Machine-Learning-Based Characterization and Inverse Design of Metamaterials
Abstract
1. Introduction
2. Methods
2.1. Numerical Homogenization Theory
2.2. Random Forest (RF) Algorithm
2.3. Aquila Optimizer
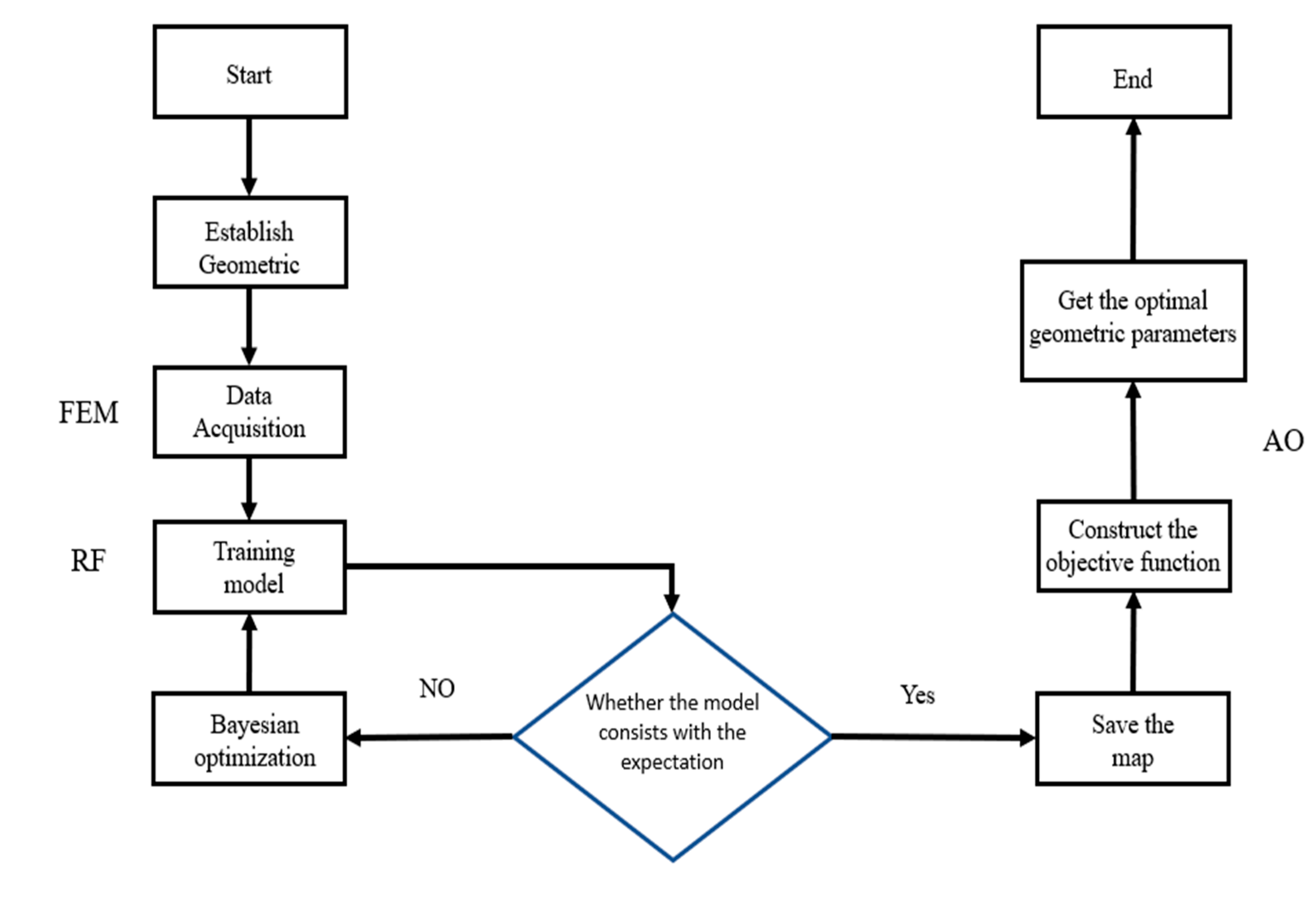
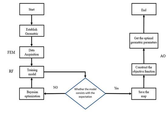
3. RF-Based Computational Scheme for Effective Properties and Inverse Design
3.1. Representative Topology Construction
| : | |
| : |
| : | ![]() | |
| : | ![]() |
| f (,,): |
3.2. Data Acquisition
3.3. Training and Prediction Process of RF
3.4. Inverse Design with AO
4. Results and Discussion
4.1. The Effective Properties of 2D Metamaterials
4.1.1. Effective Material Properties of 2D Porous Metamaterials
4.1.2. Effective Material Properties of 2D Solid–Solid Metamaterials
4.2. The Effective Properties of 3D Fluid-Solid Metamaterials
4.3. Performance of RF
4.4. Inverse Design of Metamaterials
5. Conclusions
- (1)
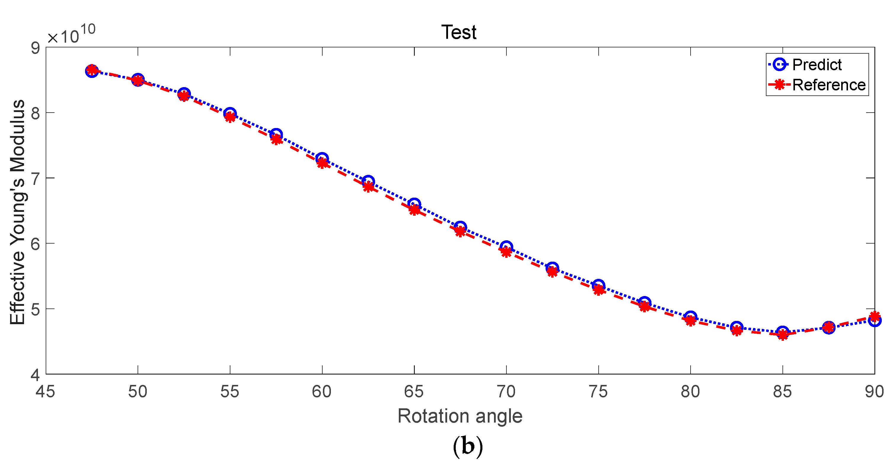
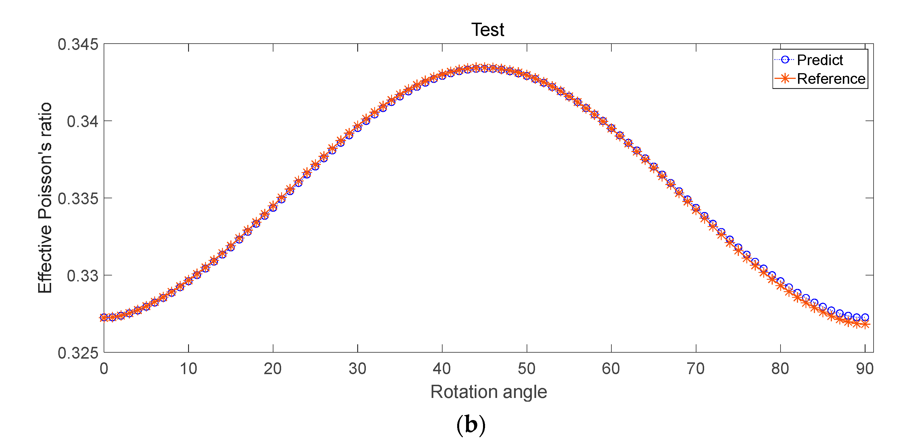
