Mechanical Properties of Alkasite Material with Different Curing Modes and Simulated Aging Conditions
Abstract
1. Introduction
2. Materials and Methods
2.1. Specimen Preparation
2.2. Microhardness Measurements
- Light-cured immediately,
- Light-cured after a 5-min delay,
- Self-cured (i.e., undisturbed in the dark for 20 min).
2.3. Flexural Strength and Modulus Measurements
- Lactic acid solution (pH = 4.0),
- 1 M NaOH solution (pH = 13.0),
- Phosphate-buffered saline solution (pH = 7.4),
- 75% ethanol solution.
2.4. Statistical Analysis
3. Results
4. Discussion
5. Conclusions
- Light curing is preferable to self-curing, as it results in significantly better microhardness, flexural strength, and flexural modulus;
- A 5-min delay between mixing the capsule and light curing had no negative effect on the aforementioned properties;
- After immersion in various solutions which enhanced material degradation, the significantly lowest flexural strength and flexural modulus were consistently observed in the self-cured specimens.
Author Contributions
Funding
Institutional Review Board Statement
Informed Consent Statement
Data Availability Statement
Conflicts of Interest
References
- Paolone, G. Direct Composite Restorations in Anterior Teeth. Managing Symmetry in Central Incisors. Int. J. Esthet. Dent. 2014, 9, 12–25. [Google Scholar]
- Scolavino, S.; Paolone, G.; Orsini, G.; Devoto, W.; Putignano, A. The Simultaneous Modeling Technique: Closing Gaps in Posteriors. Int. J. Esthet. Dent. 2016, 11, 58–81. [Google Scholar] [PubMed]
- Askar, H.; Krois, J.; Göstemeyer, G.; Bottenberg, P.; Zero, D.; Banerjee, A.; Schwendicke, F. Secondary Caries: What Is It, and How It Can Be Controlled, Detected, and Managed? Clin. Oral Investig. 2020, 24, 1869–1876. [Google Scholar] [CrossRef] [PubMed]
- Tiskaya, M.; Al-eesa, N.A.; Wong, F.S.L.; Hill, R.G. Characterization of the Bioactivity of Two Commercial Composites. Dent. Mater. 2019, 35, 1757–1768. [Google Scholar] [CrossRef] [PubMed]
- Par, M.; Gubler, A.; Attin, T.; Tarle, Z.; Tarle, A.; Tauböck, T.T. Ion Release and Hydroxyapatite Precipitation of Resin Composites Functionalized with Two Types of Bioactive Glass. J. Dent. 2022, 118, 103950. [Google Scholar] [CrossRef] [PubMed]
- Šalinović, I.; Schwendicke, F.; Askar, H.; Yassine, J.; Miletić, I. Effects of Ion-Releasing Materials on Dentine: Analysis of Microhardness, Appearance, and Chemical Composition. Materials 2023, 16, 7310. [Google Scholar] [CrossRef] [PubMed]
