New Calamitic Mesogens Exhibiting Aggregation-Induced Emission (AIE)
Abstract
1. Introduction
2. Materials and Methods
2.1. Materials and Instruments
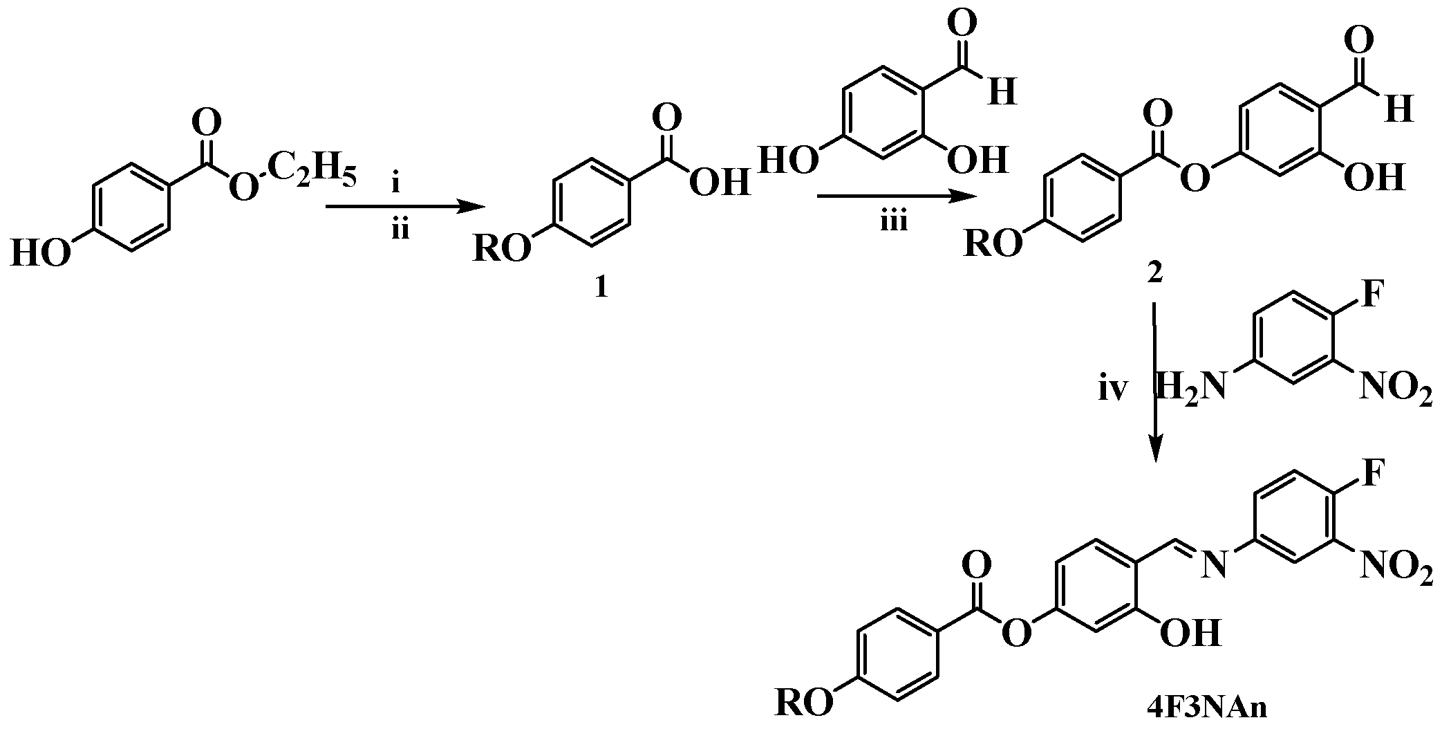
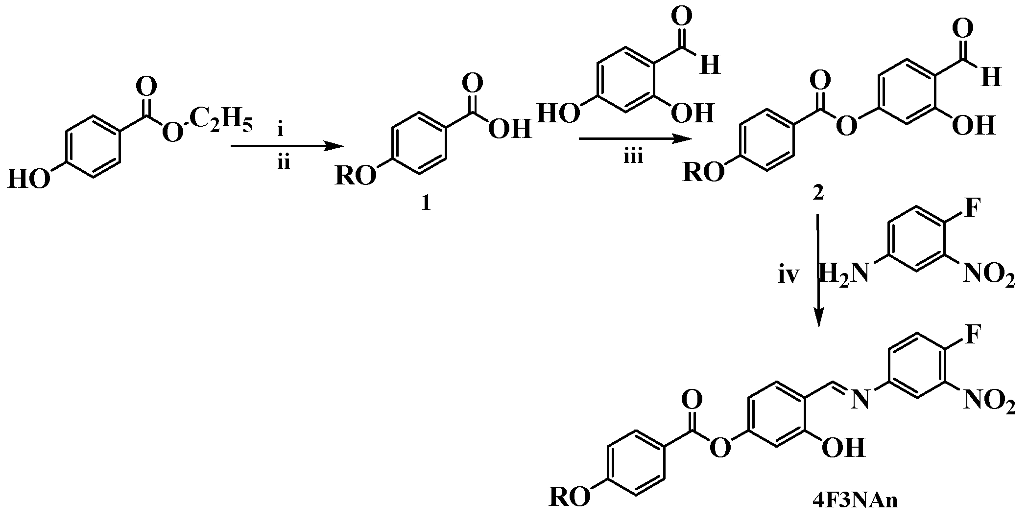
2.2. Synthesis of the AIEgenic Compounds
3. Results
3.1. Absorption Spectroscopy of the Synthesised Compounds
3.2. Fluorescence Study of the AIEgens
3.3. FT-IR Study of 4F3NA12
3.4. Polarized Optical Microscopy
3.5. Differential Scanning Calorimetry (DSC) of the Mesogens
3.6. Variable Temperature X-ray Diffraction
3.7. Variable Temperature Fluorescent Microscopy of the AIEgens
3.8. Computational Study
4. Discussion
5. Conclusions
Supplementary Materials
Author Contributions
Funding
Institutional Review Board Statement
Informed Consent Statement
Data Availability Statement
Acknowledgments
Conflicts of Interest
References
- He, Z.; Ke, C.; Tang, B.Z. Journey of Aggregation-Induced Emission Research. ACS Omega 2018, 3, 3267–3277. [Google Scholar] [CrossRef] [PubMed]
- Shellaiah, M.; Sun, K.-W. Pyrene-Based AIE Active Materials for Bioimaging and Theranostics Applications. Biosensors 2022, 12, 550. [Google Scholar] [CrossRef] [PubMed]
- Borelli, M.; Iasilli, G.; Minei, P.; Pucci, A. Fluorescent Polystyrene Films for the Detection of Volatile Organic Compounds Using the Twisted Intramolecular Charge Transfer Mechanism. Molecules 2017, 22, 1306. [Google Scholar] [CrossRef] [PubMed]
- Chan, J.; Dodani, S.C.; Chang, C.J. Reaction-Based Small-Molecule Fluorescent Probes for Chemoselective Bioimaging. Nat. Chem. 2012, 4, 973–984. [Google Scholar] [CrossRef] [PubMed]
- Ueno, T.; Nagano, T. Fluorescent Probes for Sensing and Imaging. Nat. Methods 2011, 8, 642–645. [Google Scholar] [CrossRef] [PubMed]
- Chen, Y.; Bai, Y.; Han, Z.; He, W.; Guo, Z. Photoluminescence Imaging of Zn2+ in Living Systems. Chem. Soc. Rev. 2015, 44, 4517–4546. [Google Scholar] [CrossRef] [PubMed]
- Filipek, P.; Karoń, K.; Hellwig, H.; Szłapa-Kula, A.; Filapek, M. The Role of Intermolecular Interaction on Aggregation-Induced Emission Phenomenon and OLED Performance. Materials 2022, 15, 8525. [Google Scholar] [CrossRef] [PubMed]
