the binding energies decreased negligibly compared with the values reported in Table 3, and thus the trend found was still maintained, with the H2O BE being 14 times larger than that of H2. As a result, we can conclude that this functional group can be used to functionalize the edges of CNTs in order to significantly increase the affinity and selectivity of the nanotube toward polar gas molecules.
It should be noted that the number of ethylene glycol monomers used in the hook of the functional group should be calibrated according to the CNT diameter. Specifically, in order to obtain high selectivity for the CNTs toward small gaseous molecules, nanotubes with large diameters require various FGs on their edges with a greater number of monomers. Additionally, the orientation of the anchored FGs will be important in this case. FGs with a large number of monomers oriented toward the center of CNTs can hinder the diffusion of the gaseous molecules into the CNTs. In this regard, a good compromise between CNT-FG models and the computational time should also be considered, as CNT-FG models with large nanotube diameters require high computational times. Thus, we believe that for the proof of concept proposed in this work, a CNT with a diameter of 1.58 nm and a functional group formed by one modified ethylene glycol monomer in the hook is a good compromise.
The optimized geometries of the CNT-FG (FG = 1EG-CH2CONH2) interacting with the target molecules are shown in Figure 2. The various optimized structures were visualized with Avogadro software (version 1.2.0) [79] by considering the van der Wall spheres on each atom of the systems in order to qualitatively evaluate the steric hindrance of the FG attached on the CNT. The structures show that the orientation of the functional group interacting with the target molecules was almost perpendicular to the inlet plane of the nanotube, except for the functional group, which interacted with the H2S molecules (Figure 2b). In this case, the optimized FG-H2S adduct was directed outside the CNT entrance, and this suggests that once the H2S is adsorbed, it is less likely to jump into the CNTs compared with the other gases.

Figure 2.
Top view of the functionalized CNT with the optimized structures of the selected functional group, interacting with (a) H2O, (b) H2S, (c) CO2 (d) CH4, and (e) H2. Oxygen atoms are red, hydrogen atoms are white, carbon atoms are gray, sulfur atoms are yellow, and nitrogen atoms are blue.
However, these optimized structures demonstrate that the proposed FG attached to the CNT edge with a diameter of 1.58 nm did not hinder the diffusion of the target molecules inside the nanotube. Furthermore, the optimized structures of the CNT functionalized with two functional groups interacting with H2O, CO2, and CH4 are shown in Figure 3.
Figure 3.
Top view of the functionalized CNT edge with two optimized functional groups, interacting with (a) H2O, (b) CO2, and (c) CH4. Oxygen atoms are red, hydrogen atoms are white, carbon atoms are gray, and nitrogen atoms are light blue.
As for the CNT functionalized with a single functional group, the structures in Figure 3 again show that two functional groups on the edge of the nanotube did not inhibit the entrance of gaseous molecules into the CNT and therefore their diffusion. Thus, this topological analysis suggests that functionalization of the CNT with the proposed functional group, formed by the modified ethylene glycol and acetyl amide, will be beneficial in improving the affinity of the nanotube toward polar gas molecules. It is worth mentioning that the functional groups not interacting with the gas molecules might form an intermolecular interaction with each other at the inlet of the CNT. However, by using only one monomer of ethylene glycol, this interaction is less likely. As highlighted, the influence of the hook length was beyond the scope of this work, as it would require evaluation of the steric hindrance and intermolecular interaction between the functional groups at the nanotube entrance. Starting from the obtained outcomes, we calculated the binding energies, reported in Table 5, associated with the interactions between the functionalized CNT and the target molecules.
Table 5.
Binding energies, referring to the interaction between CNT-FG and H2O, H2S, CO2, CH4, and H2 molecules.
The values of Table 5 show a systematic increase in the binding energies. In particular, the BEs of the most polar gases (H2O and H2S) increased more than the energies of methane and hydrogen. The H2O BE in this case was more than six times higher than the binding energy of H2. Hence, when the proposed functional group was attached to the carbon nanotube, the ratio between the binding energies of H2O (the most polar gas) and that of H2 (less polar) was significantly reduced. Nevertheless, it remained significantly high. It is worth mentioning that the binding energies shown in Table 5 were associated with weak intermolecular interactions, and thus it is plausible that polar gases adsorbed on the functional groups can pass into the CNTs without requiring excessive energy to break the interaction with the FGs. Considering that the affinity of the nanotube inlet for a gas molecule is related to the corresponding binding energy linked with the interactions between the anchored functional group and the gas molecule, the values in Table 5 show that functionalization of nanotubes with the modified ethylene glycol-acetyl amide group would be beneficial to increasing the permselectivity of VA-CNT membranes toward polar gases.
