Ferrovalley and Quantum Anomalous Hall Effect in Janus TiTeCl Monolayer
Abstract
1. Introduction
2. Computational Method and Details
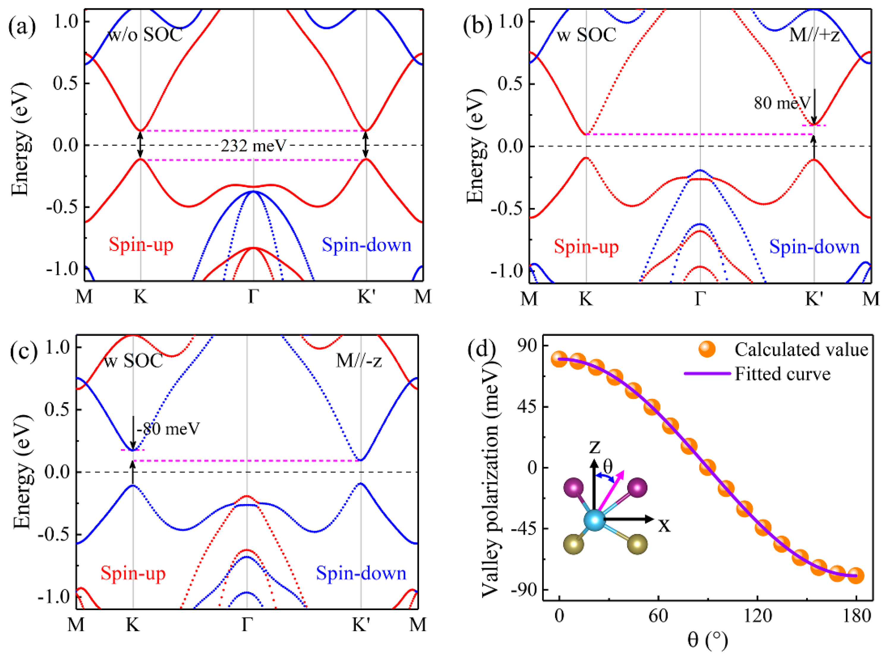
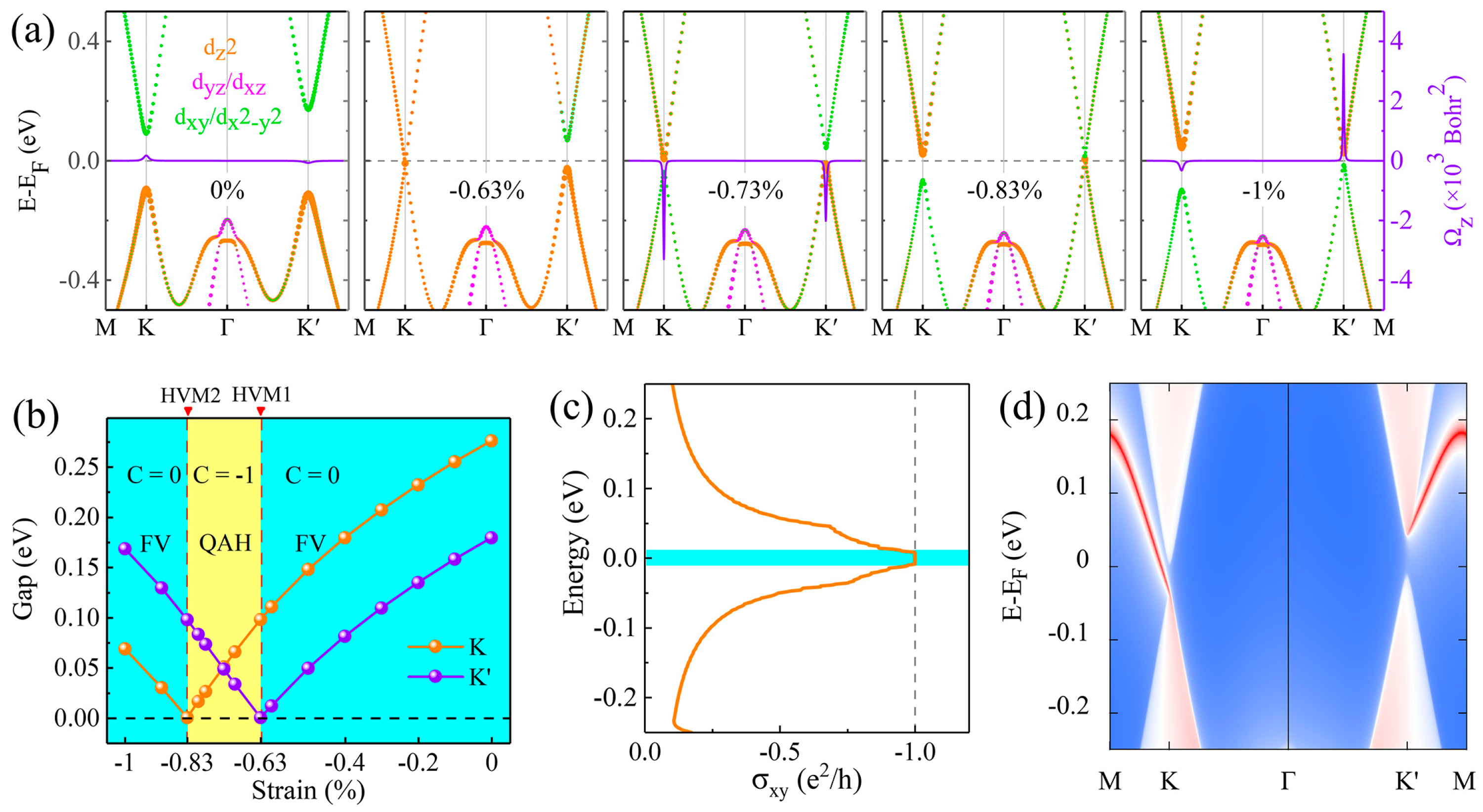
3. Results and Discussion
4. Conclusions
Supplementary Materials
Author Contributions
Funding
Institutional Review Board Statement
Informed Consent Statement
Data Availability Statement
Conflicts of Interest
References
- Schaibley, J.R.; Yu, H.; Clark, G.; Rivera, P.; Ross, J.S.; Seyler, K.L.; Yao, W.; Xu, X. Valleytronics in 2D materials. Nat. Rev. Mater. 2016, 1, 16055. [Google Scholar] [CrossRef]
- Mak, K.F.; Xiao, D.; Shan, J. Light–valley interactions in 2D semiconductors. Nat. Photonics 2018, 12, 451–460. [Google Scholar]
- Neto, A.H.C.; Guinea, F.; Peres, N.M.R.; Novoselov, K.S.; Geim, A.K. The electronic properties of graphene. Rev. Mod. Phys. 2009, 81, 109–162. [Google Scholar] [CrossRef]
- Vitale, S.A.; Nezich, D.; Varghese, J.O.; Kim, P.; Gedik, N.; Jarillo-Herrero, P.; Xiao, D.; Rothschild, M. Valleytronics: Opportunities, challenges, and paths forward. Small 2018, 14, e1801483. [Google Scholar] [PubMed]
- Shimazaki, Y.; Yamamoto, M.; Borzenets, I.V.; Watanabe, K.; Taniguchi, T.; Tarucha, S. Generation and detection of pure valley current by electrically induced Berry curvature in bilayer graphene. Nat. Phys. 2015, 11, 1032–1036. [Google Scholar] [CrossRef]
- Wu, Y.; Tong, J.; Deng, L.; Luo, F.; Tian, F.; Qin, G.; Zhang, X. Coexisting ferroelectric and ferrovalley polarizations in bilayer stacked magnetic semiconductors. Nano Lett. 2023, 23, 6226–6232. [Google Scholar] [CrossRef]
- Wu, Y.; Tong, J.; Deng, L.; Luo, F.; Tian, F.; Qin, G.; Zhang, X. Realizing spontaneous valley polarization and topological phase transitions in monolayer ScX2 (X = Cl, Br, I). Acta Mater. 2023, 246, 118731. [Google Scholar]
- Wu, Y.; Deng, L.; Tong, J.; Yin, X.; Tian, F.; Qin, G.; Zhang, X. Ferrovalley and topological phase transition behavior in monolayer Ru(OH)2. J. Mater. Chem. C 2023, 11, 13714. [Google Scholar] [CrossRef]
- Zhang, Y.B.; Tan, Y.W.; Stormer, H.L.; Kim, P. Experimental observation of the quantum Hall effect and Berry’s phase in graphene. Nature 2005, 438, 201–204. [Google Scholar] [CrossRef]
- Liu, Y.; Gao, Y.; Zhang, S.; He, J.; Yu, J.; Liu, Z. Valleytronics in transition metal dichalcogenides materials. Nano Res. 2019, 12, 2695–2711. [Google Scholar]
- Zhao, S.; Li, X.; Dong, B.; Wang, H.; Wang, H.; Zhang, Y.; Han, Z.; Zhang, H. Valley manipulation in monolayer transition metal dichalcogenides and their hybrid systems: Status and challenges. Rep. Prog. Phys. 2021, 84, 026401. [Google Scholar] [CrossRef] [PubMed]
