Abstract
Already used in the food, pharmaceutical, cosmetic, and agrochemical industries, encapsulation is a strategy used to protect active ingredients from external degradation factors and to control their release kinetics. Various encapsulation techniques have been studied, both to optimise the level of protection with respect to the nature of the aggressor and to favour a release mechanism between diffusion of the active compounds and degradation of the barrier material. Biopolymers are of particular interest as wall materials because of their biocompatibility, biodegradability, and non-toxicity. By forming a stable hydrogel around the drug, they provide a ‘smart’ barrier whose behaviour can change in response to environmental conditions. After a comprehensive description of the concept of encapsulation and the main technologies used to achieve encapsulation, including micro- and nano-gels, the mechanisms of controlled release of active compounds are presented. A panorama of natural polymers as wall materials is then presented, highlighting the main results associated with each polymer and attempting to identify the most cost-effective and suitable methods in terms of the encapsulated drug.
1. Introduction
Encapsulation has been a very active area of research in recent years. Encapsulation technologies and formulations have been investigated by the scientific community for various applications. It is an effective way of protecting and preserving active substances from the conditions of the surrounding medium conditions such as moisture, reactive chemicals of the medium, and UV light, among others. It can also be used to deliver drugs to a target site. A number of parameters are important in the design of materials for a specific encapsulation process, including pH, salt used, temperature, and pressure. The quality of the encapsulation is also influenced by the nature of the active ingredient, the nature of the wall material, and their interactions. A material used as a coating should have high functional rheological properties, and for most applications, should be edible, biodegradable, compatible with the active ingredient, cost-effective, and provide optimal stability during and after the manufacture of the encapsulated products [1,2]. Several molecular compounds have been investigated and used as encapsulated substances. Lipids have been used to entrap organic compounds in a self-assembling liposome [3,4,5]. Polymers are also relevant candidates as drug matrices. They can be of synthetic or natural origin. Even if some synthetic polymers show good biocompatibility and biodegradability properties, they might present a restrained interest considering the petrochemical origin of most of them. Biopolymers have been studied for the design of hydrogels capable of encapsulating the core compounds, giving polymeric networks with a versatile behaviour. Encapsulation has been used in various industries, such as the flavour industry to preserve the organoleptic properties of molecular compounds [6] and in the pharmaceutical industry for the encapsulation of anticancer drugs [7,8,9].
In the context of environmental conservation, bioprotection solutions have recently been developed to design greener tools capable of controlling threatening or pestilential organisms [10,11,12], pathogens, weeds, or pests to provide human [13] and environmental benefits [10,14,15]. Biopesticide alternatives are natural approaches to combat a target by using natural phenomena already observed in nature. Natural molecular substances and biocontrol agents, which require the use of living organisms, are among the biopesticide alternatives. These new approaches involve sensitive components such as natural molecular substances, e.g., plant-derived substances [16] and proteins [17], and biocontrol agents, e.g., microbial biocontrol agents vectored by bumble bees [18]. Encapsulation for such applications in the agrochemical industry requires low-cost coating materials, an environmentally friendly composition, a cost-effective encapsulation technique, and an easy scale-up of the manufacturing process to fabricate large quantities of products. The current challenge is to develop new agrochemical treatments that are environmentally friendly, cost-effective to maintain competitiveness in a highly competitive industry, user-friendly, and capable of widespread application for rapid treatment of large areas [10,11]. Biopolymers have already been investigated for the microencapsulation of beneficial microorganisms capable of combating plant pathogens and developing new agrochemicals [19].
This review provides an overview of the knowledge already gained on encapsulation in biopolymers of different active substances for various types of applications. It is aimed at identifying strategies for the delivery of active substances based on their nature, physico-chemical properties, and characteristics of both the storage and the delivery sites.