There are some papers in the literature where CNTs (SWCNTs or MWCNTs) have been grafted using ethylene glycol-based groups but not the proposed acetyl amide [80,81,82,83]. Furthermore, there are not theoretical studies about how these groups on CNTs’ surfaces can affect the adsorption and diffusion in the literature yet, concluding in their separation. Thus, in this work, we analyzed the ability of some chemical groups to form two-point noncovalent interactions with light gases, in which an electrostatic interaction is coupled with a hydrogen bond. The group which provided the greatest two-point noncovalent interaction was therefore identified (i.e., acetyl amide). This represents a novel finding in the field of selective adsorption and functionalized supports. The polarity of the gas is a parameter controlling the selective adsorption because, as demonstrate in this study, the binding of each gas on the FG is correlated with the gas polarity. This aspect has not yet been explored in detail, and thus this work can be considered a reference (pioneer) for the design of other functional groups, providing the selective adsorption of polar gases through a two-point interaction mechanism which promotes greater diffusion of the molecules inside CNTs.
One final aspect which deserves to be mentioned is the analysis of the chemical reaction barriers. We are aware that the modeling of transition states is quite interesting when a real mixture is considered in the separation process for, above all, biogas upgrades, where a mixture of gases of CO2, H2S, O2, CH4, and H2O exists in the feed stream. Indeed, in this kind of mixture, reactions like H2S + O2 → H2O + SO2 and H2S + H2O → H2SO4 + H2, which conclude in H2SO4, SO2, and H2 formation, must be taken into account. However, before considering chemical reactions, when competing with molecular adsorption, the gas’s noncovalent interaction between the CNT-FG and target gases should be thoroughly evaluated to provide reliable functionalized support. The aim of this work was to verify, from a computational point of view, whether specific functional groups can interact selectively with polar gases compared with non-polar ones using a two-point non-covalent interaction. In particular, we wanted to suggest a specific FG for which the above interaction is maximal. Therefore, this research should be considered a preliminary study to other investigations, such as transition state analysis which goes beyond the scope of this work. It is worth noting that the general conclusions presented in this work, concerning the selective adsorption on the proposed FG, can be extended to molecules such as H2SO4, and SO2 as well.
4. Conclusions
In the current research, first-principle calculations were carried out in the framework of density functional theory to propose a new functional group for highly packed functionalized VA-CNT membranes which interact preferentially with the polar molecules CO2, H2O, and H2S rather than CH4 and H2. From a preliminary screening, modified ethylene glycol and acetyl amide functional groups were suggested.
The results show that the inlet of the carbon nanotube functionalized with the proposed functional group showed a greater affinity toward polar molecules compared with non-polar ones, the binding energy of H2O with the FG was more than six times higher than the binding energy of H2. This ratio is significantly high, suggesting that the functionalization of CNTs with a modified ethylene glycol-acetyl amide can be useful for increasing the permselectivity of nanotubes. Furthermore, from a topological analysis, it can be observed that the proposed FG did not exhibit high steric hindrance to the diffusion of the adsorbed gas molecules, even when considering two FGs per edge for the CNTs. This result predicts that polar gases adsorbed on a functional group can move into the CNT without requiring excessive energy while also considering that the correlated binding energies are associated with weak intermolecular interactions.
Bearing in mind that the affinity of functionalized surfaces to gas molecules is related to the corresponding binding energies, which are associated with the interactions between the functional group and molecules, this work suggests that CNT functionalization with the proposed functional group is beneficial for increasing the permselectivity of VA-CNT membranes toward polar gases, which is advantageous for several processes where separations of polar gases from nonpolar gases is required, such as biogas upgrading.
Supplementary Materials
The following supporting information can be downloaded at https://www.mdpi.com/article/10.3390/ma17143588/s1, Table S1: Binding energies referring to the interaction between heads group and CO2 by using X3LYP functional; Table S2: Binding energies referring to the interaction between OEG-head group and CO2. Acetate and acetyl amide are used as heads while one, two and three ethylene glycol monomers were considered as the hooks.