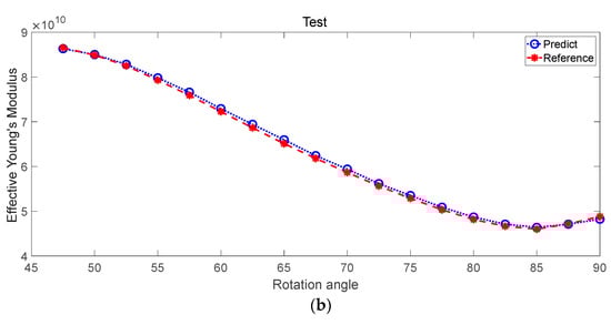
- For 2D microstructures, the RF regression model predicts the effective Young’s modulus, effective Poisson’s ratio, and effective thermal conductivity of porous and solid–solid metamaterials. The root mean square error, coefficient of determination, and mean absolute percentage error are 0.0002, 0.99945, and 0.0380, respectively.
- (2)
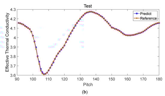
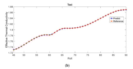
- For 3D microstructures, the RF regression model predicts the effective thermal conductivity of fluid-solid metamaterials in the case of hydrostatics and hydrodynamics. The root mean square error, coefficient of determination, and mean absolute percentage error are 0.0004, 0.99992, and 0.0182, respectively.
- (3)
- Moreover, our study demonstrates that the Aquila Optimizer (AO) performs effectively in solving multi-objective optimization problems. One microstructure with high Young’s modulus and low thermal conductivity is designed.