- Peng, R.; Ma, Y.; Zhang, S.; Huang, B.; Dai, Y. Valley polarization in Janus single-layer MoSSe via magnetic doping. J. Phys. Chem. Lett. 2018, 9, 3612–3617. [Google Scholar] [CrossRef] [PubMed]
- Zeng, H.; Dai, J.; Yao, W.; Xiao, D.; Cui, X. Valley polarization in MoS2 monolayers by optical pumping. Nat. Nanotechnol. 2012, 7, 490–493. [Google Scholar] [CrossRef] [PubMed]
- Hsu, W.-T.; Chen, Y.-L.; Chen, C.-H.; Liu, P.-S.; Hou, T.-H.; Li, L.-J.; Chang, W.-H. Optically initialized robust valley-polarized holes in monolayer WSe2. Nat. Commun. 2015, 6, 8963. [Google Scholar] [CrossRef] [PubMed]
- Ma, Y.; Wu, Y.; Tong, J.; Deng, L.; Yin, X.; Zhou, L.; Han, X.; Tian, F.; Zhang, X. Distinct ferrovalley characteristics of the Janus RuClX (X = F, Br) monolayer. Nanoscale 2023, 15, 8278–8288. [Google Scholar] [CrossRef] [PubMed]
- Li, N.; Zhang, J.; Xue, Y.; Zhou, T.; Yang, Z. Large valley polarization in monolayer MoTe2 on a magnetic substrate. Phys. Chem. Chem. Phys. 2018, 20, 3805–3812. [Google Scholar] [CrossRef] [PubMed]
- Smoleński, T.; Goryca, M.; Koperski, M.; Faugeras, C.; Kazimierczuk, T.; Bogucki, A.; Nogajewski, K.; Kossacki, P.; Potemski, M. Tuning valley polarization in a WSe2 monolayer with a tiny magnetic field. Phys. Rev. X 2016, 6, 021024. [Google Scholar]
- Li, R.; Jiang, J.; Mi, W.; Bai, H. Room temperature spontaneous valley polarization in two-dimensional FeClBr monolayer. Nanoscale 2021, 13, 14807–14813. [Google Scholar] [CrossRef] [PubMed]
- Sygletou, M.; Tzourmpakis, P.; Petridis, C.; Konios, D.; Fotakis, C.; Kymakis, E.; Stratakis, E. Laser induced nucleation of plasmonic nanoparticles on two-dimensional nanosheets for organic photovoltaics. J. Mater. Chem. A 2016, 4, 1020–1027. [Google Scholar] [CrossRef]
- Tsikritzis, D.; Rogdakis, K.; Chatzimanolis, K.; Petrovic, M.; Tzoganakis, N.; Najafi, L.; Martin-Garcia, B.; Oropesa-Nunez, R.; Bellani, S.; Castillo, A.; et al. A two-fold engineering approach based on Bi2Te3 flakes towards efficient and stable inverted perovskite solar cells. Mater. Adv. 2020, 1, 450–462. [Google Scholar] [CrossRef]
- Tsikritzis, D.; Chatzimanolis, K.; Bellani, N.T.S.; Zappia, M.I.; Bianca, G.; Curreli, N.; Buha, J.; Kriegel, I.; Antonatos, N.; Sofer, Z.; et al. Two-dimensional BiTeI as a novel perovskite additive for printable perovskite solar cells. Sustain. Energy Fuels 2022, 6, 5345–5359. [Google Scholar] [CrossRef] [PubMed]