2. The Concept of Encapsulation
Encapsulation is the process of creating a functional barrier between a core material and its surrounding environment to prevent chemical reactions and physical interactions, and to maintain the biological, functional, and physicochemical properties of the core material [20,21,22]. For application in the food industry, encapsulation provides a protective shell for the food colourant, preventing it from easily migrating through the product, as is the case with conventional colourants [23]. Encapsulation is also a strategy that can be used to protect highly sensitive components such as essential oils [3], e.g., Pimento essential oil, which exhibits antifungal activity, especially against dangerous pathogenic and toxigenic fungi, was microencapsulated using chitosan and κ-carrageenan [4,24]. Encapsulation of oils has been reported to improve the oxidative, thermal, moisture, and light stability, shelf life, and biological activity of oils [20,25]. Physical or chemical encapsulation processes produce beads with sizes ranging from a few nanometres for nanoencapsulation, to a few millimetres for microencapsulation [11]. Encapsulation can be achieved in particular by using polymers as wall materials. Different forms of capsules can be designed with more or less complex architectures (Figure 1). The common architectures are the spherical simple microcapsules, for which the core material is surrounded by a layer of material, and the microsphere, for which the core material is trapped and dispersed in a polymer matrix. However, the structure of the microsystem can also be irregular depending on the encapsulation process used [20,26].
Figure 1.
Different types of microcapsule architectures: (A) simple microcapsule, (B) microsphere, (C) multiwall microcapsule, (D) multicore microcapsule, (E) irregular microcapsule, (F) assembly of microcapsules, polymer layer are represented in black and dark grey and the light grey represents the active substance, inspired by [20].
3. Technologies of Encapsulation
Several technologies have been developed for achieving encapsulation. These encapsulation methods can be classified into physical methods, chemical methods, and physico-chemical methods. Technology screening depends on the physico-chemical properties of the carrier and of the core ingredient, the particle size target, and the encapsulation efficiency. The method of encapsulation also influences the sensitivity of the capsules to the surrounding medium and the kinetic release of the active ingredient.
A panorama of the encapsulation methods is presented in Table 1. In this review, we focus on three conventional methods—spray-drying, extrusion, and coacervation—, which are commonly used for microencapsulation. These methods have been used in particular for the encapsulation of active ingredients such as plant growth-promoting bacteria [11].
Table 1.
Overview of the encapsulation methods.
3.1. Spray Drying
Spray-drying is widely used to microencapsulate molecular and enzymatic actives, such as carotenoids, lipids, or enzymes [40,41,42]. Easily implemented on a large scale [20], spray drying is a continuous process that converts various liquids, solutions, slurries, dispersions, pastes, or even melts into solid particles with adjustable sizes, shape distributions, porosities, densities, and chemical compositions (Figure 2) [43]. The feed, containing the active ingredient and the wall materials, is atomised in the drying chamber, where the water in the droplets formed is immediately evaporated by contact with the hot air inside the chamber. The formed particles are then separated from the drying air by a recovery cyclone [44]. This fast and inexpensive method is particularly suitable for capturing enzymes. The short contact time of the heat with the formed particles makes spray drying very attractive for enzyme encapsulation [45]. However, the encapsulation of active ingredients such as bacteria is potentially altered by the drying step [4].
Figure 2.
Scheme of the spray-drying process for encapsulation of active ingredients, (A) tank containing the sprayed mixture: polymer and active ingredient, (B) pump to feed the mixture in the system, (C) spray nozzle, (D) heater to heat up the airflow, (E) chamber, (F) cyclone separator, and (G) spray dried capsules, inspired by [4].
3.2. Extrusion
Manually or automatically, the feed material is extruded through a syringe into a cross-linking bath to obtain and stabilise the microbeads. The extrusion technique has been used to develop mixed locust bean gum and alginate microbeads through the ionotropic gelation method. A specific amount of the locust bean gum/alginate polymer blend and the drug were first dissolved in distilled water. The feed material was then dropped through a needle into a beaker containing an aqueous calcium chloride solution (Figure 3) [7]. A high-voltage generator can be used to oppositely polarise the syringe and the calcium bath, thereby orienting the droplet flow and regulating the droplet size, thereby influencing the size of the beads. Extrusion is an economical and straightforward encapsulation process that does not require the use of harmful solvents [46]. In addition, encapsulation can be used under anaerobic and aerobic conditions. The size of the beads depends on the distance between the cross-linking bath and the syringe, the viscosity of the mixture, the polymer concentration, and the diameter of the syringe needle [47]. The two main problems with extrusion methods are the difficulty of large-scale application and the slow bead formation [11]. This technique is particularly suitable for the encapsulation of living cells. In cell-based therapy, alginate (1.5% w/v)/agarose (0.1% w/v) beads were chosen to encapsulate, protect and act as a vehicle to transport the stem cells. Delivery was by bursting release of the stem cells from the beads upon reaching the active site [48].
