Determination of Fluorine by Ion-Selective Electrode and High-Resolution Continuum Source Graphite Furnace Molecular Absorption Spectrometry with Respect to Animal Feed Safety
Abstract
1. Introduction
2. Materials and Methods
2.1. Instrumentation and Its Operation
2.2. Reagents, Standards, and Solutions
2.3. Samples and Their Preparation
- –
- Solutions of calcium phosphate (V) were opalescent, but no sediment precipitation (even a few weeks after preparation) was observed; the solutions were diluted in the ratio 1:4000 or 1:20,000 m:v;
- –
- Solutions of other samples were inhomogeneous; after intensive shaking, the precipitated sediment was separated by filtration; the filtrates were further diluted, and the dilution ratio depended on F content.
- –
- Type A: an extract from a given sample at a given dilution ratio;
- –
- Type B: an extract from a given sample, like solution A, but with the addition of 0.1 mg L−1 of F.
- –
- S1, calcium phosphate, containing a high concentration of F (approximately 1700 mg kg−1),
- –
- S2, a mixed feed for turkey, which represents samples with low content of F (approximately 12 mg kg−1 of F),
- –
- S3, a spiked feed for chickens, representing samples with moderate F content (approximately 70 mg kg−1 of F).
3. Results and Discussion
3.1. Studies Using the Ion-Selective Electrode Method
3.2. Studies Using High-Resolution Continuum Source Graphite Furnace Molecular Absorption Spectrometry Method
3.2.1. Selection of the Target Molecule
3.2.2. Selection of Spectral Conditions and Analytical Range
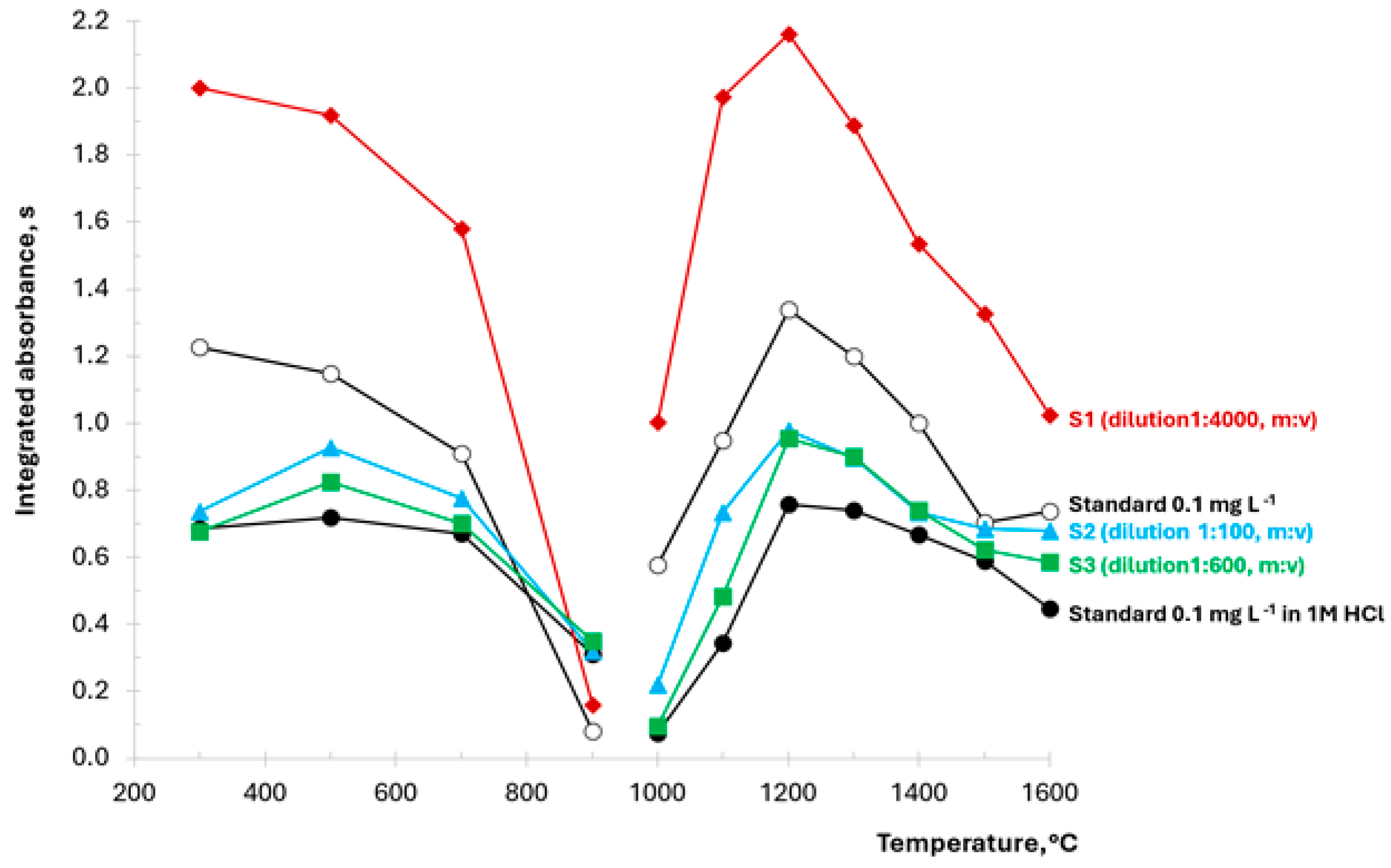
3.2.3. Pyrolysis/Vaporization Curves
- –
- Similarity of registered curves for 0.1 mg L−1 F standard and S1 highly diluted sample.
- –
- Similarity of registered curves for 0.1 mg L−1 F with HCl and less diluted samples S2 and S3.
- –
- One of the significant differences between these two groups is the higher background (BG) for the second group, especially distinctly seen for measurements using 300 °C/1300 °C and 500 °C/1000 °C.
- –
- –
- For all the five investigated solutions, the same tendency of the GaF signal changes (appearance and shape) is observed with the changing temperatures; as is seen in the upper subfigures, with the increase of both pyrolysis and vaporization temperatures, the GaF signals move to the beginning of the measurement step and become narrow.
