Effects of Graphene Reinforcement on Static Bending, Free Vibration, and Torsion of Wind Turbine Blades
Abstract
1. Introduction
2. Finite Element Modeling of GPL-Reinforced Wind Turbine Blade
2.1. Material Modeling of GPLRC
2.2. Geometry and Composite Layup of Wind Turbine Blade
2.3. Aerodynamic Loads Acting on Wind Turbine Blade
3. Results and Discussion
3.1. Validation of Finite Element Model
3.2. Application of GPLRC to Wind Turbine Blade
4. Conclusions
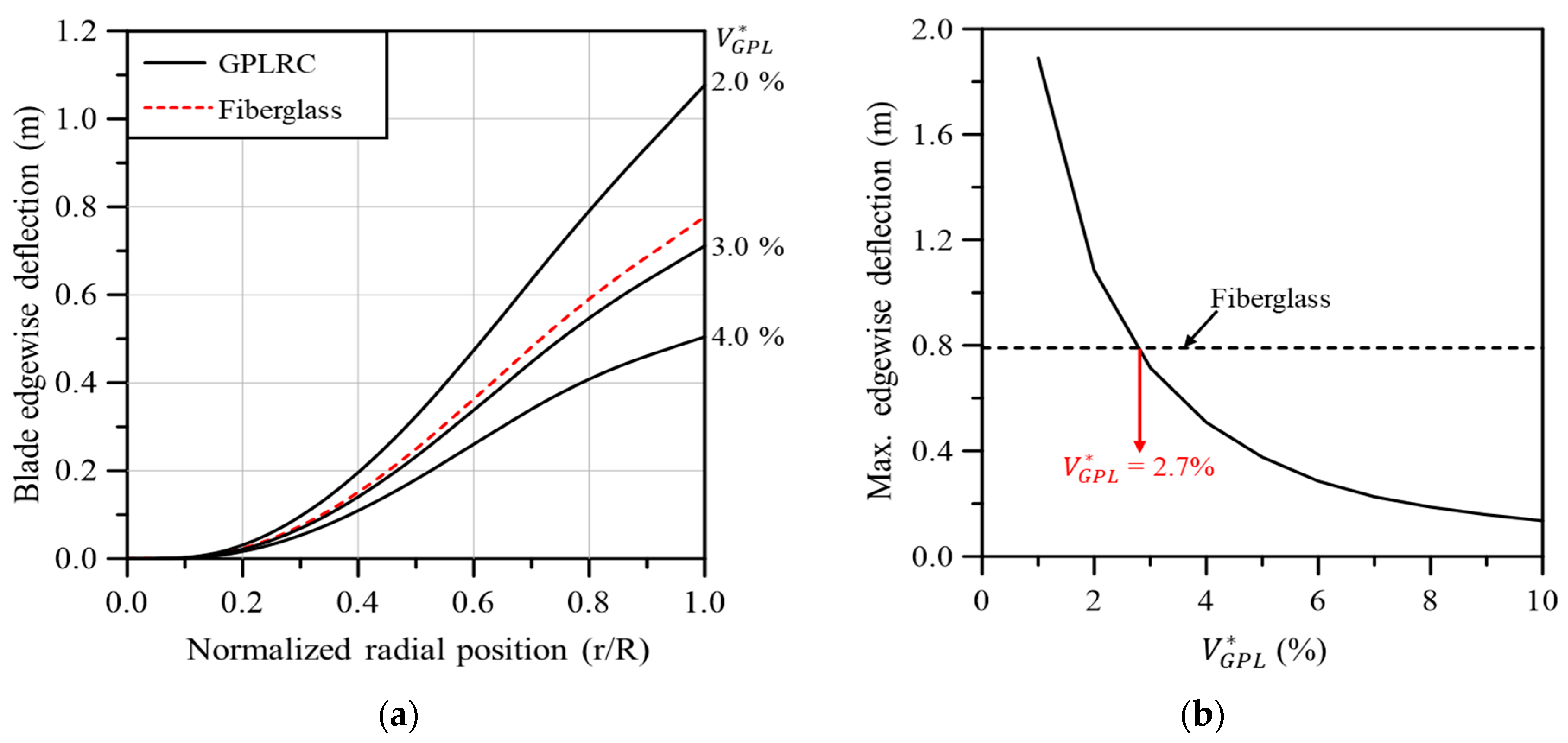
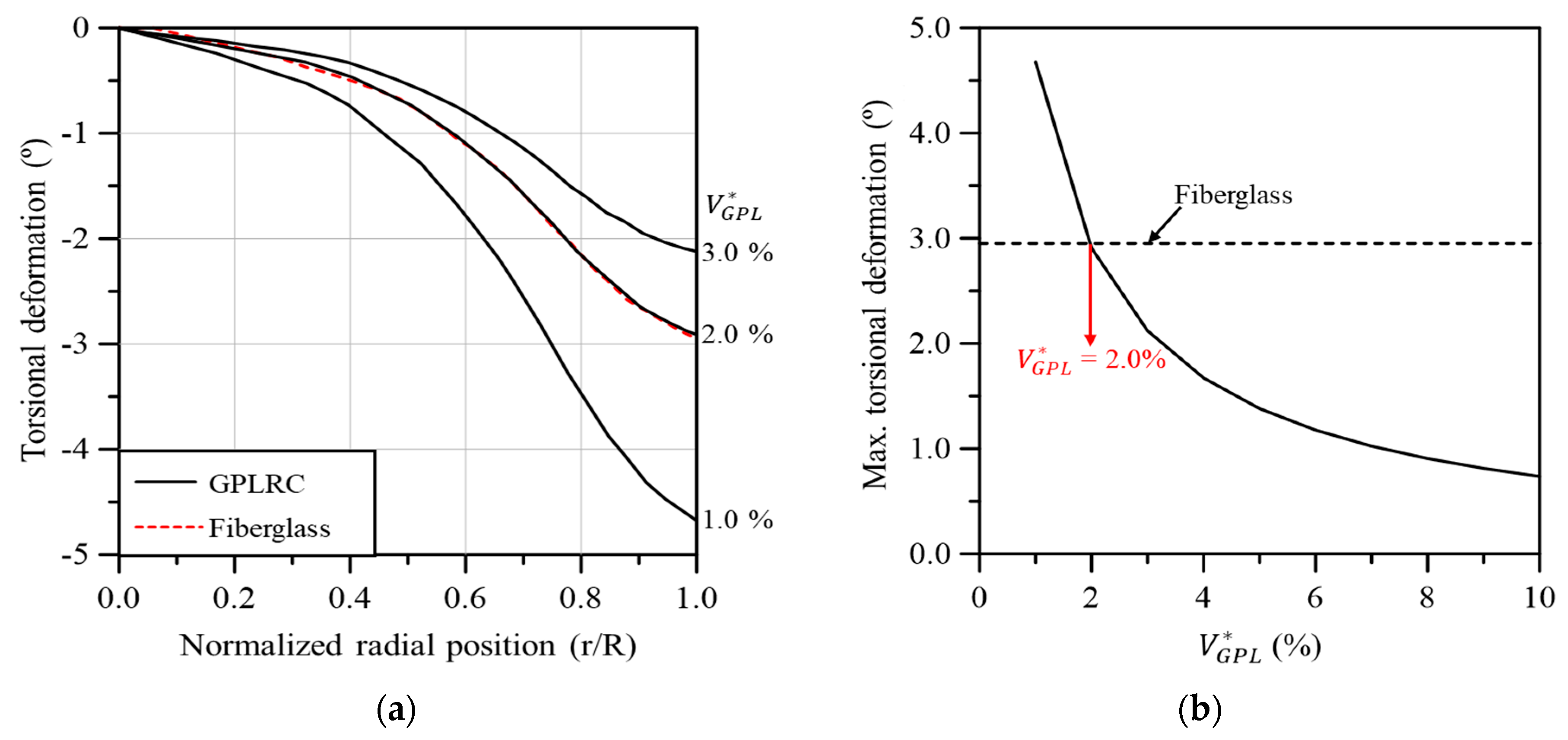
- A similar performance to the existing wind turbine blade was observed when was 2.7% for flapwise and edgewise deflection and 2.0% for torsional deformation.