Figure 3.
Scheme of the extrusion process, (A) Syringe, (B) Polymer (alginate) solution, (C) Syringe needle, (D) Gelling bath (with calcium chloride), and (E) Syringe pump, inspired by [11].
3.3. Coacervation
In recent years, the coacervation method has been investigated for the microencapsulation of oils. Coacervation is the oldest and most widely used encapsulation technique [20]. This relatively simple method can be compared to a modified emulsification technique. The process involves the separation of the hydrocolloid from the primary solution and subsequent aggregation into a distinct liquid phase known as “coacervation” [49]. In the first step of the coacervation process, the core material is suspended in a continuous liquid phase. In the second step, the coating material is added to the two-phase system. The third and fourth steps involve gelation and solidification of the microcapsule wall around the core (Figure 4) [50].
Figure 4.
Mechanism of microencapsulation formation by the coacervation method, (A) suspension of the core material (dark grey circles) in the liquid phase (light grey background), (B) suspension of the polymer (small black circles) in the liquid phase, (C) adsorption of the polymer material onto the core material, and (D) gelation and solidification of the microcapsule wall (black layer surrounding the dark grey circles), inspired by [15].
The wall formed by the polymer plays an interesting role in protecting the microencapsulated oil and exhibits excellent controlled release. In addition, this low-cost method can be used to produce microcapsules on an industrial scale. The encapsulation of protein through polypeptide complex coacervation offers an efficient method for controlling extended release in response to pH changes [51]. Coacervation processes have been classified into simple and complex coacervation [20]. In simple coacervation, the polymer is deposited around the core material by salting the polymer with the addition of electrolytes, or by desolvation of the polymer with the addition of a water-miscible non-solvent, or by playing with the temperature of the liquid environment [50]. In complex coacervation [52], microcapsules are formed by the interaction of two or more oppositely charged colloids or polyelectrolytes, usually proteins and polysaccharides [40]. This process is influenced by parameters such as pH, the isoelectric point of proteins, the ionic strength:polysaccharide ratio, the total concentration of biopolymers, the type of core material, and the core:wall ratio. Stirring speed also plays a key role in controlling the size of the coacervates formed. One of the advantages of this approach is the overall higher encapsulation efficiency. The combination of gelatin and arabic gum is a standard for complex coacervation. The attraction between type A gelatin and gum arabic is observed at a pH below 9. The coacervation mechanism between gelatin and gum arabic is explained by the electrostatic interaction between the positively charged ammonium moieties of gelatin and the negative charges of gum arabic chains. Gelatin and gum arabic, when exposed to electrostatic interactions, form a coacervate layer, which hardens during the gelatin cross-linking process [50,53,54].
4. Encapsulation in Micro- and Nanogels
In order to form micro- and nanoparticles using the described biopolymers, different manufacturing strategies are used, depending on the chemical structure and physicochemical properties of the gums. The formation of a gel is of interest in order to preserve the integrity of the active substance in the capsules, such as enzymes or probiotics, among others. The preparation method can have a significant impact on the final properties of the hydrogels, a critical factor to be considered, especially when evaluating drug release kinetics.
4.1. Mechanisms of Formation of Hydrogels
4.1.1. Ionic Cross-Linking
Ionic cross-linking is a method of gel formation for some gums that can interact with di- or trivalent cations, such as gellan gum or alginate, or an artificial polymer such as acrylic acid (Figure 5). The cations interact with the negatively charged parts of the polysaccharide, forming bridges and initiating the formation of a gel structure. The active ingredients are trapped between the cross-linked polysaccharide chains. Reversible and mild, ionic cross-linking potentially makes the obtained products fully biocompatible according to the screening of polymers and ions. It is a complex phenomenon, difficult to describe, and highly dependent on the temperature, which affects the behaviour and the structural organisation of the biopolymer chains in solution. The study of the effect of various divalent metal cations has highlighted the significant impact of ionic strength and hydrogen bond interactions on the mechanical properties of bioinspired Montmorillonite-alginate hybrid films. Alginates have shown varying degrees of affinity depending on the binding divalent cations: Mn2+, Co2+, Ni2+, and Ca2+ and exhibited strong ionic cross-linking with Ba2+, Cd2+, and Cu2+ [55].