- –
- Other phenomena appearing with the increase of both pyrolysis and vaporization temperatures are as follows: an increase of the Ga signal at 68 pixel and the appearance of a new structure background; the last phenomenon takes place especially using 1600 °C vaporization temperature; and the structure background observed using high 1600 °C vaporization temperature is a dense bush of lines in the case of samples S2 and S1 (Figure 4 and Figure S2, respectively).
3.2.4. Influence of Hydrochloric Acid
- –
- The HCl presence in the measured solution is a cause of the background appearing early in the vaporization step, which is separated in time from the GaF peak; at the highest concentration of HCl in a solution of a sample, 1 M, the spectral effect is some disturbance of baseline, which seems to be insignificant if Figure 3d and Figure S4d are compared (the selected pyrolysis/vaporization temperatures are equal to 500 °C/1300 °C).
- –
- Due to the presence of HCl in the measured solution, a decrease of the Ga peak (comparison of Figure 3, Figures S4 and S5) and a decrease of the GaF signal occur. It can be explained as the formation of a concurrent compound, GaCl. The bonding energy of GaCl of 481 kJ mol−1 is relatively high, even though the bonding energy of GaF is 577 kJ mol−1 [43]. Therefore, less Ga is available for the formation of the target molecule, GaF, which would cause a decrease in the accuracy of the measurement and underestimation of F.
3.2.5. Other Interferences
- –
- Spectra of H3PO4 and NH4H2PO4 can be interpreted as the same “fingerprint spectrum”; the observed differences come from various relative intensities of the P molecule, the Ga atomic line (the 68th pixel), and the GaF molecule (the peak centered at the 101st pixel).
- –
- The only spectrum measured at the higher vaporization temperature of 1600 °C (Figure 7f) shows (in comparison with Figure 7e measured at the 1300 °C vaporization temperature) much higher intensity of both the P-molecule spectrum and the Ga signal; on the other hand, the signal of GaF is less intensive (which corresponds well with Figure 2).
- –
- The P-molecule spectrum directly overlaps the measured range of seven central pixels used for evaluation of the F signal.