Author Contributions
Conceptualization, G.D.L.; Methodology, G.D.L.; Validation, E.P.F.; Formal analysis, E.P.F. and G.D.L.; Investigation, A.R. and G.D.L.; Data curation, A.R., N.A.-H. and G.D.L.; Writing—original draft, A.R. and G.D.L.; Writing—review & editing, N.A.-H., E.P.F. and G.D.L.; Visualization, N.A.-H. and E.P.F. All authors have read and agreed to the published version of the manuscript.
Funding
This research received no external funding.
Institutional Review Board Statement
Not applicable.
Informed Consent Statement
Not applicable.
Data Availability Statement
The original contributions presented in the study are included in the article/Supplementary Materials, further inquiries can be directed to the corresponding author.
Conflicts of Interest
The authors declare no conflict of interest.
References
- Habib, R.; Yadollahi, B.; Saeed, A.; Doranehgard, M.H.; Karimi, N. On the Response of Ultralean Combustion of CH4/H2 Blends in a Porous Burner to Fluctuations in Fuel Flow—An Experimental Investigation. Energy Fuels 2021, 35, 8909–8921. [Google Scholar] [CrossRef]
- Lopez-Ruiz, G.; Alava, I.; Blanco, J.M. Impact of H2/CH4 blends on the flexibility of micromix burners applied to industrial combustion systems. Energy 2023, 270, 126882. [Google Scholar] [CrossRef]
- du Toit, M.; Engelbrecht, N.; Oelofse, S.P.; Bessarabov, D. Performance evaluation and emissions reduction of a micro gas turbine via the co-combustion of H2/CH4/CO2 fuel blends. Sustain. Energy Technol. Assess. 2020, 39, 100718. [Google Scholar] [CrossRef]
- Xie, Y.; Li, Q. A review on mixing laws of laminar flame speed and their applications on H2/CH4/CO/air mixtures. Int. J. Hydrogen Energy 2020, 45, 20482–20490. [Google Scholar] [CrossRef]
- Yang, M.; Liu, W.; Sun, C.; Yu, W.; Lu, Y.; Liu, H.; An, Z.; Wang, J.; Lan, X.; Shi, T.; et al. Applicability Evaluation and Demonstration of Domestic Gas Appliance Using Natural Gas-Hydrogen Mixture. Mech. Eng. 2022, 44, 794–800. [Google Scholar]
- Capurso, T.; Stefanizzi, M.; Torresi, M.; Camporeale, S.M. Perspective of the role of hydrogen in the 21st century energy transition. Energy Convers. Manag. 2022, 251, 114898. [Google Scholar] [CrossRef]
- Wan, Z.; Tao, Y.; Shao, J.; Zhang, Y.; You, H. Ammonia as an effective hydrogen carrier and a clean fuel for solid oxide fuel cells. Energy Convers. Manag. 2021, 228, 113729. [Google Scholar] [CrossRef]
- Tezer, Ö.; Karabağ, N.; Öngen, A.; Çolpan, C.Ö.; Ayol, A. Biomass gasification for sustainable energy production: A review. Int. J. Hydrogen Energy 2022, 47, 15419–15433. [Google Scholar] [CrossRef]
- Liu, X.; Elgowainy, A.; Wang, M. Life cycle energy use and greenhouse gas emissions of ammonia production from renewable resources and industrial by-products. Green Chem. 2020, 22, 5751–5761. [Google Scholar] [CrossRef]
- Su, B.; Luo, Z.; Wang, T.; Xie, C.; Cheng, F. Chemical kinetic behaviors at the chain initiation stage of CH4/H2/air mixture. J. Hazard. Mater. 2021, 403, 123680. [Google Scholar] [CrossRef]
- Kıymaz, T.B.; Böncü, E.; Güleryüz, D.; Karaca, M.; Yılmaz, B.; Allouis, C.; Gökalp, İ. Numerical investigations on flashback dynamics of premixed methane-hydrogen-air laminar flames. Int. J. Hydrogen Energy 2022, 47, 25022–25033. [Google Scholar] [CrossRef]