Figure 5.
Mechanism of gum-based micro- and nanoparticle formations: Ionotropic gelation, inspired by [56].
A classical realisation of ionic crosslinking is found in the case of alginates, which will be described in more detail in Section 6.1.1. In sodium alginates, the sodium ions are usually replaced by calcium cations and the gel formation process consists of a few steps. In the initial stage, the monocomplexes are formed, and in further steps, they transform into dimers and multimers, which is commonly known as the “egg box” structure [57]. According to another theory, the crosslinked polymer chains that form the dimer are not parallel but approximately perpendicular to each other. This results in a tilted “egg box” structure [58]. Similar properties have been described for gellan gum [59].
4.1.2. Covalent Cross-Linking
Covalent cross-linking is an irreversible way of bridging the adjacent polymer chains. The process is irreversible and the bonds obtained are generally insensitive to pH changes (Figure 6) [60]. The cross-linker used must contain at least two functional groups capable of reacting with the hydroxyl groups in gum molecules or other functional groups in the polymer chains to link the two chains [61]. Glutaraldehyde and sodium trimetaphosphate are known to be the most commonly used cross-linkers, but dialdehyde is said to be toxic, limiting its use in pharmaceutical technology [56,61]. Less harmful cross-linking agents have been proposed, such as genipin [62] or citric acid [63].
Figure 6.
Mechanism of gum-based micro- and nanoparticle formations: Covalent cross-linking, inspired by [56].
4.1.3. Polyelectrolyte Cross-Linking
This process is commonly used to produce microspheres and microcapsules. For example, the polyelectrolyte complex can be deposited at the interface between the oil droplets and the aqueous medium, forming microcapsules [51]. Gelling occurs through the interaction of two oppositely charged polymers (Figure 7) [64]. The negatively charged residues of one polymer interact with the positively charged residues of the second polymer [56]. Inter-complex aggregation is strongly dependent on the ratio of cationic to anionic groups. In the case of a non-stoichiometric ratio, the product is water soluble. The formation and subsequent behaviour of the polyelectrolyte complex are influenced by pH, electrolyte concentration, and the mixing order of the specific compounds [56].
Figure 7.
Mechanism of gum-based micro- and nanoparticle formations: Polyelectrolyte complexation, inspired by [56].
4.1.4. Polysaccharide and Drug Conjugation
In this technique, active molecules are covalently attached to the polysaccharide backbone. The spontaneous process of self-assembly is facilitated by the attachment of hydrophobic drugs to the hydrophilic structure of the gum chains (Figure 8). The polymer backbone is used as a shuttle to transport the drugs to the active site [65]. The bonds between the active molecules and the carrier gum must be hydrolysed or cleaved under specific conditions and the drug must be released in its original form [66]. A biodegradable linker can also be used to connect the two components [67,68].
Figure 8.
Mechanism of gum-based micro- and nanoparticle formations: Drug or hydrophobic agent/polymer conjugation with self-assembly, inspired by [56].
4.1.5. Self-Assembly
The self-assembly mechanism is observed in the case of amphiphilic molecules that adopt a spatial arrangement to minimise the contact between their hydrophobic parts and the surrounding hydrophilic environment. The hydrophilic part is located at the interface between the hydrophobic and polar phases (Figure 9). The driving force for aggregation is the hydrophobic effect, which minimises the interfacial energy between water molecules and hydrophobic domains [60]. The polymeric gums can be modified with hydrophobic moieties introduced into the structure to initiate molecular self-assembly [69]. Parameters such as particle diameter, zeta potential, or loading efficiency can be modulated by adjusting the polymer chain length and the size of the hydrophobic residues [56,60].
Figure 9.
Mechanism of gum-based micro- and nanoparticle formations: Self-assembly of amphoteric molecular compounds, inspired by [56].
4.2. Hydrogel Additives
4.2.1. Chelating Agents
Chelating agents are incorporated into the microgels to improve their functional performance. The chelating agent, ethylenediaminetetraacetic (EDTA), was used as a control agent for the formation of alginate beads under mild conditions [70]. The probiotic, Lactobacillus rhamnosus ATCC 53103, was encapsulated in a pH-responsive hydrogel based on an EDTA calcium alginate (EDTA-Ca-Alg) system. The pH-responsive system exploited the reversibility of the EDTA-calcium complexation reaction. The probiotics were protected in the acidic environment of the stomach but released in a neutral environment such as the small intestine due to the release of calcium ions by altering the pH [71,72].