- Mei, J.; Leung, N.L.C.; Kwok, R.T.K.; Lam, J.W.Y.; Tang, B.Z. Aggregation-Induced Emission: Together We Shine, United We Soar! Chem. Rev. 2015, 115, 11718–11940. [Google Scholar] [CrossRef] [PubMed]
- Carlos, L.D.; Ferreira, R.A.S.; de Zea Bermudez, V.; Julián-López, B.; Escribano, P. Progress on Lanthanide-Based Organic–Inorganic Hybrid Phosphors. Chem. Soc. Rev. 2011, 40, 536–549. [Google Scholar] [CrossRef]
- Mei, J.; Hong, Y.; Lam, J.W.Y.; Qin, A.; Tang, Y.; Tang, B.Z. Aggregation-Induced Emission: The Whole Is More Brilliant than the Parts. Adv. Mater. 2014, 26, 5429–5479. [Google Scholar] [CrossRef]
- Wang, C.; Li, Z. Molecular Conformation and Packing: Their Critical Roles in the Emission Performance of Mechanochromic Fluorescence Materials. Mater. Chem. Front. 2017, 1, 2174–2194. [Google Scholar] [CrossRef]
- La, D.D.; Bhosale, S.V.; Jones, L.A.; Bhosale, S.V. Tetraphenylethylene-Based AIE-Active Probes for Sensing Applications. ACS Appl. Mater. Interfaces 2018, 10, 12189–12216. [Google Scholar] [CrossRef] [PubMed]
- Liu, L.; Zhang, W.; Zhong, M.-Q.; Jia, M.-H.; Jiang, F.; Zhang, Y.; Xiao, C.-D.; Xiao, X.; Shen, X.-C. Tetraphenylethene Derivative That Discriminates Parallel G-Quadruplexes. RSC Adv. 2022, 12, 14765–14775. [Google Scholar] [CrossRef] [PubMed]
- Sharath Kumar, K.S.; Girish, Y.R.; Ashrafizadeh, M.; Mirzaei, S.; Rakesh, K.P.; Hossein Gholami, M.; Zabolian, A.; Hushmandi, K.; Orive, G.; Kadumudi, F.B.; et al. AIE-Featured Tetraphenylethylene Nanoarchitectures in Biomedical Application: Bioimaging, Drug Delivery and Disease Treatment. Coord. Chem. Rev. 2021, 447, 214135. [Google Scholar] [CrossRef]
- Nishino, K.; Uemura, K.; Gon, M.; Tanaka, K.; Chujo, Y. Enhancement of Aggregation-Induced Emission by Introducing Multiple o-Carborane Substitutions into Triphenylamine. Molecules 2017, 22, 2009. [Google Scholar] [CrossRef] [PubMed]
- Tong, J.; Wang, Y.J.; Wang, Z.; Sun, J.Z.; Tang, B.Z. Crystallization-Induced Emission Enhancement of a Simple Tolane-Based Mesogenic Luminogen. J. Phys. Chem. C 2015, 119, 21875–21881. [Google Scholar] [CrossRef]