- –
- It is impossible to obtain a pure P-molecule spectrum because the graphite furnace is contaminated with fluorine; the contamination source is Ga salt, and the GaF signal for blank significantly decreases when the Ga solution is not injected (Figure 7d); some residual GaF signal still appears and makes it impossible to apply the LSBC (least squares background correction) method for elimination of interference by the P-molecule.
- –
- –
- The spectra obtained for phosphates are similar to each other but differ from the reference spectrum attributed to the PO molecule [28]; there is literature data on the formation of the P2 molecule in the graphite furnace, apart from the PO molecule [44,45]; it is not sure which molecule is formed in the current research; it is undoubtedly another molecule than the one used for software spectrum generation.
- –
- Overlapping signals of molecular absorption of GaF and a P-molecule.
- –
- Signals of single atomic lines, including the Ga 211.2000 nm line (the 68th pixel).
3.2.6. Strategy for F Measurements and Figures of Merit
- –
- To use the preliminary selected 1300 °C vaporization temperature; this temperature is high enough to form the GaF molecule efficiently (Figure 2), and some excess of Ga is visible as a 211.2000 nm atomic line at the 68th pixel in wavelength-resolved spectra of Figure 3d, Figure 4d and Figures S2d–S4d; simultaneously, the 1300 °C vaporization temperature is low enough to not cause atomization of calcium, which could bond fluorine and lead to underestimation of the F determination; also, at this temperature, the spectral effect of phosphates does not occur (lack of P-molecule spectra in Figure 4d and Figure S2d);
- –
- To use standard addition calibration to overcome chemical interferences, the HCl effect and the phosphate effect, it is important to remember that animal feed can contain other possible interferents, which were not investigated here; standard addition calibration is a sure safeguard against such problems as well as a simple tool against differences in the physical properties of standards and sample solutions.
- –
- To use a relatively high but accepted from the point of view of F level dilution ratio of initial solutions, it would diminish interferences; e.g., due to the high dilution of sample S1, being calcium phosphate, no P-molecule spectrum is visible in the wavelength-resolved spectrum in Figure S2d (the S1 sample is diluted 1:4000 m:v here); the high dilution of this kind of material containing a lot of F (above 1000 mg kg−1) justifies resignation from standard addition calibration for this kind of samples.
3.3. Comparison of ISE and HR-CS GFMAS Methods
3.4. Results of Fluorides Monitoring in Animal Feed Used in Poland in 2021–2023
4. Conclusions
- –
- Application of a molecule providing the best sensitivity (GaF), which allows for higher dilution of samples.
- –
- Relatively low measurement temperature, 1300 °C, which is sufficient to produce GaF molecules but too low to lead to the formation of interfering compounds.
- –
- Using the standard addition method to eliminate chemical interferences (except for highly diluted samples, where the standard addition method is unnecessary).
Supplementary Materials
Author Contributions
Funding
Institutional Review Board Statement
Informed Consent Statement
Data Availability Statement
Acknowledgments
Conflicts of Interest
References
- Han, J.; Kiss, L.; Mei, H.; Remete, A.M.; Ponikvar-Svet, M.; Sedgwik, D.M.; Roman, R.; Fustero, S.; Moriwaki, H.; Soloshonok, V.A. Chemical aspects of human and environmental overload with fluorine. Chem. Rev. 2021, 121, 4678–4742. [Google Scholar] [CrossRef] [PubMed]
- Fuge, R. Fluorine in the environment, a review of its sources and geochemistry. Appl. Geochem. 2019, 100, 393–406. [Google Scholar] [CrossRef]
- Ramteke, L.P.; Sahayam, A.C.; Ghosh, A.; Rambabu, U.; Reddy, M.R.P.P.; Popat, K.M.; Rebary, B.; Kubavat, D.; Marathe, K.V.; Ghosh, P.K. Study of fluoride content in some commercial phosphate fertilizers. J. Fluor. Chem. 2018, 210, 149–155. [Google Scholar] [CrossRef]
- Alexander, J.; Autrup, H.; Bard, D.; Carere, A.; Costa, L.G.; Pierre, J. Opinion of the Scientific Panel on contaminants in the food chain on a request from the Commission related to fluorine as undesirable substance in animal feed. EFSA J. 2004, 100, 1–22. [Google Scholar]
- Wu, S.; Wang, Y.; Iqbal, M.; Mehmood, K.; Li, Y.; Tang, Z.; Zhang, H. Challenges of fluoride pollution in environment: Mechanisms and pathological significance of toxicity—A review. Environ. Pollut. 2022, 304, 119241. [Google Scholar] [CrossRef] [PubMed]
- Warren, J.J.; Levy, S.M. Current and future role of fluoride in nutrition. Dent. Clin. N. Am. 2003, 47, 225–243. [Google Scholar] [CrossRef] [PubMed]
- Council of the European Union. Directive 2002/32/EC of the European Parliament and of the Council of the 7th May 2002 on Undesirable Substances in Animal Feed; Council of the European Union: Luxembourg, 2022; p. 10.