- The natural frequency of the GPLRC-based wind turbine blade is higher than that of the existing fiberglass composite-based blade when is 2.0% and 2.7%.
- The production of 5 MW wind turbine blades using the materials discussed in this paper is expected to reduce weight by more than 20% while maintaining mechanical characteristics similar to those of existing blades.
- Reducing the weight of wind turbine blades is expected to significantly reduce the total construction cost of wind turbine support structures.
- The application of GPLRC remarkably reduces the fabrication cost of wind blades compared to other nanopillars such as CNT, and furthermore can also reduce the total weight of wind blades simultaneously.
Author Contributions
Funding
Institutional Review Board Statement
Informed Consent Statement
Data Availability Statement
Conflicts of Interest
Appendix A. Geometry Dimensions and Material Properties of Wind Blade
| Blade Span (m) | Airfoil Type | Chord Length LC (m) | Twist Angle (º) | Aero. Center x/LC |
|---|---|---|---|---|
| 0 | Circular | 3.386 | 13.308 | 0.5 |
| 1.3667 | Circular | 3.386 | 13.308 | 0.5 |
| 10.25 | DU99-W-405 | 4.557 | 13.308 | 0.275 |
| 14.35 | DU99-W-350 | 4.652 | 11.480 | 0.275 |
| 22.55 | DU97-W-300 | 4.249 | 9.011 | 0.275 |
| 26.65 | DU91-W-250 | 4.007 | 7.795 | 0.275 |
| 30.75 | DU91-W-250 | 3.748 | 6.544 | 0.275 |
| 34.85 | DU91-W-210 | 3.502 | 5.361 | 0.275 |
| 38.95 | DU91-W-210 | 3.256 | 4.188 | 0.275 |
| 43.05 | NACA-64-618 | 3.010 | 3.125 | 0.275 |
| 47.15 | NACA-64-618 | 2.764 | 2.319 | 0.275 |
| 51.25 | NACA-64-618 | 2.518 | 1.526 | 0.275 |
| 54.6667 | NACA-64-618 | 2.313 | 0.863 | 0.275 |
| 57.4 | NACA-64-618 | 2.086 | 0.370 | 0.275 |
| 60.1333 | NACA-64-618 | 1.419 | 0.106 | 0.275 |
| 61.5 | NACA-64-618 | 1.086 | 0.000 | 0.275 |
| Stack ID | Stack Name | Material |
|---|---|---|
| 1 | Gelcoat | Gelcoat |
| 2 | Triax Skins | SNL(Triax) |
| 3 | Triax Root | SNL(Triax) |
| 4 | UD Carbon | Carbon(UD) |
| 5 | UD Glass TE | E-LT-5500(UD) |
| 6 | TE Foam | Foam |
| 7 | LE Foam | Foam |
| 8 | SW facesheet | Saertex(DB) |
| 9 | SW core | Foam |
| Blade Span (m) | LE | LE Panel | Spar Cap | TE | TE Reinforcement | TE Panel | Shear Web |
|---|---|---|---|---|---|---|---|
| 0 | 1,2,3,2 | 1,2,3,2 | 1,2,3,2 | 1,2,3,2 | 1,2,3,2 | 1,2,3,2 | - |
| 1.3667 | 1,2,3,2 | 1,2,3,2 | 1,2,3,2 | 1,2,3,2 | 1,2,3,2 | 1,2,3,2 | 8,9,8 |
| 1.5 | 1,2,3,2 | 1,2,3,7,2 | 1,2,3,4,2 | 1,2,3,2 | 1,2,3,5,6,2 | 1,2,3,6,2 | 8,9,8 |
| 6.8333 | 1,2,3,2 | 1,2,3,7,2 | 1,2,3,4,2 | 1,2,3,2 | 1,2,3,5,6,2 | 1,2,3,6,2 | 8,9,8 |
| 9 | 1,2,2 | 1,2,7,2 | 1,2,4,2 | 1,2,2 | 1,2,5,6,2 | 1,2,6,2 | 8,9,8 |
| 43.05 | 1,2,2 | 1,2,7,2 | 1,2,4,2 | 1,2,2 | 1,2,5,6,2 | 1,2,6,2 | 8,9,8 |
| 45 | 1,2,2 | 1,2,7,2 | 1,2,4,2 | 1,2,2 | - | 1,2,6,2 | 8,9,8 |
| 61.5 | 1,2,2 | 1,2,2 | 1,2,2 | 1,2,2 | - | 1,2,2 | 8,9,8 |
References
- UNFCCC. Adoption of the Paris Agreement; FCCC/CP/2015/L.9/Rev.1; United Nations: Geneva, Switzerland, 2015.