- Ma, Y.; Cametti, M.; Džolić, Z.; Jiang, S. AIE-Active Bis-Cyanostilbene-Based Organogels for Quantitative Fluorescence Sensing of CO 2 Based on Molecular Recognition Principles. J. Mater. Chem. C 2018, 6, 9232–9237. [Google Scholar] [CrossRef]
- Lewkowicz, A.; Bogdanowicz, R.; Bojarski, P.; Pierpaoli, M.; Gryczyński, I.; Synak, A.; Mońka, M.; Karczewski, J.; Struck-Lewicka, W.; Wawrzyniak, R.; et al. The Luminescence of 1,8-Diazafluoren-9-One/Titanium Dioxide Composite Thin Films for Optical Application. Materials 2020, 13, 3014. [Google Scholar] [CrossRef]
- Lewkowicz, A.; Pierpaoli, M.; Walczewska-Szewc, K.; Czarnomska, M.; Bojarski, P.; Bogdanowicz, R.; Pogorzelski, S.; Kułak, L.; Karczewski, J. Nonconventional 1,8-Diazafluoren-9-One Aggregates for Green Light Enhancement in Hybrid Biocompatible Media. Materials 2022, 15, 5012. [Google Scholar] [CrossRef]
- Xin, X.-L.; Chen, M.; Ai, Y.; Yang, F.; Li, X.-L.; Li, F. Aggregation-Induced Emissive Copper(I) Complexes for Living Cell Imaging. Inorg. Chem. 2014, 53, 2922–2931. [Google Scholar] [CrossRef]
- Evans, D.A.; Lee, L.M.; Vargas-Baca, I.; Cowley, A.H. Aggregation-Induced Emission of Bis(Imino)Acenaphthene Zinc Complexes: Photophysical Tuning via Methylation of the Flanking Aryl Substituents. Organometallics 2015, 34, 2422–2428. [Google Scholar] [CrossRef]
- Zhao, Q.; Li, L.; Li, F.; Yu, M.; Liu, Z.; Yi, T.; Huang, C. Aggregation-Induced Phosphorescent Emission (AIPE) of Iridium( iii ) Complexes. Chem. Commun. 2008, 6, 685–687. [Google Scholar] [CrossRef] [PubMed]
- Zhao, J.; Feng, Z.; Zhong, D.; Yang, X.; Wu, Y.; Zhou, G.; Wu, Z. Cyclometalated Platinum Complexes with Aggregation-Induced Phosphorescence Emission Behavior and Highly Efficient Electroluminescent Ability. Chem. Mater. 2018, 30, 929–946. [Google Scholar] [CrossRef]
- Manimaran, B.; Thanasekaran, P.; Rajendran, T.; Lin, R.-J.; Chang, I.-J.; Lee, G.-H.; Peng, S.-M.; Rajagopal, S.; Lu, K.-L. Luminescence Enhancement Induced by Aggregation of Alkoxy-Bridged Rhenium(I) Molecular Rectangles. Inorg. Chem. 2002, 41, 5323–5325. [Google Scholar] [CrossRef]
- Alam, P.; Climent, C.; Alemany, P.; Laskar, I.R. “Aggregation-Induced Emission” of Transition Metal Compounds: Design, Mechanistic Insights, and Applications. J. Photochem. Photobiol. C Photochem. Rev. 2019, 41, 100317. [Google Scholar] [CrossRef]