- Par, M.; Gubler, A.; Attin, T.; Tarle, Z.; Tauböck, T.T. Anti-Demineralizing Protective Effects on Enamel Identified in Experimental and Commercial Restorative Materials with Functional Fillers. Sci. Rep. 2021, 11, 11806. [Google Scholar] [CrossRef] [PubMed]
- Par, M.; Gubler, A.; Attin, T.; Tarle, Z.; Tarle, A.; Tauböck, T.T. Experimental Bioactive Glass-Containing Composites and Commercial Restorative Materials: Anti-Demineralizing Protection of Dentin. Biomedicines 2021, 9, 1616. [Google Scholar] [CrossRef] [PubMed]
- Wiriyasatiankun, P.; Sakoolnamarka, R.; Thanyasrisung, P. The Impact of an Alkasite Restorative Material on the pH of Streptococcus Mutans Biofilm and Dentin Remineralization: An in Vitro Study. BMC Oral Health 2022, 22, 334. [Google Scholar] [CrossRef] [PubMed]
- Theerarath, T.; Sriarj, W. An Alkasite Restorative Material Effectively Remineralized Artificial Interproximal Enamel Caries in Vitro. Clin. Oral Investig. 2022, 26, 4437–4445. [Google Scholar] [CrossRef]
- Afraaz, A.; Borugadda, R.; Mandava, J.; Chalasani, U.; Ravi, R.; Pamidimukkala, S.; Boddeda, M.R.; Athkuri, S. Evaluation of Marginal Adaptation and Wear Resistance of Nanohybrid and Alkasite Restorative Resins. JCDR 2020, 14, 16–20. [Google Scholar] [CrossRef]
- Kaptan, A.; Oznurhan, F.; Candan, M. In Vitro Comparison of Surface Roughness, Flexural, and Microtensile Strength of Various Glass-Ionomer-Based Materials and a New Alkasite Restorative Material. Polymers 2023, 15, 650. [Google Scholar] [CrossRef] [PubMed]
- Albelasy, E.H.; Hamama, H.H.; Chew, H.P.; Montasser, M.; Mahmoud, S.H. Clinical Performance of Two Ion-releasing Bulk-fill Composites in Class I and Class II Restorations: A Two-year Evaluation. J. Esthet. Restor. Dent. 2024, 36, 723–736. [Google Scholar] [CrossRef] [PubMed]
- Ballal, N.V.; Jalan, P.; Rai, N.; Husain, N.A.-H.; Özcan, M. Evaluation of New Alkasite Based Restorative Material for Restoring Non Carious Cervical LesionsRandomized Controlled Clinical Trial. Eur. J. Prosthodont. Restor. Dent. 2023, 31, 72. [Google Scholar] [CrossRef] [PubMed]
- Derchi, G.; Marchio, V.; Giuca, M.R.; Lardani, L. Clinical Performance of CentionTM Alkasite Restorative Material vs. Glass Ionomer Cement Used in Deciduous Teeth: One-Year Evaluation. Appl. Sci. 2022, 12, 10845. [Google Scholar] [CrossRef]
- Sharma, H.; Suprabha, B.S.; Shenoy, R.; Rao, A.; Kotian, H. Clinical Effectiveness of Alkasite versus Nanofilled Resin Composite in the Restoration of Occlusal Carious Lesions in Permanent Molar Teeth of Children: A Randomized Clinical Trial. Eur. Arch. Paediatr. Dent. 2023, 24, 301–311. [Google Scholar] [CrossRef] [PubMed]