4.2.2. Buffers
Small ions, such as protons and hydroxyl ions can easily penetrate biopolymer microgels and alter their internal pH. Buffers or antiacids with low solubility in water can be incorporated into the microgels to control the internal pH, such as CaCO3, Ca(OH)2, Ca3(PO4)2, MgCO3, Mg(OH)2, ZnCO3, Zn(OH)2, and Zn3(PO4)2 [73]. Mg(OH)2 particles have been incorporated into the formulation of alginate beads to improve viability under gastric conditions [74]. Dissolution of the antiacid under acidic conditions released hydroxyl ions. As a result, the pH inside the hydrogel remained neutral, increasing the resistance of the probiotic cells under unfavourable acidic conditions [73,74].
4.2.3. Hydrophobic Substances
The functional properties of biopolymer microgels can be modified by incorporating hydrophobic substances such as lipid droplets, vesicles, or non-polar protein particles. These substances can act as a physical barrier, preventing the diffusion of water-soluble substances into and out of the microgels. In addition, they can be used to solubilise hydrophobic substances or act as a source of probiotic nutrients. Probiotics have been encapsulated into hydrophobic/alginate beads. The results of the study proved that cocoa butter as an additive for alginate beads acts as a protective agent on L. rhamnosus in simulated gastrointestinal tract acidic conditions [71,75].
5. Mechanisms of Active Compound Release
Microcapsules are often semipermeable and approximately round systems that provide controlled release properties under specific physical, chemical, or mechanical conditions [76]. Smart polymer systems have been developed as solid packaging to encapsulate anti-inflammatory and antibiotics drugs, such as Diclophenac, Metronidazole, and Indomethacin, as a promising route for controlled release into the human body [77]. Swelling, diffusion, and a combination of both erosion and degradation have been identified as the main mechanisms governing drug release from particles such as chitosan nanoparticles for the controlled release of enzymes [4]. Figure 10 summarises the various phenomena that eventually lead to the release of active compounds.
Figure 10.
Mechanisms of the release of active substances, from polymer coatings, (A) initial encapsulation system, (B) fragmentation, (C) swelling, (D) diffusion, (E) degradation, and (F) dissolution, inspired by [4].
5.1. Fragmentation
The fragmentation release occurs when external conditions, such as mechanical pressure, shear, pH changes, or others, weaken the polymeric structure and separate it into several parts containing a ratio of active substances (Figure 10B) [77].
5.2. Diffusion and Swelling
In diffusion-controlled release, the active compounds permeate through the porous structure of entangled polymer chains forming a barrier that slows down the release rate [78]. The diffusion is characterised by a typical drug release profile, featuring an initial fast release, also called the burst effect [79]. Diffusion release is often induced by the swelling mechanism. In the swelling mechanism, the polymer network is progressively detangled by the interaction with solvent molecules such as water or other molecules from the surrounding aqueous medium [80]. The swelling rate depends on the physico-chemical properties of the wall material and its environment, such as temperature, ionic strength, and pH (Figure 10C,D).
5.3. Dissolution and Erosion (Degradation)
Dissolution and erosion are interrelated phenomena impacting the integrity of the polymer matrices (Figure 10E,F). Erosion is a multicausal phenomenon involving swelling, diffusion, and dissolution of the polymer chains. It can occur by two different mechanisms: heterogeneous and homogeneous erosion. Homogeneous erosion occurs at the same rate throughout the wall material, whereas heterogeneous erosion occurs from the surface to the inner core of the capsule [77]. Dissolution and erosion follow a zero-order mechanism, meaning that the drug release process is independent of the drug concentration and rather depends on the dissolution or degradation of the polymer chains over time [81,82]. A controlled drug delivery system for oral administration has been developed, designed to exhibit a delayed burst release profile. This system aims to release pentoxifylline, theophylline, and theobromine at a specific time through rapid erosion, which is finely adjusted by blending various carboxylic acids and polyvinyl alcohol [81].