- Tong, W.-Y.; Gong, S.-J.; Wan, X.; Duan, C.-G. Concepts of ferrovalley material and anomalous valley Hall effect. Nat. Commun. 2016, 7, 13612. [Google Scholar] [CrossRef] [PubMed]
- Zhang, L.; Yang, Z.; Gong, T.; Pan, R.; Wang, H.; Guo, Z.; Zhang, H.; Fu, X. Recent advances in emerging Janus two-dimensional materials: From fundamental physics to device applications. J. Mater. Chem. A 2020, 8, 8813–8830. [Google Scholar] [CrossRef]
- Jiang, P.; Kang, L.; Li, Y.-L.; Zheng, X.; Zeng, Z.; Sanvito, S. Prediction of the two-dimensional Janus ferrovalley material LaBrI. Phys. Rev. B 2021, 104, 035430. [Google Scholar] [CrossRef]
- Zhang, C.; Nie, Y.; Sanvito, S.; Du, A. First-principles prediction of a room-temperature ferromagnetic Janus VSSe monolayer with piezoelectricity, ferroelasticity, and large valley polarization. Nano Lett. 2019, 19, 1366–1370. [Google Scholar] [CrossRef] [PubMed]
- Luo, C.; Peng, X.; Qu, J.; Zhong, J. Valley degree of freedom in ferromagnetic Janus monolayer H-VSSe and the asymmetry-based tuning of the valleytronic properties. Phys. Rev. B 2020, 101, 245416. [Google Scholar] [CrossRef]
- Guan, Z.; Ni, S. Predicted 2D ferromagnetic Janus VSeTe monolayer with high Curie temperature, large valley polarization and magnetic crystal anisotropy. Nanoscale 2020, 12, 22735–22742. [Google Scholar] [CrossRef] [PubMed]
- Guan, Z.; Ni, S. Strain-controllable high Curie temperature, large valley polarization, and magnetic crystal anisotropy in a 2D ferromagnetic Janus VSeTe monolayer. ACS Appl. Mater. Interfaces 2020, 12, 53067–53075. [Google Scholar] [CrossRef] [PubMed]
- Hou, Y.; Xue, F.; Qiu, L.; Wang, Z.; Wu, R. Multifunctional two-dimensional van der Waals Janus magnet Cr-based dichalcogenide halides. NPJ Comput. Mater. 2022, 8, 120. [Google Scholar] [CrossRef]
- Yang, H.; Song, M.; Li, Y.; Guo, Y.; Han, K. Ferromagnetism and valley polarization in Janus single-layer VSCl. Phys. E Low-Dimens. Syst. Nanostruct. 2022, 143, 115341. [Google Scholar] [CrossRef]
- Guo, S.-D.; Guo, X.-S.; Zhu, Y.-T.; Ang, Y.-S. Predicted ferromagnetic monolayer CrSCl with large vertical piezoelectric response: A first-principles study. Appl. Phys. Lett. 2022, 121, 062403. [Google Scholar] [CrossRef]
- Sheng, K.; Yuan, H.-K.; Zhang, B. Intrinsic spin, valley and piezoelectric polarizations in room-temperature ferrovalley Janus TiXY (XY = SCl and SeBr) monolayers. Nanoscale 2022, 14, 15156–15164. [Google Scholar] [CrossRef] [PubMed]