- Zhen, X.; Li, X.; Wang, Y.; Liu, D.; Tian, Z. Comparative study on combustion and emission characteristics of methanol/hydrogen, ethanol/hydrogen and methane/hydrogen blends in high compression ratio SI engine. Fuel 2020, 267, 117193. [Google Scholar] [CrossRef]
- Mahajan, D.; Tan, K.; Venkatesh, T.; Kileti, P.; Clayton, C.R. Hydrogen Blending in Gas Pipeline Networks—A Review. Energies 2022, 15, 3582. [Google Scholar] [CrossRef]
- Choi, H.; Kim, Y.T.; Tsang, Y.F.; Lee, J. Integration of thermochemical conversion processes for waste-to-energy: A review. Korean J. Chem. Eng. 2023, 40, 1815–1821. [Google Scholar] [CrossRef]
- Wang, F.; Xiao, C.; Zhang, D.; Wen, X.; Deng, H.; Chen, G. The effect of CH4 addition on high-H2 syngas combustion characteristics under N2/CO2 dilution. J. Energy Inst. 2024, 114, 101600. [Google Scholar] [CrossRef]
- Alavandi, S.K.; Agrawal, A.K. Experimental study of combustion of hydrogen–syngas/methane fuel mixtures in a porous burner. Int. J. Hydrogen Energy 2008, 33, 1407–1415. [Google Scholar] [CrossRef]
- Peters, R.; Baltruweit, M.; Grube, T.; Samsun, R.C.; Stolten, D. A techno economic analysis of the power to gas route. J. CO2 Util. 2019, 34, 616–634. [Google Scholar] [CrossRef]
- Ozturk, M.; Dincer, I. A comprehensive review on power-to-gas with hydrogen options for cleaner applications. Int. J. Hydrogen Energy 2021, 46, 31511–31522. [Google Scholar] [CrossRef]
- Reiter, G.; Lindorfer, J. Global warming potential of hydrogen and methane production from renewable electricity via power-to-gas technology. Int. J. LCA 2015, 20, 477–489. [Google Scholar] [CrossRef]
- Mehrjerdi, H. Optimal correlation of non-renewable and renewable generating systems for producing hydrogen and methane by power to gas process. Int. J. Hydrogen Energy 2019, 44, 9210–9219. [Google Scholar] [CrossRef]
- Belacel, M.; Hadef, A.; Mameri, A.; Tou, I.; Skender, A.; Salhi, N. Statistical approach and numerical analysis of turbulent diffusion flame of CH4/H2 mixture. Energy Source Part A 2024, 46, 636–658. [Google Scholar] [CrossRef]
- Mendoza Morales, M.J.; Blondeau, J.; De Paepe, W. Assessing the impact of CH4/H2 blends on the thermodynamic performance of aero-derivative gas turbine CHP configurations. Int. J. Hydrogen Energy 2024, 67, 159–171. [Google Scholar] [CrossRef]
- Ziani, L.; Chaker, A. Ambient pressure effect on non-premixed turbulent combustion of CH4–H2 mixture. Int. J. Hydrogen Energy 2016, 41, 11842–11847. [Google Scholar] [CrossRef]
- Fan, G.; Hou, Y.; Huang, D.; Dang, J.; Zhang, R.; Xiang, J.; Lv, X.; Ding, X. Synthesis of Ti(C, N, O) ceramic from rutile at low temperature by CH4-H2-N2 gas mixture. Int. J. Refract. Met. Hard Mater. 2021, 101, 105659. [Google Scholar] [CrossRef]
- Berwal, P.; Khandelwal, B.; Kumar, S. Effect of ammonia addition on laminar burning velocity of CH4/H2 premixed flames at high pressure and temperature conditions. Int. J. Hydrogen Energy 2024, 49, 112–125. [Google Scholar] [CrossRef]
- Al-Yaseri, A.; Fatah, A. Impact of H2-CH4 mixture on pore structure of sandstone and limestone formations relevant to subsurface hydrogen storage. Fuel 2024, 358, 130192. [Google Scholar] [CrossRef]
- Ånestad, A.; Sampath, R.; Moeck, J.; Gruber, A.; Worth, N.A. The Structure and Stability of Premixed CH4, H2, and NH3/H2 Flames in an Axially Staged Can Combustor. J. Eng. Gas Turbine Power 2023, 146, V03BT04A022. [Google Scholar]
- Zhen, H.S.; Cheung, C.S.; Leung, C.W.; Choy, Y.S. A comparison of the emission and impingement heat transfer of LPG–H2 and CH4–H2 premixed flames. Int. J. Hydrogen Energy 2012, 37, 10947–10955. [Google Scholar] [CrossRef]