- Voskuhl, J.; Giese, M. Mesogens with Aggregation-induced Emission Properties: Materials with a Bright Future. Aggregate 2022, 3, e124. [Google Scholar] [CrossRef]
- Lei, Z.-Y.; Cai, Y.-H.; Leea, G.-H.; Lai, C.K. Luminescent Mesogenic Dimeric Borondifluoride Complexes. Liq. Cryst. 2021, 48, 955–973. [Google Scholar] [CrossRef]
- Peng, H.; Chen, Y.; Chen, L.; He, X.; Li, F. Luminescent Mesogen Jacketed Poly(1-Alkyne) Bearing Lateral Terphenyl with Hexyloxy Tail: Luminescent Mesogen Jacketed Poly(1-Alkyne). J. Polym. Sci. A Polym. Chem. 2010, 48, 5679–5692. [Google Scholar] [CrossRef]
- Marin, L.; Zabulica, A.; Sava, M. Symmetric Liquid Crystal Dimers Containing a Luminescent Mesogen: Synthesis, Mesomorphic Behavior, and Optical Properties. Soft Mater. 2013, 11, 32–39. [Google Scholar] [CrossRef]
- Chiriac, L.F.; Iliş, M.; Cîrcu, V. Luminescent Lanthanides Complexes with Mesogenic Pyridone Ligands: Emission and Liquid Crystals Properties. Polyhedron 2020, 190, 114748. [Google Scholar] [CrossRef]
- Vinayakumara, D.R.; Ulla, H.; Kumar, S.; Satyanarayan, M.N.; Adhikari, A.V. New Fluorescent Columnar Mesogens Derived from Phenanthrene–Cyanopyridone Hybrids for OLED Applications. Mater. Chem. Front. 2018, 2, 2297–2306. [Google Scholar] [CrossRef]
- Romanova, K.A.; Datskevich, N.P.; Taidakov, I.V.; Vitukhnovskii, A.G.; Galyametdinov, Y.G. Luminescent Characteristics of Some Mesogenic Tris(β-Diketonate) Europium(III) Complexes with Lewis Bases. Russ. J. Phys. Chem. 2013, 87, 2108–2111. [Google Scholar] [CrossRef]
- Yuan, W.Z.; Yu, Z.-Q.; Lu, P.; Deng, C.; Lam, J.W.Y.; Wang, Z.; Chen, E.-Q.; Ma, Y.; Tang, B.Z. High Efficiency Luminescent Liquid Crystal: Aggregation-Induced Emission Strategy and Biaxially Oriented Mesomorphic Structure. J. Mater. Chem. 2012, 22, 3323. [Google Scholar] [CrossRef]
- Lu, H.; Zhang, S.; Ding, A.; Yuan, M.; Zhang, G.; Xu, W.; Zhang, G.; Wang, X.; Qiu, L.; Yang, J. A Luminescent Liquid Crystal with Multistimuli Tunable Emission Colors Based on Different Molecular Packing Structures. New J. Chem. 2014, 38, 3429. [Google Scholar] [CrossRef]