- Kiseleva, N.; Filatov, M.A.; Oldenburg, M.; Busko, D.; Jakoby, M.; Howard, I.A.; Richards, B.S.; Senge, M.O.; Borisov, S.M.; Turshatov, A. The Janus-faced chromophore: A donor–acceptor dyad with dual performance in photon up-conversion, Chemical Communications. Chem. Commun. 2018, 54, 1607–1610. [Google Scholar] [CrossRef] [PubMed]
- Ji, S.; Yao, R.; Quan, C.; Yang, J.; Caruso, F.; Li, X. Anomalous valley Hall effect induced by mirror symmetry breaking in transition metal dichalcogenides. Phys. Rev. B 2023, 107, 174434. [Google Scholar] [CrossRef]
- Su, B.; Peng, X.; Yan, Z.; Lin, L.; Huang, X.; Liu, J. Large valley polarization and the valley-dependent Hall effect in a Janus TiTeBr monolayer. Phys. Chem. Chem. Phys. 2024, 26, 11722–11730. [Google Scholar] [CrossRef]
- Sun, H.; Li, S.-S.; Ji, W.-X.; Zhang, C.-W. Valley-dependent topological phase transition and quantum anomalous valley Hall effect in single-layer RuClBr. Phys. Rev. B 2022, 105, 195112. [Google Scholar] [CrossRef]
- Liu, P.; Liu, S.; Jia, M.; Yin, H.; Zhang, G.; Ren, F.; Wang, B.; Liu, C. Strain-driven valley states and phase transitions in Janus VSiGeN4 monolayer. Appl. Phys. Lett. 2022, 121, 063103. [Google Scholar] [CrossRef]
- Sheng, K.; Zhang, B.; Yuan, H.-K.; Wang, Z.-Y. Strain-engineered topological phase transitions in ferrovalley 2H-RuCl2 monolayer. Phys. Rev. B 2022, 105, 195312. [Google Scholar] [CrossRef]
- Cui, Q.; Zhu, Y.; Liang, J.; Cui, P.; Yang, H. Spin-valley coupling in a two-dimensional VSi2N4 monolayer. Phys. Rev. B 2021, 103, 085421. [Google Scholar] [CrossRef]
- Kresse, G.; Furthmüller, J. Efficient iterative schemes for ab initio total-energy calculations using a plane-wave basis set. Phys. Rev. B 1996, 54, 11169. [Google Scholar] [CrossRef]
- Kresse, G.; Furthmüller, J. Efficiency of ab-initio total energy calculations for metals and semiconductors using a plane-wave basis set. Comput. Mater. Sci. 1996, 6, 15–50. [Google Scholar] [CrossRef]
- Blöchl, P.E. Projector augmented-wave method. Phys. Rev. B 1994, 50, 17953. [Google Scholar] [CrossRef] [PubMed]
- Perdew, J.P.; Burke, K.; Ernzerhof, M. Generalized gradient approximation made simple. Phys. Rev. Lett. 1996, 77, 3865. [Google Scholar] [CrossRef] [PubMed]
- Liechtenstein, A.I.; Anisimov, V.I.; Zaanen, J. Density-functional theory and strong interactions: Orbital ordering in Mott-Hubbard insulators. Phys. Rev. B 1995, 52, R5467. [Google Scholar] [CrossRef] [PubMed]
- Nolan, M.; Elliott, S.D.; Mulley, J.S.; Bennett, R.A.; Basham, M.; Mulheran, P. Electronic structure of point defects in controlled self-doping of the TiO2 (110) surface: Combined photoemission spectroscopy and density functional theory study. Phys. Rev. B 2008, 77, 235424. [Google Scholar] [CrossRef]