- Hou, S.-S.; Chiang, C.-Y.; Lin, T.-H. Oxy-Fuel Combustion Characteristics of Pulverized Coal under O2/Recirculated Flue Gas Atmospheres. Appl. Sci. 2020, 10, 1362. [Google Scholar] [CrossRef]
- Liu, H.; Zheng, S.; He, Y.; Yang, Y.; Lu, Q. Radiation effects of CO2 and H2O dilution on laminar flame speeds of syngas flames under elevated pressures. Int. J. Hydrogen Energy 2023, 48, 38870–38877. [Google Scholar] [CrossRef]
- Barker, R.; Hua, Y.; Neville, A. Internal corrosion of carbon steel pipelines for dense-phase CO2 transport in carbon capture and storage (CCS)—A review. Int. Mater. Rev. 2017, 62, 1–31. [Google Scholar] [CrossRef]
- Siažik, J.; Malcho, M. Accumulation of Primary Energy Into Natural Gas Hydrates. Procedia Eng. 2017, 192, 782–787. [Google Scholar] [CrossRef]
- Katsoulakos, N.; Doulos, I.; Kaliampakos, D. Sustainable organic waste treatment in mountainous areas through small biogas plants: Insights from Metsovo, Greece. In Proceedings of the 5th International Conference on Sustainable Solid Waste Management, Athens, Greece, 21–24 June 2017. [Google Scholar]
- Dai, Z.; Deng, L. Membranes for CO2 capture and separation: Progress in research and development for industrial applications. Sep. Purif. Technol. 2024, 335, 126022. [Google Scholar] [CrossRef]
- Roozitalab, A.; Hamidavi, F.; Kargari, A. A review of membrane material for biogas and natural gas upgrading. Gas Sci. Eng. 2023, 114, 204969. [Google Scholar] [CrossRef]
- Singla, S.; Shetti, N.P.; Basu, S.; Mondal, K.; Aminabhavi, T.M. Hydrogen production technologies—Membrane based separation, storage and challenges. J. Environ. Manag. 2022, 302, 113963. [Google Scholar] [CrossRef] [PubMed]
- Lee, W.H.; Seong, J.G.; Hu, X.; Lee, Y.M. Recent progress in microporous polymers from thermally rearranged polymers and polymers of intrinsic microporosity for membrane gas separation: Pushing performance limits and revisiting trade-off lines. J. Polym. Sci. 2020, 58, 2450–2466. [Google Scholar] [CrossRef]
- León, N.E.; Liu, Z.; Irani, M.; Koros, W.J. How to Get the Best Gas Separation Membranes from State-of-the-Art Glassy Polymers. Macromolecules 2022, 55, 1457–1473. [Google Scholar] [CrossRef]
- Li, S.; Liu, Y.; Wong, D.A.; Yang, J. Recent Advances in Polymer-Inorganic Mixed Matrix Membranes for CO2 Separation. Polymers 2021, 13, 2539. [Google Scholar] [CrossRef]
- Wang, Y.; Niu, Z.; Dai, Y.; Mu, P.; Li, J. Two-dimensional nanomaterial MXenes for efficient gas separation: A review. Nanoscale 2023, 15, 4170–4194. [Google Scholar] [CrossRef] [PubMed]
- Bilchak, C.R.; Jhalaria, M.; Huang, Y.; Abbas, Z.; Midya, J.; Benedetti, F.M.; Parisi, D.; Egger, W.; Dickmann, M.; Minelli, M.; et al. Tuning Selectivities in Gas Separation Membranes Based on Polymer-Grafted Nanoparticles. ACS Nano 2020, 14, 17174–17183. [Google Scholar] [CrossRef]
- Goh, P.S.; Wong, K.C.; Ismail, A.F. Nanocomposite Membranes for Liquid and Gas Separations from the Perspective of Nanostructure Dimensions. Membranes 2020, 10, 297. [Google Scholar] [CrossRef] [PubMed]
- Buonomenna, M.G.; Yave, W.; Golemme, G. Some approaches for high performance polymer based membranes for gas separation: Block copolymers, carbon molecular sieves and mixed matrix membranes. RSC Adv. 2012, 2, 10745–10773. [Google Scholar] [CrossRef]