- Mello, P.A.; Barin, J.S.; Duarte, F.A.; Bizzi, C.A.; Diehl, L.O.; Muller, E.I.; Flores, E.M.M. Analytical methods for the determination of halogens in bioanalytical sciences: A review. Anal. Bioanal. Chem. 2013, 405, 7615–7642. [Google Scholar] [CrossRef]
- Tjabadi, E.; Mketo, N. Recent developments for spectrometric, chromatographic and electroanalytical determination of the sulfur and halogens in various matrices. Trends Anal. Chem. 2019, 118, 207–222. [Google Scholar] [CrossRef]
- Yahyavi, H.; Kaykhaii, M.; Mirmoghaddam, M. Recent developments in methods of analysis for fluoride determination. Crit. Rev. Anal. Chem. 2016, 46, 106–121. [Google Scholar] [CrossRef]
- Resano, M.; Garcia-Ruiz, E.; Aramendia, M.; Belarra, M.A. Quo vadis high-resolution continuum source atomic/molecular absorption spectrometry? J. Anal. At. Spectrom. 2019, 34, 59–80. [Google Scholar] [CrossRef]
- Resano, M.; Aramendia, M.; Nakadi, F.V.; Garcia-Ruiz, E.; Alvarez-Llamas, C.; Bordel, N.; Pisoneiro, J.; Bolea-Fernandez, E.; Liu, T.; Vanhaecke, F. Breaking the boundaries in spectrometry. Molecular analysis with atomic spectrometric techniques. Trend. Anal. Chem. 2020, 129, 115955. [Google Scholar] [CrossRef]
- Kowalewska, Z.; Brzezińska, K.; Zielinski, J.; Pilarczyk, J. Method development for determination of organic fluorine in gasoline and its components using high-resolution continuum source flame molecular absorption spectrometry with gallium fluoride as a target molecule. Talanta 2021, 227, 122205. [Google Scholar] [CrossRef] [PubMed]
- EN 16279:2012; Animal Feeding Stuffs—Determination of Fluoride Content after Hydrochloric Acid Treatment by Ion-Selective Electrode Method (ISE). European Committee for Standardization: Brussels, Belgium, 2012.