- Chen, Y.; Lin, J.; Yuan, W.; Yu, Z.; Lam, J.W.; Tang, B.Z. 1-((12-Bromododecyl)Oxy)-4-((4-(4-Pentylcyclohexyl)Phenyl)Ethynyl) Benzene: Liquid Crystal with Aggregation-Induced Emission Characteristics. Sci. China Chem. 2013, 56, 1191–1196. [Google Scholar] [CrossRef]
- Yang, M.; Liu, Z.; Yang, B.; Zhang, H. Design, Synthesis and Properties of Hemiphasmidic Luminescent Liquid Crystal Polymers with the AIEE Effect. New J. Chem. 2019, 43, 4205–4215. [Google Scholar] [CrossRef]
- Chakraborty, B.B.; Anwar, S.; Das, S.; Paul, S.B.; Mohiuddin, G.; De, J.; Choudhury, S. Aggregation Dependent Fluorescence Switching in Benzothiazole Derivative Based H-Bonded Mesogen. Liq. Cryst. 2018, 45, 1644–1653. [Google Scholar] [CrossRef]
- Cook, A.G.; Wardell, J.L.; Brooks, N.J.; Seddon, J.M.; Martínez-Felipe, A.; Imrie, C.T. Non-Symmetric Liquid Crystal Dimer Containing a Carbohydrate-Based Moiety. Carbohydr. Res. 2012, 360, 78–83. [Google Scholar] [CrossRef]
- Shirota, Y.; Kinoshita, M.; Noda, T.; Okumoto, K.; Ohara, T. A Novel Class of Emitting Amorphous Molecular Materials as Bipolar Radical Formants: 2-{4-[Bis(4-Methylphenyl)Amino]Phenyl}- 5-(Dimesitylboryl)Thiophene and 2-{4-[Bis(9,9-Dimethylfluorenyl)Amino]Phenyl}- 5-(Dimesitylboryl)Thiophene. J. Am. Chem. Soc. 2000, 122, 11021–11022. [Google Scholar] [CrossRef]
- Zhang, H.Y.; Zhang, Z.L.; Ye, K.Q.; Zhang, J.Y.; Wang, Y. Organic Crystals with Tunable Emission Colors Based on a Single Organic Molecule and Different Molecular Packing Structures. Adv. Mater. 2006, 18, 2369–2372. [Google Scholar] [CrossRef]
- Hiscocks, J.; Frisch, M.J. Gaussian 09; Gaussian, Inc.: Wallingford, CT, USA, 2009. [Google Scholar]
- Becke, A.D. Density-functional Thermochemistry. III. The Role of Exact Exchange. J. Chem. Phys. 1993, 98, 5648–5652. [Google Scholar] [CrossRef]
- Lee, C.; Yang, W.; Parr, R.G. Development of the Colle-Salvetti Correlation-Energy Formula into a Functional of the Electron Density. Phys. Rev. B 1988, 37, 785–789. [Google Scholar] [CrossRef] [PubMed]
- Avogadro: An Open-Source Molecular Builder and Visualization Tool. Version 1.2.0. Available online: http://avogadro.cc/ (accessed on 26 June 2022).