5.4. Release under External Conditions Control
Based on the chemical structure of the polymer and the surrounding environmental conditions, particles can exhibit swelling and dissolution (Figure 10F). The smart behaviour of multi-responsive microgels mainly depends on pH and temperature (Figure 11).
Figure 11.
Plot of the hydrodynamic radius of poly (N-isopropylacrylamide-co-acrylic acid) polymer microgel according to the temperature at different pH values. Reproduced with permission from Farooqi et al., Arab. J. Chem.; published by Elsevier, 2017 [83].
Poly-N,n-isopropylacrylamide (PNIPAM) is one of the most prominent examples of stimuli-responsive microgels, which are thermosensitive particles. The copolymerisation of PNIPAM with acrylic acid was achieved to tailor the stimuli-responsive behaviour by adding a pH response. The radius of the spherical nanostructure changes due to deprotonation or protonation of the chemical functions of the repeating units (Figure 6) [83].
The release of active compounds is a complex process combining all of the above mechanisms. The stability of the capsule and the release of the drug are highly dependent on the surrounding parameters. In vitro tests can be performed to evaluate the stability of the system and the protective effect on the drug. Experimental tests were carried out to evaluate the stability of the microcapsules made from whey proteins and gellan gum encapsulating flaxseed oils and flaxseed hydrolysate proteins. In the absence of enzymes, the low pH did not alter the morphology and the monomodal size distribution of the microspheres. On the contrary, in the in vitro test, which simulates the conditions of intestinal digestion, a large number of uncoated oil-in-water emulsion droplets were observed in the system after only 15 min in the presence of the digestive enzymes. The addition of digestive enzymes destabilised the gelled layer and triggered the release of the emulsions containing flaxseed oil and flaxseed proteins [84].
6. Wall Materials: Natural Polymer Coatings
Polymers are macromolecules made up of multiple repeats of patterns containing one or more units called monomers. These large molecules can be divided into three categories according to their source: natural, synthetic, and semi-synthetic, and all of them can be used as wall material for a variety of active compounds [4]. Derived from plants, animal waste, or bacteria, biopolymers are popular as core materials because of their biocompatibility, biodegradability, natural origin, and non-toxicity. In particular, biopolymers are used as drug carriers or scaffolds for cell implantation in regenerative medicine. One of the drawbacks of the use of biopolymers is the variability in the chemical structure, such as the sequence and ratio of repeating units, according to the origin of extraction, so that the encapsulation performance can be affected by this variable character of the molecular structure. Biopolymers can be divided into two main categories: proteins and polysaccharides. Biopolymer blends are an effective formulation strategy to control and improve the stability of capsules, increase the amount of active substance loading in the polymer matrix, and accurately target its delivery destination.
The choice of wall material and encapsulation technique for microcapsules depends on the nature of the core materials, the use of the beads, and the processing conditions involved during the delivery process. In the food, pharmaceutical, cosmetic, biomedical, and agrochemical industries, microencapsulation with biopolymers is used to encapsulate different core materials such as enzymes, probiotic bacteria, oils, flavourings, and bioactive molecules. Beneficial microorganisms have also been encapsulated in natural coatings for the biological control of plant pathogens [4,11].
A combination of protein and polysaccharide was investigated as a wall material to improve the bioavailability and preserve the anti-inflammatory, antioxidant, and hypertensive properties of flaxseed oil and flaxseed proteins hydrolysate. The encapsulation of flaxseed oil and flaxseed protein hydrolysate, in a formulation of gellan gum and of whey protein isolate has been designed to pass through the small intestine and resist simulated gastric conditions. Beads between 50 µm to 55 µm were obtained by formulating of dense biopolymer network from the extrusion of the oil-in-water emulsions into a 0.56% calcium chloride bath [85].
6.1. Polysaccharides
Polysaccharides are a class of biopolymers. Their structure consists of a repetition of sugar units. Polysaccharide coatings form a barrier that limits the exchange between the core capsules and the environment [86]. Encapsulation with this type of biopolymers prevents the effect of oxygen on the active ingredients. In the case of essential oil encapsulation, the polysaccharides contain the oils, preventing the spread and the loss of the oily core material [50]. Due to their hydrophilicity, polysaccharides have the disadvantage of being permeable to moisture. The wide range of possible polysaccharides results in a wide range of encapsulation systems. Polysaccharides such as alginate or κ-carrageenan are polyelectrolytes; depending on the pH of the medium macromolecular compounds can globally adopt a negative charge due to carboxylate and sulphate groups attached to the macromolecular structure. In addition, the chemical structure of polysaccharides can be chemically or physically modified to offer new possibilities and optimise the encapsulation process.