- Malde, K.; Bjorvatn, K.; Julsham, K. Determination of fluoride in food by the use of alkali fusion and fluoride ion-selective electrode. Food Chem. 2001, 73, 373–379. [Google Scholar] [CrossRef]
- Crestani, P.C.; Pereira, T.C.; Larruscain, E.T.T.; Laureno, C.R.; Flores, E.M.M.; Duarte, F.A. A simple, low cost and fast sample preparation method for fluorine determination by ISE in leguminous seeds and oilseeds. Food Chem. 2023, 429, 136916. [Google Scholar] [CrossRef] [PubMed]
- Torma, L. Collaborative study of ion selective electrode method for the direct determination of fluoride in feeds. J. AOAC Int. 1975, 58, 477–481. [Google Scholar] [CrossRef]
- Fant, M.S.; Ross, J.W. Electrode for sensing fluoride ion activity in solution. Science 1966, 154, 1553–1554. [Google Scholar]
- Erney, R.M.; Charles, B.K. Fluoride determination in milk, soy, and water-based products using ion-selective electrode and direct measurement technique: Single-laboratory validation, first action 2022.05. J. AOAC Int. 2024, 107, 103–111. [Google Scholar] [CrossRef] [PubMed]
- Konieczka, P.; Zygmunt, B.; Namiesnik, J. Comparison of fluoride ion-selective electrode based potentiometric methods of fluorine determination in human urine. Bull. Environ. Contam. Toxicol. 2000, 64, 794–803. [Google Scholar] [CrossRef]
- Spano, N.; Bortolu, S.; Addis, M.; Langasco, I.; Mara, A.; Pilo, M.I.; Sanna, G.; Urgeghe, P.P. An analytical protocol for the differentiation and the potentiometric determination of fluorine-containing fractions in bovine milk. Molecules 2023, 28, 1349. [Google Scholar] [CrossRef]
- Balcerzak, M.; Janiszewska, J. Fluorides in tea products and analytical problems with their determination. Crit. Rev Anal. Chem. 2013, 43, 13–147. [Google Scholar] [CrossRef]
- Janiszewska, J.; Balcerzak, M. Analytical problems with the evaluation of human exposure to fluorides from tea products. Food Anal. Methods 2013, 6, 1090–1098. [Google Scholar] [CrossRef]
- De Silva, S.M.; Deraniyagala, S.; Walpita, J.K.; Jayaweera, I.; Diyabalanga, S.; Cooray, A.T. Masking ability of various metal complexing ligands at 1.0 mM concentrations on the potentiometric determination of fluoride in aqueous samples. J. Anal. Methods Chem. 2020, 2020, 6683309. [Google Scholar] [CrossRef] [PubMed]
- Welz, B.; Becker-Ross, H.; Florek, S.; Heitmann, U. High Resolution Continuum Source AAS; Wiley-VCH: Weinheim, Germany, 2005. [Google Scholar]
- Welz, B.; Lepri, F.G.; Araujo, R.G.O.; Ferreira, S.L.C.; Huang, M.D.; Okruss, M.; Becker-Ross, H. Determination of phosphorus, sulfur and the halogens using high-temperature molecular absorption spectrometry in flames and furnaces—A review. Anal. Chim. Acta 2009, 647, 137–148. [Google Scholar] [CrossRef] [PubMed]
- Butcher, D.J. Molecular absorption spectrometry in flames and furnaces: A review. Anal. Chim. Acta 2013, 804, 1–15. [Google Scholar] [CrossRef] [PubMed]
- Aspect CS, 2.3.0.0; Software to contrAA 800; Analytic Jena: Jena, Germany.
- Heitmann, U.; Becker-Ross, H.; Florek, S.; Huang, M.D.; Okruss, M. Determination of non-metals via molecular absorption using high resolution continuum source absorption spectrometry and graphite furnace atomization. J. Anal. At. Spectrom. 2006, 21, 114–1320. [Google Scholar] [CrossRef]
- Gleisner, H.; Welz, B.; Einax, J.W. Optimization of fluorine determination via the molecular absorption of gallium mono-fluoride in graphite furnace using high-resolution continuum source spectrometer. Spectrochim. Acta Part B 2010, 65, 864–869. [Google Scholar] [CrossRef]