- Poteryaev, A.I.; Lichtenstein, A.I.; Kotliar, G. Nonlocal Coulomb interactions and metal-insulator transition in Ti2O3: A cluster LDA + DMFT approach. Phys. Rev. Lett. 2004, 93, 086401. [Google Scholar] [CrossRef] [PubMed]
- Cuong, D.D.; Lee, B.; Choi, K.M.; Ahn, H.-S.; Han, S.; Lee, J. Oxygen vacancy clustering and electron localization in oxygen-deficient SrTiO3 LDA + U Study. Phys. Rev. Lett. 2007, 98, 115503. [Google Scholar] [CrossRef]
- Monkhorst, H.J.; Pack, J.D. Special points for Brillouin-zone integrations. Phys. Rev. B 1976, 13, 5188. [Google Scholar] [CrossRef]
- Baroni, S.; De Gironcoli, S.; Corso, A.D.; Giannozzi, P. Phonons and related crystal properties from density-functional perturbation theory. Rev. Mod. Phys. 2001, 73, 515. [Google Scholar] [CrossRef]
- Togo, A.; Tanaka, I. First principles phonon calculations in materials science. Scr. Mater. 2015, 108, 1–5. [Google Scholar] [CrossRef]
- Martyna, G.J.; Klein, M.L.; Tuckerman, M. Nosé–Hoover chains: The canonical ensemble via continuous dynamics. J. Chem. Phys. 1992, 97, 2635–2643. [Google Scholar] [CrossRef]
- Liu, L.; Ren, X.; Xie, J.; Cheng, B.; Liu, W.; An, T.; Qin, H.; Hu, J. Magnetic switches via electric field in BN nanoribbons. Appl. Surf. Sci. 2019, 480, 300–307. [Google Scholar] [CrossRef]
- Huang, C.; Feng, J.; Zhou, J.; Xiang, H.; Deng, K.; Kan, E. Ultra-high-temperature ferromagnetism in intrinsic tetrahedral semiconductors. J. Am. Chem. Soc. 2019, 141, 12413–12418. [Google Scholar] [CrossRef] [PubMed]
- Wang, V.; Xu, N.; Liu, J.-C.; Tang, G.; Geng, W.-T. VASPKIT: A user-friendly interface facilitating high-throughput computing and analysis using VASP code. Comput. Phys. Commun. 2021, 267, 108033. [Google Scholar] [CrossRef]
- Mostofi, A.A.; Yates, J.R.; Pizzi, G.; Lee, Y.-S.; Souza, I.; Vanderbilt, D.; Marzari, N. An updated version of wannier90: A tool for obtaining maximally-localised Wannier functions. Comput. Phys. Commun. 2014, 185, 2309–2310. [Google Scholar] [CrossRef]
- Wu, Q.; Zhang, S.; Song, H.-F.; Troyer, M.; Soluyanov, A.A. WannierTools: An open-source software package for novel topological materials. Comput. Phys. Commun. 2018, 224, 405–416. [Google Scholar] [CrossRef]
- Xu, X.; Ma, Y.; Zhang, T.; Lei, C.; Huang, B.; Dai, Y. Nonmetal-atom-doping-induced valley polarization in single-layer Tl2O. J. Phys. Chem. Lett. 2019, 10, 4535–4541. [Google Scholar] [CrossRef]