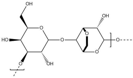
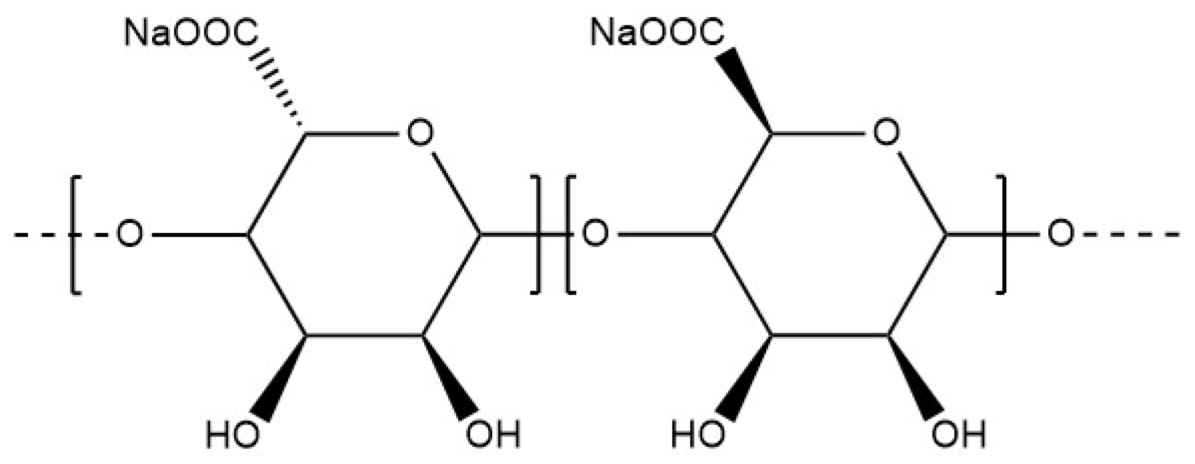
6.1.1. Alginates
Considered non-toxic and inexpensive, alginates are one of the most important biopolymers. They are obtained from three species of brown algae: Macrocystis pyrifera, Laminaria digitata, and Laminaria saccharina. This heteropolysaccharide consists of β-D-mannuronic acid and α-L-guluronic acid subunits (Figure 12). Its chemical and physical properties depend on the arrangement of these monomers, the ratio of each monomer, and the molecular weight [87,88].
Figure 12.
Molecular structure of sodium alginate.
Unlike sodium alginate, which is water soluble, alginate chains are substituted with divalent or multivalent counterions precipitate. The binding between the subunits of saccharide and the calcium ions results in the formation of the strong and stable three-dimensional polymer matrix, also known as a gel (Figure 13) [89].
Figure 13.
“Egg box” model for calcium alginate, Reproduced with permission from Finotelli et al., Polimeros; published by ABPol, 2017 [90].
Due to the carboxylate functions, the alginate polymer matrix undergoes morphological and chemical changes at different pH values. Above pKa 4.4, electrostatic repulsion leads to expansion of the matrix, in contrast to pHs below pKa 3.4, which promote shrinkage of the cross-linked network [91,92]. Pure alginate capsules are characterised by low mechanical properties, which can be improved by blending alginate with other biopolymers [87]. In the food industry, alginate microparticles have been used as carriers for probiotics of the genus Lactobacillus, including L. plantarum, L. acidophilus, and L. reuteri. The encapsulation process by extrusion not only protected the probiotics against unfavourable conditions in the digestive tract but also improved their viability and increased their survival rate [93].
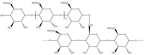
6.1.2. Pectins
Pectins (Figure 14) are characterised by a complex mixture of anionic water-soluble polysaccharides [94]. Pectins are extracted from the cell walls of fruits such as lemon peel and apple pomace. The main component of pectins is homogalacturonan; the ratio can reach 65% depending on the type of extraction. This linear polysaccharide is composed of d-galacturonic acid units [4].
Figure 14.