Author Contributions
Funding
Institutional Review Board Statement
Informed Consent Statement
Data Availability Statement
Conflicts of Interest
References
- Kumar, R.; Kumar, M.; Chohan, J.S.; Kumar, S. Overview on metamaterial: History, types and applications. Mater. Today Proc. 2022, 56, 3016–3024. [Google Scholar] [CrossRef]
- Li, E.; Zhang, Z.; Chang, C.; Zhou, S.; Liu, G.; Li, Q. A new homogenization formulation for multifunctional composites. Int. J. Comput. Methods 2016, 13, 1640002. [Google Scholar] [CrossRef]
- Hashin, Z.; Shtrikman, S. A variational approach to the theory of composite elastic materials. J. Mech. Phys. Solids 1963, 11, 127–140. [Google Scholar] [CrossRef]
- Ye, Z.; Yu, W. New Approach to Bounding Effective Properties of Random Heterogeneous Materials. AIAA J. 2013, 51, 426–432. [Google Scholar] [CrossRef]
- Schindler, S.; Mergheim, J.; Zimmermann, M.; Aurich, J.C.; Steinmann, P. Numerical homogenization of elastic and thermal material properties for metal matrix composites (MMC). Contin. Mech. Thermodyn. 2017, 29, 51–75. [Google Scholar] [CrossRef]
- Kinvi-Dossou, G.; Boumbimba, R.M.; Bonfoh, N.; Koutsawa, Y.; Eccli, D.; Gerard, P. A numerical homogenization of E-glass/acrylic woven composite laminates: Application to low velocity impact. Compos. Struct. 2018, 200, 540–554. [Google Scholar] [CrossRef]
- Li, Q.; Chen, W.; Liu, S.; Wang, J. A novel implementation of asymptotic homogenization for viscoelastic composites with periodic microstructures. Compos. Struct. 2019, 208, 276–286. [Google Scholar] [CrossRef]
- Al Achkar, G.; Pichon, L.; Daniel, L.; Benjelloun, N. Effective Electromagnetic Properties of Woven Fiber Composites for Shielding Applications. IEEE Trans. Electromagn. Compat. 2019, 62, 1082–1089. [Google Scholar] [CrossRef]
- Hassani, B.; Hinton, E. A review of homogenization and topology opimization II—Analytical and numerical solution of homogenization equations. Comput. Struct. 1998, 69, 719–738. [Google Scholar] [CrossRef]
- Panda, B.; Tan, M.J. Experimental study on mix proportion and fresh properties of fly ash based geopolymer for 3D concrete printing. Ceram. Int. 2018, 44, 10258–10265. [Google Scholar] [CrossRef]
- Ren, X.; Zhang, Y.; Han, C.Z.; Han, D.; Zhang, X.Y.; Zhang, X.G.; Xie, Y.M. Mechanical properties of foam-filled auxetic circular tubes: Experimental and numerical study. Thin-Walled Struct. 2022, 170, 108584. [Google Scholar] [CrossRef]
- Yuan, B.; Li, Z.; Chen, Y.; Ni, H.; Zhao, Z.; Chen, W.; Zhao, J. Mechanical and microstructural properties of recycling granite residual soil reinforced with glass fiber and liquid-modified polyvinyl alcohol polymer. Chemosphere 2022, 286, 131652. [Google Scholar] [CrossRef] [PubMed]
- Wei, J.; Chu, X.; Sun, X.Y.; Xu, K.; Deng, H.X.; Chen, J.; Wei, Z.; Lei, M. Machine learning in materials science. InfoMat 2019, 1, 338–358. [Google Scholar] [CrossRef]
- Shin, H.-C.; Roth, H.R.; Gao, M.; Lu, L.; Xu, Z.; Nogues, I.; Yao, J.; Mollura, D.; Summers, R.M. Deep convolutional neural networks for computer-aided detection: CNN architectures, dataset characteristics and transfer learning. IEEE Trans. Med. Imaging 2016, 35, 1285–1298. [Google Scholar] [CrossRef]
- Larranaga, P.; Calvo, B.; Santana, R.; Bielza, C.; Galdiano, J.; Inza, I.; Lozano, J.A.; Armananzas, R.; Santafé, G.; Pérez, A. Machine learning in bioinformatics. Brief. Bioinf. 2006, 7, 86–112. [Google Scholar] [CrossRef]
- Casaburo, A.; Magliacano, D.; Petrone, G.; Franco, F.; De Rosa, S. Gaussian-based machine learning algorithm for the design and characterization of a porous meta-material for acoustic applications. Appl. Sci. 2021, 12, 333. [Google Scholar] [CrossRef]
- Na, G.S.; Jang, S.; Lee, Y.L.; Chang, H. Tuplewise material representation based machine learning for accurate band gap prediction. J. Phys. Chem. A 2020, 124, 10616–10623. [Google Scholar] [CrossRef]