- Wurtenberger, I.; Gust, R. A highly sensitive method for invitro testing of fluorinated drug candidates using high-resolution continuum source molecular absorption spectrometry (HR-CS MAS). Anal. Bioanal. Chem. 2014, 406, 3431–3442. [Google Scholar] [CrossRef] [PubMed]
- Ley, P.; Sturm, M.; Ternes, T.A.; Meermann, B. High-resolution continuum source graphite furnace molecular absorption spectrometry compared with ion chromatography for quantitative determination of dissolve fluoride in river water samples. Anal. Bioanal. Chem. 2017, 409, 6949–6958. [Google Scholar] [CrossRef] [PubMed]
- Metzger, M.; Ley, P.; Sturm, M.; Meermann, B. Screening method for extractable organically bound fluorine (EOF) in river water samples by means of high-resolution continuum source graphite furnace molecular absorption spectrometry (HR-CS GF MAS). Anal. Bioanal. Chem. 2019, 411, 4647–4660. [Google Scholar] [CrossRef]
- Gawor, A.; Tupys, A.; Ruszczyńska, A.; Bulska, E. An improved methodology for determination of fluorine in biological samples using high-resolution molecular absorption spectrometry via gallium fluorine formation in a graphite furnace. Appl. Sci. 2021, 11, 5493. [Google Scholar] [CrossRef]
- Mores, S.; Monteiro, G.C.; da Silva Santos, F.; Carasek, E.; Welz, B. Determination of fluorine in tea using high-resolution molecular absorption spectrometry with electrothermal vaporization of the calcium monofluoride CaF. Talanta 2011, 85, 2681–2685. [Google Scholar] [CrossRef] [PubMed]
- Borges, A.R.; Francois, L.L.; Welz, B.; Carasek, E.; Vale, M.G.R. Determination of fluorine in plant materials via calcium mono-fluoride using high-resolution graphite furnace molecular absorption spectrometry with direct solid sample introduction. J. Anal. At. Spectrom. 2014, 29, 1564–1569. [Google Scholar] [CrossRef]
- Huang, M.D.; Becker-Ross, H.; Okruss, M.; Geisler, S.; Florek, S.; Richer, S.; Meckelburg, A. Direct determination of fluorine in niobium oxide using slurry sampling electrothermal high-resolution continuum source molecular absorption spectrometry. Spectrochim. Acta Part B 2014, 94–95, 34–38. [Google Scholar] [CrossRef]
- Ozbek, N.; Akman, S. Method development for the determination of fluorine in water samples via the molecular absorption of strontium monofluoride formed in an electrothermal atomizer. Spectrochim. Acta Part B 2012, 67, 32–37. [Google Scholar] [CrossRef]
- Ozbek, N.; Akman, S. Determination of fluorine in milk and water via molecular absorption of barium monofluoride by high-resolution continuum source atomic absorption spectrometer. Microchem. J. 2014, 117, 111–115. [Google Scholar] [CrossRef]
- Flores, E.L.M.; Bouin, J.S.; Flores, E.M.M.; Dressler, V.L. A new approach for fluorine determination by solid sampling graphite furnace molecular absorption spectrometry. Spectrochim. Acta Part B 2007, 62, 918–923. [Google Scholar] [CrossRef]
- Kowalewska, Z.; Brzezińska, K. Calcium monofluoride as a target molecule for determination of organic fluorine in gasoline and its components using high-resolution continuum source flame molecular absorption spectrometry. Fuel 2022, 309, 122197. [Google Scholar] [CrossRef]
- Kowalewska, Z. Strontium monofluoride, a new molecule to measure fluorine using high-resolution continuum source flame molecular absorption spectrometry and its application for gasoline analysis. Fuel 2024, 356, 129501. [Google Scholar] [CrossRef]