- Oz, F.D.; Meral, E.; Gurgan, S. Clinical Performance of an Alkasite-Based Bioactive Restorative in Class II Cavities: A Randomized Clinical Trial. J. Appl. Oral Sci. 2023, 31, e20230025. [Google Scholar] [CrossRef] [PubMed]
- Di Lauro, A.; Di Duca, F.; Montuori, P.; Dal Piva, A.M.D.O.; Tribst, J.P.M.; Borges, A.L.S.; Ausiello, P. Fluoride and Calcium Release from Alkasite and Glass Ionomer Restorative Dental Materials: In Vitro Study. J. Funct. Biomater. 2023, 14, 109. [Google Scholar] [CrossRef] [PubMed]
- Marovic, D.; Par, M.; Posavec, K.; Marić, I.; Štajdohar, D.; Muradbegović, A.; Tauböck, T.T.; Attin, T.; Tarle, Z. Long-Term Assessment of Contemporary Ion-Releasing Restorative Dental Materials. Materials 2022, 15, 4042. [Google Scholar] [CrossRef]
- Ong, J.; Yap, A.; Abdul Aziz, A.; Yahya, N. Flexural Properties of Contemporary Bioactive Restorative Materials: Effect of Environmental pH. Oper. Dent. 2023, 48, 90–97. [Google Scholar] [CrossRef]
- Ilie, N. Degradation of Dental Methacrylate-Based Composites in Simulated Clinical Immersion Media. J. Funct. Biomater. 2022, 13, 25. [Google Scholar] [CrossRef]
- Par, M.; Marovic, D.; Attin, T.; Tarle, Z.; Tauböck, T.T. The Effect of Rapid High-Intensity Light-Curing on Micromechanical Properties of Bulk-Fill and Conventional Resin Composites. Sci. Rep. 2020, 10, 10560. [Google Scholar] [CrossRef]
- Muradbegovic, A.; Par, M.; Panduric, V.; Zugec, P.; Tauböck, T.T.; Attin, T.; Tarle, Z.; Marovic, D. Water-Induced Changes in Experimental Resin Composites Functionalized with Conventional (45S5) and Customized Bioactive Glass. J. Funct. Biomater. 2023, 14, 298. [Google Scholar] [CrossRef]
- Manhart, J.; Kunzelmann, K.-H.; Chen, H.Y.; Hickel, R. Mechanical Properties and Wear Behavior of Light-Cured Packable Composite Resins. Dent. Mater. 2000, 16, 33–40. [Google Scholar] [CrossRef]
- Ilie, N. ISO 4049 versus NIST 4877: Influence of Stress Configuration on the Outcome of a Three-Point Bending Test in Resin-Based Dental Materials and Interrelation between Standards. J. Dent. 2021, 110, 103682. [Google Scholar] [CrossRef]
- Quinn, J.B.; Quinn, G.D. A Practical and Systematic Review of Weibull Statistics for Reporting Strengths of Dental Materials. Dent. Mater. 2010, 26, 135–147. [Google Scholar] [CrossRef]
- Ilie, N. Comparative Effect of Self- or Dual-Curing on Polymerization Kinetics and Mechanical Properties in a Novel, Dental-Resin-Based Composite with Alkaline Filler. Materials 2018, 11, 108. [Google Scholar] [CrossRef]
- Ilie, N.; Keßler, A.; Durner, J. Influence of Various Irradiation Processes on the Mechanical Properties and Polymerisation Kinetics of Bulk-Fill Resin Based Composites. J. Dent. 2013, 41, 695–702. [Google Scholar] [CrossRef]