- IMO. 2023 IMO Strategy on Reduction of GHG Emissions from Ships; Annex 15, Resolution MEPC.377; International Maritime Organization: London, UK, 2023. [Google Scholar]
- IRENA. World Energy Transitions Outlook 2023: 1.5 °C Pathway; International Renewable Energy Agency: Abu Dhabi, United Arab Emirates, 2023; Volume 1. [Google Scholar]
- Mengal, A.N.; Karuppanan, S.; Wahab, A.A. Basalt carbon hybrid composite for wind turbine rotor blades: A short review. Adv. Mat. Res. 2014, 970, 67–73. [Google Scholar] [CrossRef]
- Chikhradze, N.M. Hybrid fiber and nanopowder reinforced composites for wind turbine blades. J. Mat. Res. Technol. 2015, 4, 60–67. [Google Scholar] [CrossRef]
- Ong, C.H.; Tsai, S.W. The Use of Carbon Fibers in Wind Turbine Blade Design: A SERI-8 Blade Example, SAND2000-0478. In Sandia National Laboratories Contractor Report; Sandia NL: Albuquerque, NM, USA, 2000. [Google Scholar]
- Holmes, J.W.; Sørensen, B.F.; Brøndsted, P. Reliability of Wind Turbine Blades: An Overview of Materials Testing; Wind Power: Shanghai, China, 2007. [Google Scholar]
- Holmes, J.W.; Brøndsted, P.; Sørensen, B.F.; Jiang, Z.; Sun, Z.; Chen, X. Development of a bamboo-based composite as a sustainable green material for wind turbine blades. Wind Eng. 2009, 33, 197–210. [Google Scholar] [CrossRef]
- Jiang, S.; Zhang, Q.; Jiang, S. On Structure, production, and market of bamboo-based panels in China. J. For. Res. 2002, 13, 151–156. [Google Scholar]
- Ennis, B.L.; Kelley, C.L.; Naughton, B.T.; Norris, R.E.; Das, S.; Lee, D.; Miller, D.A. Optimized Carbon Fiber Composites in Wind Turbine Blade Design; Sandia Report, SAND2019-14173; Sandia National Laboratories: Livermore, CA, USA, 2019.