- Li, L.; Shao, L.; Liu, X.; Gao, A.; Wang, H.; Zheng, B.; Hou, G.; Shehzad, K.; Yu, L.; Miao, F.; et al. Room-temperature valleytronic transistor. Nat. Nanotechnol. 2020, 15, 743–749. [Google Scholar] [CrossRef]
- Rivera, P.; Seyler, K.L.; Yu, H.; Schaibley, J.R.; Yan, J.; Mandrus, D.G.; Yao, W.; Xu, X. Valley-polarized exciton dynamics in a 2D semiconductor heterostructure. Science 2016, 351, 688–691. [Google Scholar] [CrossRef]
- Weiss, A.; John, B. Goodenough: Magnetism and the chemical bond. Interscience Publishers. New York, London 1963. 393 Seiten, 89 Abbildungen. Preis: DM 95 s. Berichte Bunsenges. Phys. Chem. 1964, 68, 996. [Google Scholar] [CrossRef]
- Cao, T.; Wang, G.; Han, W.; Ye, H.; Zhu, C.; Shi, J.; Niu, Q.; Tan, P.; Wang, E.; Liu, B.; et al. Valley-selective circular dichroism of monolayer molybdenum disulphide. Nat. Commun. 2012, 3, 887. [Google Scholar] [CrossRef] [PubMed]
- Yao, W.; Xiao, D.; Niu, Q. Valley-dependent optoelectronics from inversion symmetry breaking. Phys. Rev. B 2008, 77, 235406. [Google Scholar] [CrossRef]
- Li, X.; Ma, X.; Gao, H.; Zhang, X.; Ai, H.; Li, W.; Zhao, M. Valley-selective circular dichroism and high carrier mobility of graphene-like BC6N. Nanoscale 2018, 10, 13179–13186. [Google Scholar] [CrossRef] [PubMed]
- Thouless, D.J.; Kohmoto, M.; Nightingale, M.P.; Den Nijs, M. Quantized Hall conductance in a two-dimensional periodic potential. Phys. Rev. Lett. 1982, 49, 405. [Google Scholar] [CrossRef]
- Yao, Y.; Kleinman, L.; Macdonald, A.H.; Sinova, J.; Jungwirth, T.; Wang, D.-S.; Wang, E.; Niu, Q. First principles calculation of anomalous Hall conductivity in ferromagnetic bcc Fe. Phys. Rev. Lett. 2004, 92, 037204. [Google Scholar] [CrossRef] [PubMed]
- Huan, H.; Xue, Y.; Zhao, B.; Gao, G.; Bao, H.; Yang, Z. Strain-induced half-valley metals and topological phase transitions in MBr2 monolayers (M = Ru, Os). Phys. Rev. B 2021, 104, 165427. [Google Scholar] [CrossRef]
- Kong, X.; Li, L.; Liang, L.; Peeters, F.M.; Liu, X.-J. The magnetic; electronic, and light-induced topological properties in two-dimensional hexagonal FeX2 (X = Cl, Br, I) monolayers. Appl. Phys. Lett. 2020, 116, 192404. [Google Scholar] [CrossRef]
- Zhou, X.; Zhang, R.-W.; Zhang, Z.; Feng, W.; Mokrousov, Y.; Yao, Y. Sign-reversible valley-dependent Berry phase effects in 2D valley-half-semiconductors. NPJ Comput. Mater. 2021, 7, 160. [Google Scholar] [CrossRef]
- Li, S.; Wang, Q.; Zhang, C.; Guo, P.; Yang, S.A. Correlation-driven topological and valley states in monolayer VSi2P4. Phys. Rev. B 2021, 104, 085149. [Google Scholar] [CrossRef]