- Zhu, J.; Hou, J.; Uliana, A.; Zhang, Y.; Tian, M.; Van der Bruggen, B. The rapid emergence of two-dimensional nanomaterials for high-performance separation membranes. J. Mater. Chem. A 2018, 6, 3773–3792. [Google Scholar] [CrossRef]
- Sears, K.; Dumée, L.; Schütz, J.; She, M.; Huynh, C.; Hawkins, S.; Duke, M.; Gray, S. Recent Developments in Carbon Nanotube Membranes for Water Purification and Gas Separation. Materials 2010, 3, 127–149. [Google Scholar] [CrossRef]
- Amirkhani, F.; Mosadegh, M.; Asghari, M.; Parnian, M.J. The beneficial impacts of functional groups of CNT on structure and gas separation properties of PEBA mixed matrix membranes. Polym. Test. 2020, 82, 106285. [Google Scholar] [CrossRef]
- Ashirov, T.; Yazaydin, A.O.; Coskun, A. Tuning the Transport Properties of Gases in Porous Graphene Membranes with Controlled Pore Size and Thickness. Adv. Mater. 2022, 34, 2106785. [Google Scholar] [CrossRef] [PubMed]
- Fatemi, S.M.; Baniasadi, A.; Moradi, M. Recent progress in molecular simulation of nanoporous graphene membranes for gas separation. J. Korean Phys. Soc. 2017, 71, 54–62. [Google Scholar] [CrossRef]
- Gu, Z.; Shi, Z.; Lin, G.; Zeng, S.; Elmegreen, B.; Luan, B. Highly efficient and selective H2/CH4 separation by graphene membranes with embedded crown ethers. Int. J. Hydrogen Energy 2022, 47, 24835–24842. [Google Scholar] [CrossRef]
- Favvas, E.; Nitodas, S.; Stefopoulos, A.; Papageorgiou, S.; Stefanopoulos, K.; Mitropoulos, A. High purity multi-walled carbon nanotubes: Preparation, characterization and performance as filler materials in co-polyimide hollow fiber membranes. Sep. Purif. Technol. 2014, 122, 262–269. [Google Scholar] [CrossRef]
- Favvas, E.; Stefanopoulos, K.; Nolan, J.; Papageorgiou, S.; Mitropoulos, A.; Lairez, D. Mixed Matrix Hollow Fiber Membranes with enhanced gas permeation properties. Sep. Purif. Technol. 2014, 132, 336–345. [Google Scholar] [CrossRef]
- Sharma, A.; Tripathi, B.; Vijay, Y.K. Dramatic Improvement in properties of magnetically aligned CNT/polymer nanocomposites. J. Memb. Sci. 2010, 361, 89–95. [Google Scholar] [CrossRef]
- Labropoulos, A.; Veziri, C.; Kapsi, M.; Pilatos, G.; Likodimos, V.; Tsapatsis, M.; Kanellopoulos, N.K.; Romanos, G.E.; Karanikolos, G.N. Carbon Nanotube Selective Membranes with Subnanometer, Vertically Aligned Pores, and Enhanced Gas Transport Properties. Chem. Mater. 2015, 27, 8198–8210. [Google Scholar] [CrossRef]
- Thornton, A.; Ahmed, A.; Stelzl, K.; Schaefer, A.; Majumder, M.; Park, H.B.; Hill, A.; Todd, B. Chapter 11 Ultrafast Transport in Nanotubes and Nanosheets. In Nanotubes and Nanosheets Functionalization and Applications of Boron Nitride and Other Nanomaterials; Chen, Y.I., Ed.; CRC Press: Boca Raton, FL, USA, 2015; pp. 271–304. [Google Scholar]
- Khan, M.M.; Filiz, V.; Bengtson, G.; Shishatskiy, S.; Rahman, M.M.; Lillepaerg, J.; Abetz, V. Enhanced gas permeability by fabricating mixed matrix membranes of functionalized multiwalled carbon nanotubes and polymers of intrinsic microporosity (PIM). J. Memb. Sci. 2013, 436, 109–120. [Google Scholar] [CrossRef]
- Zhang, Q.; Li, S.; Wang, C.; Guo, R. Carbon nanotube-based mixed-matrix membranes with supramolecularly engineered interface for enhanced gas separation performance. J. Memb. Sci. 2019, 598, 117794. [Google Scholar] [CrossRef]
- Du, F.; Qu, L.; Xia, Z.; Feng, L.; Dai, L. Membranes of Vertically Aligned Superlong Carbon Nanotubes. Langmuir 2011, 27, 8437–8443. [Google Scholar] [CrossRef] [PubMed]