- Paquette, J.; van Dam, J.; Hughes, S. Structural testing of 9 m carbon fiber wind turbine research blades. In Proceedings of the AIAA 2007-816, 45th AIAA Aerospace Science Meeting and Exhibit, Reno, NV, USA, 8–11 January 2007. [Google Scholar]
- Yee, K.; Ghayesh, M.H. A review on the mechanics of graphene nanoplatelets reinforced structures. Int. J. Eng. Sci. 2023, 186, 103831. [Google Scholar] [CrossRef]
- Su, X.; Wang, R.; Li, X.; Araby, S.; Kuan, H.C.; Naeem, M.; Ma, J. A comparative study of polymer nanocomposites containing multi-walled carbon nanotubes and graphene nanoplatelets. Nano Mater. Sci. 2022, 4, 185–204. [Google Scholar] [CrossRef]
- Rafiee, M.A.; Rafiee, J.; Wang, Z.; Song, H.; Yu, Z.Z.; Koratkar, N. Enhanced mechanical properties of nanocomposites at low graphene content. ACS Nano 2009, 3, 3884–3890. [Google Scholar] [CrossRef] [PubMed]
- Rafiee, M.A.; Rafiee, J.; Yu, Z.Z.; Koratkar, N. Buckling resistant graphene nanocomposites. Appl. Phys. Lett. 2009, 95, 223103. [Google Scholar] [CrossRef]
- Shi, G.; Araby, S.; Gibson, C.T.; Meng, Q.; Zhu, S.; Ma, J. Graphene platelets and their polymer composites: Fabrication, structure, properties, and applications. Adv. Funct. Mater. 2018, 28, 1706705. [Google Scholar] [CrossRef]
- Zhao, S.; Zhao, Z.; Yang, Z.; Ke, L.; Kitipornchai, S.; Yang, J. Functionally graded graphene reinforced composite structures: A review. Eng. Struct. 2020, 210, 110339. [Google Scholar] [CrossRef]
- Mohan, V.B.; Lau, K.; Hui, D.; Bhattacharyya, D. Graphene-based materials and their composites: A review on production, applications and product limitations. Compos. Part. B-Eng. 2018, 142, 200–220. [Google Scholar] [CrossRef]
- Cataldi, P.; Athanassiou, A.; Bayer, I.S. Graphene nanoplatelets-based advanced materials and recent progress in sustainable applications. Appl. Sci. 2018, 8, 1438. [Google Scholar] [CrossRef]
- Saboori, A.; Pavese, M.; Badini, C.; Fino, P. Effect of sample preparation on the microstructural evaluation of Al–GNPs nanocomposites. Metallogr. Microstruct. Anal. 2017, 6, 619–622. [Google Scholar] [CrossRef]
- Shamsaei, E.; de Souza, F.B.; Yao, X.; Benhelal, E.; Akbari, A.; Duan, W. Graphene-based nanosheets for stronger and more durable concrete: A review. Constr. Build. Mater. 2018, 183, 642–660. [Google Scholar] [CrossRef]
- Scidà, A.; Haque, S.; Treossi, E.; Robinson, A.; Smerzi, S.; Ravesi, S.; Borini, S.; Palermo, V. Application of graphene-based flexible antennas in consumer electronic devices. Mater. Today 2018, 21, 223–230. [Google Scholar] [CrossRef]
- Resor, B.R. Definition of a 5 MW/61.5 m Wind Turbine Blade Reference Model; Sandia Report, SAND2013-2569; Sandia National Laboratories: Livermore, CA, USA, 2013.
- Cho, J.R. Free vibration analysis of functionally graded porous cylindrical panels reinforced with graphene platelets. Nanomaterials 2023, 13, 1441. [Google Scholar] [CrossRef] [PubMed]
- Zhang, C.; Chen, H.P.; Huang, T.L. Fatigue damage assessment of wind turbine composite blades using corrected blade element momentum theory. Measurement 2018, 129, 102–111. [Google Scholar] [CrossRef]
- Jonkman, J.; Butterfield, S.; Musial, W.; Scott, G. Definition of a 5-MW Reference Wind Turbine for Offshore System Development; Technical Report, NREL/TP-500-38060; National Renewable Energy Laboratory: Golden, CO, USA, 2009.