- Hanwell, M.D.; Curtis, D.E.; Lonie, D.C.; Vandermeersch, T.; Zurek, E.; Hutchison, G.R. Avogadro: An Advanced Semantic Chemical Editor, Visualization, and Analysis Platform. J. Cheminform. 2012, 4, 17. [Google Scholar] [CrossRef] [PubMed]
- Ali, I.; Sharma, S.; Bezbaruah, B. Quantum Mechanical Study on the π-π Stacking Interaction and Change in Conformation of Phenolic Systems with Different Intermolecular Rotations. Computational Chemistry 2018, 6, 71–86. [Google Scholar] [CrossRef]
- Hudson, G.A.; Cheng, L.; Yu, J.; Yan, Y.; Dyer, D.J.; McCarroll, M.E.; Wang, L. Computational Studies on Response and Binding Selectivity of Fluorescence Sensors. J. Phys. Chem. B 2010, 114, 870–876. [Google Scholar] [CrossRef]
- Zong, L.; Xie, Y.; Wang, C.; Li, J.-R.; Li, Q.; Li, Z. From ACQ to AIE: The Suppression of the Strong π–π Interaction of Naphthalene Diimide Derivatives through the Adjustment of Their Flexible Chains. Chem. Commun. 2016, 52, 11496–11499. [Google Scholar] [CrossRef]
- Leung, N.L.C.; Xie, N.; Yuan, W.; Liu, Y.; Wu, Q.; Peng, Q.; Miao, Q.; Lam, J.W.Y.; Tang, B.Z. Restriction of Intramolecular Motions: The General Mechanism behind Aggregation-Induced Emission. Chem. Eur. J. 2014, 20, 15349–15353. [Google Scholar] [CrossRef]












| Compound | Cycle | T (°C) | Transition | ΔH (Jg−1) |
|---|---|---|---|---|
| 4F3NA12 | Heating | 97.3 | Cr-SmA | 99.28 |
| 175.9 | SmA-I | 7.22 | ||
| Cooling | 174.4 | I-SmA | −6.53 | |
| 70.2 | SmA-Cr | −46.31 | ||
| 4F3NA14 | Heating | 91.6 | Cr-SmA | 62.73 |
| 176.8 | SmA-I | 8.02 | ||
| Cooling | 176.1 | I-SmA | −8.10 | |
| 71.3 | SmA-Cr | −66.24 | ||
| 4F3NA16 | Heating | 95.7 | Cr-SmA | 61.32 |
| 177.8 | SmA-I | 6.70 | ||
| Cooling | 176.7 | I-SmA | −5.97 | |
| 76.8 | SmA-Cr | −61.43 |
| Sl. | Structure of 4F3NA12 | Wavelength, nm (Energy, eV) | Oscillator Strength | MOs | Coeff |
|---|---|---|---|---|---|
| 1. | Optimized structure (D0) (0° interplanar angle) | 460 nm (2.6945 eV) | 0.0195 | 142 → 143 | 0.69708 |
| 393 nm (3.1538 eV) | 0.0025 | 138 → 143 140 → 143 141 → 143 | 0.12717 0.18488 0.66654 | ||
| 2. | 15° interplanar angle (D15) | 456 nm (2.7142 eV) | 0.0195 | 142 → 143 | 0.69697 |
| 389 nm (3.1864 eV) | 0.0023 | 140 → 143 141 → 143 | 0.23311 0.66021 | ||
| 3. | 30° interplanar angle (D30) | 448 nm (2.7644 eV) | 0.0192 | 142 → 143 | 0.69622 |
| 383 nm (3.2303 eV) | 0.0041 | 140 → 143 141 → 143 | 0.29930 0.63615 | ||
| 4. | 45° interplanar angle (D45) | 438 nm (2.8267 eV) | 0.0192 | 142 → 143 | 0.69492 |
| 379 nm (3.2684 eV) | 0.0041 | 138 → 143 140 → 143 141 → 143 | −0.10977 −0.33742 0.60236 | ||
| 5. | 60° interplanar angle (D60) | 423 nm (2.9283 eV) | 0.0201 | 142 → 143 | 0.69106 |