- Yıldırım, Z.S.; Eyiler, E.; Bek Kürklü, Z.G. Effect of Thickness on the Degree of Conversion, Monomer Elution, Depth of Cure and Cytotoxicity of Bulk-Fill Composites. J. Oral Sci. 2023, 65, 121–126. [Google Scholar] [CrossRef]
- Feitosa, V.P.; Fugolin, A.P.P.; Correr, A.B.; Correr-Sobrinho, L.; Consani, S.; Watson, T.F.; Sinhoreti, M.A.C.; Sauro, S. Effects of Different Photo-Polymerization Protocols on Resin–Dentine μTBS, Mechanical Properties and Cross-Link Density of a Nano-Filled Resin Composite. J. Dent. 2012, 40, 802–809. [Google Scholar] [CrossRef]
- Soh, M.S.; Yap, A.U.J. Influence of Curing Modes on Crosslink Density in Polymer Structures. J. Dent. 2004, 32, 321–326. [Google Scholar] [CrossRef] [PubMed]
- Schneider, L.; Moraes, R.; Cavalcante, L.; Sinhoreti, M.; Corrersobrinho, L.; Consani, S. Cross-Link Density Evaluation through Softening Tests: Effect of Ethanol Concentration. Dent. Mater. 2008, 24, 199–203. [Google Scholar] [CrossRef]
- Mederos, M.; León, E.D.; García, A.; Cuevas-Suárez, C.E.; Hernández-Cabanillas, J.C.; Rivera-Gonzaga, J.A.; Grazioli, G. In Vitro Characterization of a Novel Resin-Based Restorative Material Containing Alkaline Fillers. J. Appl. Oral Sci. 2024, 32, e20230219. [Google Scholar] [CrossRef] [PubMed]
- Szczesio-Wlodarczyk, A.; Sokolowski, J.; Kleczewska, J.; Bociong, K. Ageing of Dental Composites Based on Methacrylate Resins—A Critical Review of the Causes and Method of Assessment. Polymers 2020, 12, 882. [Google Scholar] [CrossRef] [PubMed]
- Björkvik, L.; Wang, X.; Hupa, L. Dissolution of Bioactive Glasses in Acidic Solutions with the Focus on Lactic Acid. Int. J. Appl. Glass Sci. 2016, 7, 154–163. [Google Scholar] [CrossRef]
- Drummond, J.L. Degradation, Fatigue, and Failure of Resin Dental Composite Materials. J. Dent. Res. 2008, 87, 710–719. [Google Scholar] [CrossRef] [PubMed]
- Alhotan, A.; Raszewski, Z.; Alamoush, R.A.; Chojnacka, K.; Mikulewicz, M.; Haider, J. Influence of Storing Composite Filling Materials in a Low-pH Artificial Saliva on Their Mechanical Properties—An In Vitro Study. J. Funct. Biomater. 2023, 14, 328. [Google Scholar] [CrossRef] [PubMed]
- Ilie, N. Accelerated versus Slow In Vitro Aging Methods and Their Impact on Universal Chromatic, Urethane-Based Composites. Materials 2023, 16, 2143. [Google Scholar] [CrossRef] [PubMed]
- Malacarne, J.; Carvalho, R.M.; De Goes, M.F.; Svizero, N.; Pashley, D.H.; Tay, F.R.; Yiu, C.K.; Carrilho, M.R.D.O. Water Sorption/Solubility of Dental Adhesive Resins. Dent. Mater. 2006, 22, 973–980. [Google Scholar] [CrossRef]