- Chen, Z.J.; Stol, K.A.; Mace, B.R. Wind turbine blade optimisation with individual pitch and trailingedge flap control. Renew. Energy 2017, 103, 750–765. [Google Scholar] [CrossRef]
- Shakya, P.; Sunny, M.R.; Maiti, D.K. A parametric study of flutter behavior of a composite wind turbine blade with bend-twist coupling. Compos. Struct. 2019, 207, 764–775. [Google Scholar] [CrossRef]
- Johnson, E.L.; Hsu, M.C. Isogeometric analysis of ice accretion on wind turbine blades. Comput. Mech. 2020, 66, 311–322. [Google Scholar] [CrossRef]
- Thapa, M.; Missoum, S. Uncertainty quantification and global sensitivity analysis of composite wind turbine blades. Reliab. Eng. Syst. Saf. 2022, 222, 108354. [Google Scholar] [CrossRef]
- Jeong, M.S.; Cha, M.C.; Kim, S.W.; Lee, I.; Kim, T. Effects of torsional degree of freedom, geometric nonlinearity, and gravity on aeroelastic behavior of largescale horizontal axis wind turbine blades under varying wind speed conditions. J. Renew. Sustain. Ener. 2014, 6, 023126. [Google Scholar] [CrossRef]
- Algolfat, A.; Wang, W.A. Albarbar, Dynamic response analysis of a 5 MW NREL wind turbine blade under flap-wise and edge-wise vibrations. J. Dyna. Monitor. Diagn. 2022, 1, 208–222. [Google Scholar]
- Li, Z.; Wen, B.; Dong, X.; Peng, Z.; Qu, Y.; Zhang, W. Aerodynamic and aeroelastic characteristics of flexible wind turbine blades under periodic unsteady inflows. J. Wind Eng. Ind. Aerod. 2020, 197, 104057. [Google Scholar] [CrossRef]
- Yu, D.O.; Kwon, O.J. A coupled CFD-CSD method for predicting HAWT rotor blade performance. In Proceedings of the 51st AIAA Aerospace Sciences Meeting Including the New Horizons Forum and Aerospace Exposition, Grapevine, TX, USA, 7–10 January 2013. [Google Scholar]
- CTI Materials. Available online: https://www.ctimaterials.com (accessed on 26 June 2024).
- Bortolotti, P.; Berry, D.; Murray, R.; Gaertner, E.; Jenne, D.; Damiani, R.; Barter, G.; Dykes, K. A Detailed Wind Turbine Blade Cost Model; Technical Report, NREL/TP-5000-73585; National Renewable Energy Laboratory: Golden, CO, USA, 2019.












| Material | (GPa) | (kg/m3) | |
|---|---|---|---|
| Epoxy | 3.0 | 0.340 | 1200 |
| GPL | 1010.0 | 0.186 | 1060 |
| (GPa) | (kg/m3) | ||
|---|---|---|---|
| 0.01 (1%) | 11.8 | 0.338 | 1199 |
| 0.02 (2%) | 20.7 | 0.337 | 1197 |
| 0.03 (3%) | 30.0 | 0.335 | 1196 |
| 0.04 (4%) | 38.5 | 0.334 | 1194 |
| Material | (GPa) | (GPa) | (GPa) | (kg/m3) | |
|---|---|---|---|---|---|
| Gelcoat | 3.44 | - | 1.38 | 0.3 | 1235 |
| E-LT-5500(UD) | 41.8 | 14.0 | 2.63 | 0.28 | 1920 |
| Saertex(DB) | 13.6 | 13.3 | 11.8 | 0.49 | 1780 |
| SNL(Triax) | 27.7 | 13.65 | 7.2 | 0.39 | 1850 |
| Foam | 0.256 | 0.256 | 0.022 | 0.3 | 200 |
| Carbon(UD) | 114.5 | 8.39 | 5.99 | 0.27 | 1220 |
| Model | Mass (kg) | ||||||
|---|---|---|---|---|---|---|---|
| Gelcoat | E-LT-5500 (UD) | Saertex (DB) | SNL (Triax) | Foam | Carbon (UD) | Total | |
| Present | 29 | 338 | 921 | 8726 | 4160 | 2655 | 16,829 |
| Ref. [27] | 29 | 376 | 916 | 8784 | 3953 | 2638 | 16,696 |
| Model | Natural Frequency (Hz) | |||||