| 380 nm (3.2612 eV) | 0.0205 | 138 → 143 140 → 143 141 → 143 | 0.23224 0.20295 0.61032 | ||
| 6. | 75° interplanar angle (D75) | 413 nm (3.0005 eV) | 0.0216 | 141 → 143 142 → 143 | 0.12919 0.68171 |
| 388 nm (3.1941 eV) | 0.0218 | 138 → 143 140 → 143 141 → 143 | 0.15019 0.65842 −0.12315 | ||
| 7. | 90° interplanar angle (D90) | 407 nm (3.0463 eV) | 0.0237 | 141 → 143 142 → 143 | −0.30499 0.62002 |
| 398 nm (3.1095 eV) | 0.0218 | 140 → 143 141 → 143 | 0.61911 0.29803 | ||
| 8. | Dimer parallel with -NO2 in anti-orientation (P-AntiNO2) | 590 nm (2.1020 eV) | 0.0039 | 284 → 285 284 → 286 | 0.68746 0.12455 |
| 537 nm (2.3078 eV) | 0.0041 | 277 → 285 277 → 286 284 → 286 | −0.50568 −0.22074 0.39764 | ||
| 9. | Dimer parallel with -NO2 in syn-orientation (P-SynNO2) | 551 nm (2.2503 eV) | 0.0100 | 283 → 285 284 → 285 | 0.60833 0.32632 |
| 535 nm (2.3160 eV) | 0.0002 | 276 → 285 277 → 285 | −0.23282 −0.63600 | ||
| 10. | Dimer in antiparallel orientation (AntiParallel) | 598 nm (2.0715 eV) | 0.0046 | 283 → 285 283 → 286 284 → 285 284 → 286 | 0.12905 −0.28007 −0.12311 0.60811 |
| 592 nm (2.0932 eV) | 0.0061 | 283 → 285 283 → 286 284 → 285 284 → 286 | 0.24809 0.10671 0.62925 0.12603 |
Disclaimer/Publisher’s Note: The statements, opinions and data contained in all publications are solely those of the individual author(s) and contributor(s) and not of MDPI and/or the editor(s). MDPI and/or the editor(s) disclaim responsibility for any injury to people or property resulting from any ideas, methods, instructions or products referred to in the content. |
© 2024 by the authors. Licensee MDPI, Basel, Switzerland. This article is an open access article distributed under the terms and conditions of the Creative Commons Attribution (CC BY) license (https://creativecommons.org/licenses/by/4.0/).
Share and Cite
Paul, S.; Chakraborty, B.B.; Rao, N.V.S.; Choudhury, S. New Calamitic Mesogens Exhibiting Aggregation-Induced Emission (AIE). Materials 2024, 17, 3587. https://doi.org/10.3390/ma17143587
Paul S, Chakraborty BB, Rao NVS, Choudhury S. New Calamitic Mesogens Exhibiting Aggregation-Induced Emission (AIE). Materials. 2024; 17(14):3587. https://doi.org/10.3390/ma17143587
Chicago/Turabian StylePaul, Saurav, Bimal Bhushan Chakraborty, Nandiraju V. S. Rao, and Sudip Choudhury. 2024. "New Calamitic Mesogens Exhibiting Aggregation-Induced Emission (AIE)" Materials 17, no. 14: 3587. https://doi.org/10.3390/ma17143587
APA StylePaul, S., Chakraborty, B. B., Rao, N. V. S., & Choudhury, S. (2024). New Calamitic Mesogens Exhibiting Aggregation-Induced Emission (AIE). Materials, 17(14), 3587. https://doi.org/10.3390/ma17143587