- Sideridou, I.D.; Achilias, D.S.; Karabela, M.M. Sorption Kinetics of Ethanol/Water Solution by Dimethacrylate-based Dental Resins and Resin Composites. J. Biomed. Mater. Res. 2007, 81B, 207–218. [Google Scholar] [CrossRef]
- Cention–Instructions for Use. Available online: https://www.ivoclar.com/en_li/products/composites/cention-forte (accessed on 1 June 2024).
- Ilie, N.; Moldovan, M.; Ionescu, A.C. Microstructure and Mechanical Behavior of Modern Universal-Chromatic and Bulk-Fill Resin-Based Composites Developed to Simplify Dental Restorative Procedures. J. Funct. Biomater. 2022, 13, 178. [Google Scholar] [CrossRef]
- Arrais, C.A.G.; Giannini, M.; Rueggeberg, F.A. Kinetic Analysis of Monomer Conversion in Auto- and Dual-Polymerizing Modes of Commercial Resin Luting Cements. J. Prosthet. Dent. 2009, 101, 128–136. [Google Scholar] [CrossRef] [PubMed]
- Arrais, C.A.G.; Rueggeberg, F.A.; Waller, J.L.; De Goes, M.F.; Giannini, M. Effect of Curing Mode on the Polymerization Characteristics of Dual-Cured Resin Cement Systems. J. Dent. 2008, 36, 418–426. [Google Scholar] [CrossRef] [PubMed]
- Flury, S.; Lussi, A.; Hickel, R.; Ilie, N. Light Curing through Glass Ceramics with a Second- and a Third-Generation LED Curing Unit: Effect of Curing Mode on the Degree of Conversion of Dual-Curing Resin Cements. Clin. Oral Investig. 2013, 17, 2127–2137. [Google Scholar] [CrossRef] [PubMed]
- Burrer, P.; Par, M.; Fürer, L.; Stübi, M.; Marovic, D.; Tarle, Z.; Attin, T.; Tauböck, T.T. Effect of Polymerization Mode on Shrinkage Kinetics and Degree of Conversion of Dual-Curing Bulk-Fill Resin Composites. Clin. Oral Investig. 2023, 27, 3169–3180. [Google Scholar] [CrossRef] [PubMed]
- François, P.; Remadi, A.; Le Goff, S.; Abdel-Gawad, S.; Attal, J.-P.; Dursun, E. Flexural Properties and Dentin Adhesion in Recently Developed Self-Adhesive Bulk-Fill Materials. J. Oral Sci. 2021, 63, 139–144. [Google Scholar] [CrossRef] [PubMed]
- Keskus, B.; Oznurhan, F. Comparison of Physical and Mechanical Properties of Three Different Restorative Materials in Primary Teeth: An in Vitro Study. Eur. Arch. Paediatr. Dent. 2022, 23, 821–828. [Google Scholar] [CrossRef] [PubMed]
- Halvorson, R.H.; Erickson, R.L.; Davidson, C.L. The Effect of Filler and Silane Content on Conversion of Resin-Based Composite. Dent. Mater. 2003, 19, 327–333. [Google Scholar] [CrossRef]