- Lide, R.D. (Ed.) CRC Handbook of Chemistry and Physics, 84th ed.; CRC Press: Boca Raton, FL, USA, 2004; pp. 9.53–9.57. [Google Scholar]
- Resano, M.; Briceno, J.; Belarra, M.A. Direct determination of phosphorus in biological samples using a solid sampling-high resolution-continuum source electrothermal spectrometer: Comparison of atomic and molecular absorption spectrometry. J. Anal. At. Spectrom. 2009, 24, 1343–1354. [Google Scholar] [CrossRef]
- Huang, M.D.; Becker-Ross, H.; Okruss, M.; Geisler, S.; Florek, S. Determination of phosphorous using high-resolution diphosphorus molecular absorption spectra produced in the graphite furnace. Spectrochim. Acta Part B 2016, 115, 23–30. [Google Scholar] [CrossRef]







| Step | Step Name | Temperature, °C | Heating Rate, °C s−1 | Hold Time, s | Argon Flow | Remarks |
|---|---|---|---|---|---|---|
| 1 | Drying | 80 | 6 | 15 | Max | Injection 1 |
| 2 | Drying | 90 | 3 | 10 | Max | |
| 3 | Drying | 110 | 5 | 10 | Max | |
| 4 | Pyrolysis | 350 | 20 | 10 | Max | |
| 5 | Pd reduction | 1100 | 100 | 10 | Max | |
| 6 | Drying | 70 | NP 3 | 10 | Max | |
| 7 | Drying | 80 | 2 | 10 | Max | Injection 2 |
| 8 | Drying | 105 | 5 | 30 | Max | |
| 9 | Drying | 250 | 50 | 5 | Max | |
| 10 | Pyrolysis | 500 | 50 | 20 | Max | |
| 11 | Gas adaptation | 500 | 0 | 5 | Stop | |
| 12 | Vaporization | 1300 | 1500 | 5 | Stop | |
| 13 | Cleaning | 2500 | 500 | 9 | Max |
| PT Year | Type of Feed | Number of Laboratories/ Number of ISE Results | Assigned Value, mg kg−1 | Standard Deviation, mg kg−1 | NLF Result Obtained Using ISE Method, mg kg−1 | z-Score |
|---|---|---|---|---|---|---|
| 2006 a | Feed phosphate | 4/4 | 939 | 33.9 | 970 | 0.82 |
| 2006 a | Feed phosphate | 4/4 | 1799 | 92.5 | 1956 | 0.96 |
| 2007 a | Feed phosphate | 4/4 | 817 | 76.6 | 894 | 1.02 |
| 2011 a | Premixture for layer | 4/4 | 16.1 | 2.83 | 18.4 | 0.82 |
| 2011 b | Compound feed for layers | 10/9 | 9.88 | 5.40 | 6.18 | −0.70 |
| 2013 b | Compound feed for chickens | 11/10 | 21.3 | 4.13 | 20.7 | −0.14 |
| 2014 b | Complementary feed for pigs | 11/10 | 18.8 | 3.42 | 17.8 | −0.30 |
| 2015 b | Compound feed for poultry | 13/11 | 22.0 | 4.49 | 22.5 | 0.10 |
| 2016 b | Complementary feed for pigs | 12/10 | 18.3 | 3.42 | 18.5 | 0.10 |
| 2017 b | Complementary feed for piglets | 11/9 | 28.0 | 1.93 | 30.7 | 1.40 |
| 2020 b | Compound feed for broilers | 8/6 | 15.0 | 2.61 | 17.0 | 0.76 |
| 2022 b | Compound feed for piglets | 10/7 | 17.0 | 3.98 | 15.4 | −0.40 |
| 2023 b | Fortified feed for poultry | 8/6 | 75.8 | 14.2 | 69.6 | −0.43 |
| Parameter | Value of Parameter |
|---|---|
| Characteristic concentration, pg | 2.1 |
| Calibration curve parameters: | |
| y = 12.831x + 0.122 |
| 0.9959 |
| 0.9980 |
| Blank (H2O): | |
| 0.030 |
| 0.0032 |
| 0.0096 |
| Analytical Parameter | Calcium Phosphate | Other Feed |
|---|---|---|
| Threshold F concentration, mg kg−1 | 2000 | 150 |
| Dilution from the threshold content of F in the sample to 0.1 mg L−1 of F in the measured solution | 1:20,000, m:v (1.25 g/50 mL → 1:10 → 1:10 → 1:5) | 1:1500, m:v (1.25 g/50 mL → 1:5 → 1:7.5) |
| Parameters recalculated for sample: | ||
| 600 | 45 |
| 200 | 15 |
| 600–8000 | 50–450 |
| Dilution | - | 1:200, m:v (1.25 g/50 mL → 1:5) |
| Parameters recalculated for sample: | ||
| 6 | |
| 2 | |
| 6–60 | |
| Dilution | - | 1:50, m:v (1.25 g/50 mL → 4:5) |
| Parameters recalculated for sample: | ||
| 1.5 | |
| 0.5 | |
| 1.5–15 |
| Sample | Proficiency Testing 1 | ISE | HR-CS GFMAS | ||