- Xiao, D.; Chang, M.-C.; Niu, Q. Berry phase effects on electronic properties. Rev. Mod. Phys. 2010, 82, 1959–2007. [Google Scholar] [CrossRef]
- Cai, T.; Yang, S.A.; Li, X.; Zhang, F.; Shi, J.; Yao, W.; Niu, Q. Magnetic control of the valley degree of freedom of massive Dirac fermions with application to transition metal dichalcogenides. Phys. Rev. B 2013, 88, 115140. [Google Scholar] [CrossRef]
- Mahon, N.S.; Korolik, O.V.; Khenkin, M.V.; Arnaoutakis, G.E.; Galagan, Y.; Soriūtė, V.; Litvinas, D.; Ščajev, P.; Katz, E.A.; Mazanik, A.V. Photoluminescence kinetics for monitoring photoinduced processes in perovskite solar cells. Sol. Energy 2020, 195, 114–120. [Google Scholar] [CrossRef]
- Gordon, J.M.; Katz, E.A.; Feuermann, D.; Albu-Yaron, A.; Levy, M.; Tenne, R. Singular MoS2, SiO2 and Si nanostructures—Synthesis by solar ablation. J. Mater. Chem. 2008, 18, 458–462. [Google Scholar] [CrossRef]
- You, J.; Pan, J.; Shang, S.-L.; Xu, X.; Liu, Z.; Li, J.; Liu, H.; Kang, T.; Xu, M.; Li, S.; et al. Salt-assisted selective growth of H-phase monolayer VSe2 with apparent hole transport behavior. Nano Lett. 2022, 22, 10167–10175. [Google Scholar] [CrossRef] [PubMed]






Disclaimer/Publisher’s Note: The statements, opinions and data contained in all publications are solely those of the individual author(s) and contributor(s) and not of MDPI and/or the editor(s). MDPI and/or the editor(s) disclaim responsibility for any injury to people or property resulting from any ideas, methods, instructions or products referred to in the content. |
© 2024 by the authors. Licensee MDPI, Basel, Switzerland. This article is an open access article distributed under the terms and conditions of the Creative Commons Attribution (CC BY) license (https://creativecommons.org/licenses/by/4.0/).
Share and Cite
Chang, Y.; Zhang, Z.; Deng, L.; Wu, Y.; Zhang, X. Ferrovalley and Quantum Anomalous Hall Effect in Janus TiTeCl Monolayer. Materials 2024, 17, 3331. https://doi.org/10.3390/ma17133331
Chang Y, Zhang Z, Deng L, Wu Y, Zhang X. Ferrovalley and Quantum Anomalous Hall Effect in Janus TiTeCl Monolayer. Materials. 2024; 17(13):3331. https://doi.org/10.3390/ma17133331
Chicago/Turabian StyleChang, Yufang, Zhijun Zhang, Li Deng, Yanzhao Wu, and Xianmin Zhang. 2024. "Ferrovalley and Quantum Anomalous Hall Effect in Janus TiTeCl Monolayer" Materials 17, no. 13: 3331. https://doi.org/10.3390/ma17133331
APA StyleChang, Y., Zhang, Z., Deng, L., Wu, Y., & Zhang, X. (2024). Ferrovalley and Quantum Anomalous Hall Effect in Janus TiTeCl Monolayer. Materials, 17(13), 3331. https://doi.org/10.3390/ma17133331