- Majumder, M.; Chopra, N.; Andrews, R.; Hinds, B.J. Enhanced flow in carbon nanotubes. Nature 2005, 438, 44. [Google Scholar] [CrossRef]
- Kim, S.; Fornasiero, F.; Park, H.G.; In, J.B.; Meshot, E.; Giraldo, G.; Stadermann, M.; Fireman, M.; Shan, J.; Grigoropoulos, C.P.; et al. Fabrication of flexible, aligned carbon nanotube/polymer composite membranes by in-situ polymerization. J. Memb. Sci. 2014, 460, 91–98. [Google Scholar] [CrossRef]
- Baek, Y.; Kim, C.; Seo, D.K.; Kim, T.; Lee, J.S.; Kim, Y.H.; Ahn, K.H.; Bae, S.S.; Lee, S.C.; Lim, J.; et al. High performance and antifouling vertically aligned carbon nanotube membrane for water purification. J. Memb. Sci. 2014, 460, 171–177. [Google Scholar] [CrossRef]
- Majumder, M.; Chopra, N.; Hinds, B.J. Mass Transport through Carbon Nanotube Membranes in Three Different Regimes: Ionic Diffusion and Gas and Liquid Flow. ACS Nano 2011, 5, 3867–3877. [Google Scholar] [CrossRef]
- Lee, K.-J.; Park, H.-D. The most densified vertically-aligned carbon nanotube membranes and their normalized water permeability and high pressure durability. J. Memb. Sci. 2016, 501, 144–151. [Google Scholar] [CrossRef]
- Favvas, E.; Heliopoulos, N.; Papageorgiou, S.; Ch, A.; Mitropoulos; Kapantaidakis, G.; Kanrllopoulos, N. Helium and hydrogen selective carbon hollow fiber membranes: The effect of pyrolysis isothermal time. Sep. Purif. Technol. 2015, 142, 176. [Google Scholar] [CrossRef]
- Gotzias, A.; Sapalidis, A.; Favvas, E. Hydrogen adsorption simulations in isomorphous borohydride and imidazolate frameworks: Evaluations using interpolation. Int. J. Hydrogen Energy 2021, 46, 19778–19787. [Google Scholar] [CrossRef]
- Karousos, D.S.; Qadir, D.; Sapalidis, A.A.; Ahmad, F.; Favvas, E.P. Polymeric, metallic and carbon membranes for hydrogen separation: A review. Gas Sci. Eng. 2023, 120, 205167. [Google Scholar] [CrossRef]
- Agbadaola, O.; Qadir, D.; Ahmad, F.; Suleman, H.; Karousos, D.; Favvas, E. Hydrogen technologies and policies for sustainable future: A review. Chem. Pap. 2024, 78, 4057–4073. [Google Scholar] [CrossRef]
- Mahboubian, L.; Pakdel, S.; Azamat, J.; Erfan-Niya, H. Separation of H2/CH4 gas mixture through graphenylene membrane with functionalized nanopore: A computational study. Int. J. Hydrogen Energy 2022, 47, 28025–28033. [Google Scholar] [CrossRef]
- Zhu, L.; Jin, Y.; Xue, Q.; Li, X.; Zheng, H.; Wu, T.; Ling, C. Theoretical study of a tunable and strain-controlled nanoporous graphenylene membrane for multifunctional gas separation. J. Mater. Chem. A 2016, 4, 15015–15021. [Google Scholar] [CrossRef]
- Rudkevich, D.M. Emerging Supramolecular Chemistry of Gases. Angew. Chem. Int. Ed. 2004, 43, 558–571. [Google Scholar] [CrossRef] [PubMed]
- Raveendran, P.; Wallen, S.L. Sugar Acetates as Novel, Renewable CO2-philes. J. Am. Chem. Soc. 2002, 124, 7274–7275. [Google Scholar] [CrossRef]
- Wu, L.-g.; Yang, C.-h.; Wang, T.; Zhang, X.-y. Enhanced the performance of graphene oxide/polyimide hybrid membrane for CO2 separation by surface modification of graphene oxide using polyethylene glycol. Appl. Surf. Sci. 2018, 440, 1063–1072. [Google Scholar] [CrossRef]
- Zhao, X.; Xuan, H.; He, C. Enhanced separation and antifouling properties of PVDF ultrafiltration membranes with surface covalent self-assembly of polyethylene glycol. RSC Adv. 2015, 5, 81115–81122. [Google Scholar] [CrossRef]