|---|---|---|---|---|---|
| Assigned Value ± Standard Deviation | Average Result ± Standard Deviation (Number of Parallel Analyses) | RSD, % | Average Result ± Standard Deviation (Number of Parallel Analyses) | RSD, % | |
| S1 Calcium phosphate | - | 1680 ± 43 (8) | 2.6 | 1690 ± 50 (8) | 2.9 |
| S2 Mixed feed for turkey | 11.2 ± 3.7 | 13.1 ± 1.3 (2) | 9.9 | 12.5 ± 0.8 (3) | 6.4 |
| S3 Spiked feed for chicken | 70 ± 26 | 64 ± 6 (2) | 9.3 | 66 ± 7 (3) | 9.8 |
| Evaluated Parameter | ISE | HR-CS GFMAS |
|---|---|---|
| Sensitivity | + | + |
| Detectability | +/− | + |
| Precision | + | + |
| Total amount of F determination | − | + |
| Interferences: Ca/PO43− effect | + | +/− |
| Interferences: Fe, Al effect | +/− | + |
| Interferences: HCl effect | + | − |
| Calibration range and parameters | + | +/− |
| Investment costs | + | − |
| Running costs | + | − |
| Speed of analysis | + | − |
| Automation * | − | + |
| Contamination risk | + | − |
| Kind of Animal Feed (Number of Samples of This Type) | Content of Fluorides, mg kg−1 | Mean Value, mg kg−1 | Median, mg kg−1 | Standard Deviation, mg kg−1 | Coefficient of Variation, % | Threshold Value, mg kg−1 |
|---|---|---|---|---|---|---|
| Feed materials of plant origin (34) | 2.3–8.9 | 4.5 | 4.4 | 1.4 | 31 | 150 |
| Feed materials of animal origin (18) | 2.8–25.3 | 7.3 | 4.7 | 6.1 | 84 | 150 |
| Calcium carbonate (13) | 9.7–73.1 | 37.2 | 36.4 | 19.1 | 51 | 350 |
| Calcium phosphate (5) | 1620–4420 | 2790 | 2230 | 1250 | 45 | 2000 |
| Compound feed for poultry (17) | 5.2–20.7 | 12.0 | 11.5 | 4.7 | 39 | 150 |
Disclaimer/Publisher’s Note: The statements, opinions and data contained in all publications are solely those of the individual author(s) and contributor(s) and not of MDPI and/or the editor(s). MDPI and/or the editor(s) disclaim responsibility for any injury to people or property resulting from any ideas, methods, instructions or products referred to in the content. |
© 2024 by the authors. Licensee MDPI, Basel, Switzerland. This article is an open access article distributed under the terms and conditions of the Creative Commons Attribution (CC BY) license (https://creativecommons.org/licenses/by/4.0/).
Share and Cite
Kowalewska, Z.; Goluch, K.; Korol, W.; Olchowski, R.; Dobrowolski, R. Determination of Fluorine by Ion-Selective Electrode and High-Resolution Continuum Source Graphite Furnace Molecular Absorption Spectrometry with Respect to Animal Feed Safety. Materials 2024, 17, 2812. https://doi.org/10.3390/ma17122812
Kowalewska Z, Goluch K, Korol W, Olchowski R, Dobrowolski R. Determination of Fluorine by Ion-Selective Electrode and High-Resolution Continuum Source Graphite Furnace Molecular Absorption Spectrometry with Respect to Animal Feed Safety. Materials. 2024; 17(12):2812. https://doi.org/10.3390/ma17122812
Chicago/Turabian StyleKowalewska, Zofia, Karolina Goluch, Waldemar Korol, Rafał Olchowski, and Ryszard Dobrowolski. 2024. "Determination of Fluorine by Ion-Selective Electrode and High-Resolution Continuum Source Graphite Furnace Molecular Absorption Spectrometry with Respect to Animal Feed Safety" Materials 17, no. 12: 2812. https://doi.org/10.3390/ma17122812
APA StyleKowalewska, Z., Goluch, K., Korol, W., Olchowski, R., & Dobrowolski, R. (2024). Determination of Fluorine by Ion-Selective Electrode and High-Resolution Continuum Source Graphite Furnace Molecular Absorption Spectrometry with Respect to Animal Feed Safety. Materials, 17(12), 2812. https://doi.org/10.3390/ma17122812