|---|---|---|---|---|---|---|
| 1st Flapwise | 1st Edgewise | 2nd Flapwise | 2nd Edgewise | 3rd Flapwise | 1st Torsion | |
| Present | 0.8415 | 0.9930 | 2.7269 | 3.5918 | 5.7255 | 6.7280 |
| Ref. [23] | 0.87 | 1.06 | 2.68 | 3.91 | 5.57 | 6.45 |
| Ref. [28] | 0.90 | - | 2.85 | - | 6.41 | 6.65 |
| Ref. [29] | 0.9194 | 1.0552 | 2.8106 | 3.8870 | 5.6904 | 6.7152 |
| Ref. [30] | 0.84 | 0.969 | 2.41 | - | - | - |
| Material | Natural Frequency (Hz) | Weight (kg) | ||||||
|---|---|---|---|---|---|---|---|---|
| 1st Flapwise | 1st Edgewise | 2nd Flapwise | 2nd Edgewise | 3rd Flapwise | 1st Torsion | |||
| Fiberglass | 0.8415 | 0.9930 | 2.7269 | 3.5918 | 5.7255 | 6.7280 | 16,829 | |
| GPLRC | 0.8744 | 1.0352 | 2.9168 | 3.5834 | 6.1258 | 7.7406 | 13,216 | |
| 0.9412 | 1.1074 | 3.0376 | 3.9987 | 6.4612 | 8.6913 | 13,209 | ||
| Material | Material | Total | |||||||||
|---|---|---|---|---|---|---|---|---|---|---|---|
| Gelcoat | E-LT-5500(UD) | Saertex (DB) | SNL (Triax) | Foam | Carbon (UD) | Epoxy | MWCNT | GPL | |||
| Cost per Mass (USD/kg) | 7.23 | 1.87 | 3.00 | 2.86 | 7.23 | 30.00 | 3.63 | 450.00 | 90.00 | ||
| Mass (kg) | Fiberglass | 29 | 338 | 921 | 8726 | 4160 | 2655 | - | - | 16,829 | |
| CNTRC | 29 | - | - | - | 4160 | 2655 | 6213 | 152 | - | 13,209 | |
| GPLRC () | 29 | - | - | - | 4160 | 2655 | 6213 | - | 152 | 13,209 | |
| Cost (USD) | Fiberglass | 210 | 632 | 2763 | 24,956 | 30,077 | 79,650 | - | - | - | 138,288 |
| CNTRC | 210 | - | - | - | 30,077 | 79,650 | 22,553 | 68,400 | - | 200,890 | |
| GPLRC () | 210 | - | - | - | 30,077 | 79,650 | 22,553 | - | 13,680 | 146,170 | |
Disclaimer/Publisher’s Note: The statements, opinions and data contained in all publications are solely those of the individual author(s) and contributor(s) and not of MDPI and/or the editor(s). MDPI and/or the editor(s) disclaim responsibility for any injury to people or property resulting from any ideas, methods, instructions or products referred to in the content. |
© 2024 by the authors. Licensee MDPI, Basel, Switzerland. This article is an open access article distributed under the terms and conditions of the Creative Commons Attribution (CC BY) license (https://creativecommons.org/licenses/by/4.0/).
Share and Cite
Kim, H.J.; Cho, J.-R. Effects of Graphene Reinforcement on Static Bending, Free Vibration, and Torsion of Wind Turbine Blades. Materials 2024, 17, 3332. https://doi.org/10.3390/ma17133332
Kim HJ, Cho J-R. Effects of Graphene Reinforcement on Static Bending, Free Vibration, and Torsion of Wind Turbine Blades. Materials. 2024; 17(13):3332. https://doi.org/10.3390/ma17133332
Chicago/Turabian StyleKim, Hyeong Jin, and Jin-Rae Cho. 2024. "Effects of Graphene Reinforcement on Static Bending, Free Vibration, and Torsion of Wind Turbine Blades" Materials 17, no. 13: 3332. https://doi.org/10.3390/ma17133332
APA StyleKim, H. J., & Cho, J.-R. (2024). Effects of Graphene Reinforcement on Static Bending, Free Vibration, and Torsion of Wind Turbine Blades. Materials, 17(13), 3332. https://doi.org/10.3390/ma17133332