- Valiev, M.; Bylaska, E.J.; Govind, N.; Kowalski, K.; Straatsma, T.P.; Van Dam, H.J.J.; Wang, D.; Nieplocha, J.; Apra, E.; Windus, T.L.; et al. NWChem: A comprehensive and scalable open-source solution for large scale molecular simulations. Comput. Phys. Commun. 2010, 181, 1477–1489. [Google Scholar] [CrossRef]
- Hertwig, R.H.; Koch, W. On the parameterization of the local correlation functional. What is Becke-3-LYP? Chem. Phys. Lett. 1997, 268, 345–351. [Google Scholar] [CrossRef]
- Grimme, S.; Antony, J.; Ehrlich, S.; Krieg, H. A consistent and accurate ab initio parametrization of density functional dispersion correction (DFT-D) for the 94 elements H-Pu. J. Chem. Phys. 2010, 132, 154104. [Google Scholar] [CrossRef] [PubMed]
- Grimme, S.; Antony, J.; Schwabe, T.; Mück-Lichtenfeld, C. Density functional theory with dispersion corrections for supramolecular structures, aggregates, and complexes of (bio)organic molecules. Org. Biomol. Chem. 2007, 5, 741–758. [Google Scholar] [CrossRef]
- Simon, S.; Duran, M.; Dannenberg, J.J. How does basis set superposition error change the potential surfaces for hydrogen-bonded dimers? J. Chem. Phys. 1996, 105, 11024–11031. [Google Scholar] [CrossRef]
- Xu, X.; Zhang, Q.; Muller, R.P.; Goddard, W.A. An extended hybrid density functional (X3LYP) with improved descriptions of nonbond interactions and thermodynamic properties of molecular systems. J. Chem. Phys. 2005, 122, 14105. [Google Scholar] [CrossRef]
- Hanwell, M.D.; Curtis, D.E.; Lonie, D.C.; Vandermeersch, T.; Zurek, E.; Hutchison, G.R. Avogadro: An advanced semantic chemical editor, visualization, and analysis platform. J. Cheminform. 2012, 4, 17. [Google Scholar] [CrossRef]
- Lin, T.-W.; Salzmann, C.; Shao, L.-D.; Yu, C.-H.; Green, M.; Tsang, S.C.E. Polyethylene glycol grafting and attachment of encapsulated magnetic iron oxide silica nanoparticles onto chlorosilanized single-wall carbon nanotubes. Carbon 2009, 47, 1415–1420. [Google Scholar] [CrossRef]
- Gong, C.; Xue, Z.; Wang, X.; Zhou, X.-P.; Xie, X.-L.; Mai, Y.-W. Poly(ethylene glycol) grafted multi-walled carbon nanotubes/LiFePO4 composite cathodes for lithium ion batteries. J. Power Sources 2014, 246, 260–268. [Google Scholar] [CrossRef]
- Lay, L.; Liu, H.; Tan, H.R.; Liu, Y. Delivery of paclitaxel by physically loading onto poly(ethylene glycol) (PEG)-graft-carbon nanotubes for potent cancer therapeutic. Nanotechnology 2010, 21, 065101. [Google Scholar] [CrossRef]
- Singh, S.; Varghese, A.M.; Reddy, K.S.K.; Romanos, G.E.; Karanikolos, G.N. Polysulfone Mixed-Matrix Membranes Comprising Poly(ethylene glycol)-Grafted Carbon Nanotubes: Mechanical Properties and CO2 Separation Performance. Ind. Eng. Chem. Res. 2021, 60, 11289–11308. [Google Scholar] [CrossRef]
Disclaimer/Publisher’s Note: The statements, opinions and data contained in all publications are solely those of the individual author(s) and contributor(s) and not of MDPI and/or the editor(s). MDPI and/or the editor(s) disclaim responsibility for any injury to people or property resulting from any ideas, methods, instructions or products referred to in the content. |
© 2024 by the authors. Licensee MDPI, Basel, Switzerland. This article is an open access article distributed under the terms and conditions of the Creative Commons Attribution (CC BY) license (https://creativecommons.org/licenses/by/4.0/).