- Churyumov, A.Y.; Kazakova, A.A. Prediction of true stress at hot deformation of high manganese steel by artificial neural network Modeling. Materials 2023, 16, 1083. [Google Scholar] [CrossRef]
- Honysz, R. Modeling the chemical composition of ferritic stainless steels with the use of artificial neural networks. Metals 2021, 11, 724. [Google Scholar] [CrossRef]
- Breiman, L. Random forests. Mach. Learn. 2001, 45, 5–32. [Google Scholar] [CrossRef]
- Abualigah, L.; Yousri, D.; Abd Elaziz, M.; Ewees, A.A.; Al-Qaness, M.A.; Gandomi, A.H. Aquila optimizer: A novel meta-heuristic optimization algorithm. Comput. Ind. Eng. 2021, 157, 107250. [Google Scholar] [CrossRef]
- Wu, Q.; Xu, X.; Qian, H.; Wang, S.; Zhu, R.; Yan, Z.; Ma, H.; Chen, Y.; Huang, G. Active metamaterials for realizing odd mass density. Proc. Natl. Acad. Sci. USA 2023, 120, e2209829120. [Google Scholar] [CrossRef] [PubMed]
- Andreassen, E.; Andreasen, C.S. How to determine composite material properties using numerical homogenization. Comput. Mater. Sci. 2014, 83, 488–495. [Google Scholar] [CrossRef]
- Biau, G. Analysis of a random forests model. J. Mach. Learn. Res. 2012, 13, 1063–1095. [Google Scholar]
- Al-Ketan, O.; Lee, D.-W.; Rowshan, R.; Al-Rub, R.K.A. Functionally graded and multi-morphology sheet TPMS lattices: Design, manufacturing, and mechanical properties. J. Mech. Behav. Biomed. Mater. 2020, 102, 103520. [Google Scholar] [CrossRef]
- Marini, F.; Walczak, B. Particle swarm optimization (PSO). A tutorial. Chemom. Intell. Lab. Syst. 2015, 149, 153–165. [Google Scholar] [CrossRef]
- Mirjalili, S.; Mirjalili, S. Genetic algorithm. In Evolutionary Algorithms and Neural Networks: Theory and Applications; Springer: Berlin/Heidelberg, Germany, 2019; pp. 43–55. [Google Scholar]


















| Sample | RMSE | MAPE | R2 | Design Parameters | Dimension |
|---|---|---|---|---|---|
| 1 | 0.0354 | 0.0886 | 0.99924 | Rotation angle | 2D |
| 2 | 0.0008 | 0.0400 | 0.98978 | Rotation angle | 2D |
| 3 | 0.1190 | 0.0851 | 0.98097 | m, ss | 2D |
| 4 | 0.0002 | 0.0380 | 0.99945 | m, rotation angle | 2D |
| 5 | 0.0004 | 0.0182 | 0.99992 | Roll | 3D |
| 6 | 0.0034 | 0.0700 | 0.99907 | Pitch | 3D |
| Algorithm | Optimum Value | Optimal Solution | Time |
|---|---|---|---|
| AO | −0.41062 | 5.5449 1.0185 | 50.78 |
| PSO | −0.41061 | 5.5306 1.0126 | 69.53 |
| GA | −0.40359 | 4.0500 1.0000 | 35.68 |
Disclaimer/Publisher’s Note: The statements, opinions and data contained in all publications are solely those of the individual author(s) and contributor(s) and not of MDPI and/or the editor(s). MDPI and/or the editor(s) disclaim responsibility for any injury to people or property resulting from any ideas, methods, instructions or products referred to in the content. |
© 2024 by the authors. Licensee MDPI, Basel, Switzerland. This article is an open access article distributed under the terms and conditions of the Creative Commons Attribution (CC BY) license (https://creativecommons.org/licenses/by/4.0/).
Share and Cite
Liu, W.; Xu, G.; Fan, W.; Lyu, M.; Xia, Z. Machine-Learning-Based Characterization and Inverse Design of Metamaterials. Materials 2024, 17, 3512. https://doi.org/10.3390/ma17143512
Liu W, Xu G, Fan W, Lyu M, Xia Z. Machine-Learning-Based Characterization and Inverse Design of Metamaterials. Materials. 2024; 17(14):3512. https://doi.org/10.3390/ma17143512
Chicago/Turabian StyleLiu, Wei, Guxin Xu, Wei Fan, Muyun Lyu, and Zhaowang Xia. 2024. "Machine-Learning-Based Characterization and Inverse Design of Metamaterials" Materials 17, no. 14: 3512. https://doi.org/10.3390/ma17143512
APA StyleLiu, W., Xu, G., Fan, W., Lyu, M., & Xia, Z. (2024). Machine-Learning-Based Characterization and Inverse Design of Metamaterials. Materials, 17(14), 3512. https://doi.org/10.3390/ma17143512