- Gomes De Araújo-Neto, V.; Sebold, M.; Fernandes De Castro, E.; Feitosa, V.P.; Giannini, M. Evaluation of Physico-Mechanical Properties and Filler Particles Characterization of Conventional, Bulk-Fill, and Bioactive Resin-Based Composites. J. Mech. Behav. Biomed. Mater. 2021, 115, 104288. [Google Scholar] [CrossRef]



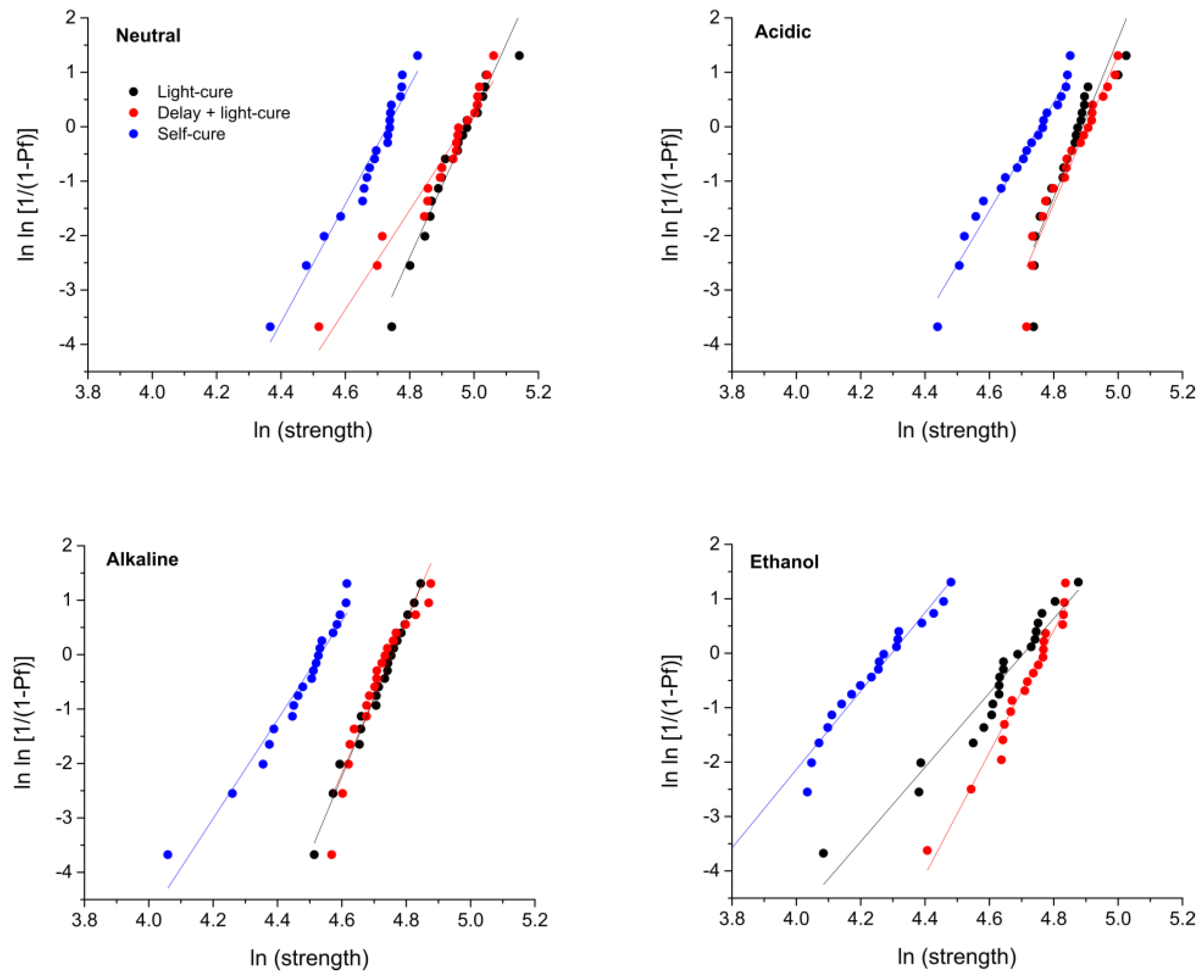
| Weibull Modulus | ||||
|---|---|---|---|---|
| Immersion Medium | Curing Mode | Mean Value | 95% Confidence Interval | |
| Lower Bound | Upper Bound | |||
| Neutral | Light cure | 13.06 | 7.03 | 19.09 |
| Delay + light cure | 9.12 | 4.97 | 13.27 | |
| Self-cure | 10.87 | 6.18 | 15.57 | |
| Acidic | Light cure | 14.57 | 2.38 | 26.76 |
| Delay + light cure | 13.73 | 6.20 | 21.27 | |
| Self-cure | 9.96 | 6.39 | 13.54 | |
| Alkaline | Light cure | 14.29 | 11.15 | 17.43 |
| Delay + light cure | 13.94 | 4.79 | 23.10 | |
| Self-cure | 9.08 | 5.06 | 13.10 | |
| Ethanol | Light cure | 6.83 | 3.20 | 10.47 |
| Delay + light-cure | 11.23 | 6.83 | 15.63 | |
| Self-cure | 7.21 | 4.68 | 9.74 | |
Disclaimer/Publisher’s Note: The statements, opinions and data contained in all publications are solely those of the individual author(s) and contributor(s) and not of MDPI and/or the editor(s). MDPI and/or the editor(s) disclaim responsibility for any injury to people or property resulting from any ideas, methods, instructions or products referred to in the content. |
© 2024 by the authors. Licensee MDPI, Basel, Switzerland. This article is an open access article distributed under the terms and conditions of the Creative Commons Attribution (CC BY) license (https://creativecommons.org/licenses/by/4.0/).
Share and Cite
Negovetic Mandic, V.; Plancak, L.; Marovic, D.; Tarle, Z.; Trutina Gavran, M.; Par, M. Mechanical Properties of Alkasite Material with Different Curing Modes and Simulated Aging Conditions. Materials 2024, 17, 2777. https://doi.org/10.3390/ma17112777
Negovetic Mandic V, Plancak L, Marovic D, Tarle Z, Trutina Gavran M, Par M. Mechanical Properties of Alkasite Material with Different Curing Modes and Simulated Aging Conditions. Materials. 2024; 17(11):2777. https://doi.org/10.3390/ma17112777
Chicago/Turabian StyleNegovetic Mandic, Visnja, Laura Plancak, Danijela Marovic, Zrinka Tarle, Milena Trutina Gavran, and Matej Par. 2024. "Mechanical Properties of Alkasite Material with Different Curing Modes and Simulated Aging Conditions" Materials 17, no. 11: 2777. https://doi.org/10.3390/ma17112777
APA StyleNegovetic Mandic, V., Plancak, L., Marovic, D., Tarle, Z., Trutina Gavran, M., & Par, M. (2024). Mechanical Properties of Alkasite Material with Different Curing Modes and Simulated Aging Conditions. Materials, 17(11), 2777. https://doi.org/10.3390/ma17112777