Molecular structure of pectin: homogalacturonan structure.
The carboxyl groups present in the sugar units can be partially methylesterified and partially or completely neutralised with a counter-positive ion [25]. Depending on the number of carboxyl groups esterified pectins are divided into two groups: high methoxyl pectins with a degree of esterification of more than 50%, and low methoxyl pectins with less than 50% of methylesterified carboxyl groups. The higher the degree of acetylation of pectins, the stiffer the pectin structure. The other polymer categories are rhamnogalacturonan-I and rhamnogalacturonan-II, both characterised by a much more complex chemical structure than homogalacturonan [95].
Pectin can be converted into hydrogels, forming a flexible polymer network. In an acidic environment (pH below 3) or with high concentrations of co-solutes, high methoxyl pectin gels via self-assembly due to interactions with methyl groups and hydrogen bonds. In contrast, low methoxyl pectins gel at pH 3 to 7 in the presence of positively charged species such as calcium ions, which interact with carboxylate groups. For encapsulation, pectin with a low degree of esterification is preferred due to its low molecular weight and the formation of a water-insoluble cross-linked polymer, calcium pectinate, in the presence of calcium ions [96,97].
Nevertheless, the swelling ability of pectin hydrogels and the associated larger pore size under physiological conditions could be a limitation for a certain number of lower molecular weight bioactive compounds. In addition, pectin capsules were ineffective in efficiently entrapping hydrophobic compounds due to their hydrophilic structures. However, pectin showed an ability to protect the active compounds when the microcapsules were exposed to the harsh in vivo conditions of the stomach and upper gastrointestinal tract. In addition, low methoxyl pectin exhibited high adherence to mucosal surfaces, due to the interaction of the carboxyl groups of the pectin with functional groups on the mucosal wall such as hydroxyl, amide, carboxyl, or sulphate groups. The mucoadhesiveness of pectin makes it interesting for the nasal treatment of localised diseases and for the specific delivery of drugs [98].
6.1.3. Starch: Amylose and Amylopectin
Mainly extracted from potatoes, maize, and wheat, starch is a biopolymer composed of two non-ionic polysaccharides: amylose and amylopectin [99]. It is an inexpensive and non-toxic alternative for encapsulating molecules or microorganisms such as bacteria, fatty acids, and active ingredients for pesticide, herbicide, and fungicide applications [11]. Amylose (Figure 15) is a natural polysaccharide composed of 20 to 20,000 α-D-glucose units [100,101]. Amylopectin is a branched polysaccharide composed of α-D-glucose units, consisting of approximately 2 million units with a backbone of branched short chains between 20 and 30 α-D-glucose units. The ratio is between 20 and 30% for amylose and 70–80% for amylopectin, the two ratios depend on the origin of the starch [100].
Figure 15.
Molecular structure of amylose.
Amylopectin (Figure 16) and amylose are able to withstand acid pH. Amylose is correlated with pasting and gel properties, whereas amylopectin is correlated with firmness. Insoluble in cold water, starch and amylopectin can be dispersed in water between 80 °C and 100 °C to form a gel or a viscous liquid by gelatinisation. At around 100 °C, the starch granules absorb water and swell, the polymer chains are mobile and dispersed in the water. Below 5%, a non-gelling starch mixture is obtained. Above 5%, starch, or amylopectin forms a hydrogel in water due to the proximity and interaction between the polymer chains [102].
Figure 16.
Molecular structure of amylopectin.
Starch can be modified to produce starch-based coatings because of the unfavourable chemical and physical properties of native starch, such as insolubility in cold water, and stability under different pH and temperature conditions [100,101]. Native starch granules are modified by various modification methods: chemical derivatisation (etherification, esterification, acetylation, oxidation …); an enzymatic method consisting of hydrolysis with amylase; or physical treatments such as superheating or dry heating, which shortens the chain length or modify the chemical properties of the polysaccharide chains [11,99,101]. Non-native starch macromolecules are used to improve properties and functionality such as solubility, texture, viscosity, thermal stability, water solubility, hydrophobicity, amphiphilicity, emulsifiability, digestive resistance, film-forming ability, thermal stability, and adsorption capacity [11].
A starch mixture was used for bead formation. The encapsulation of probiotics was achieved by combining starch with alginate, with the latter being sensitive to calcium ions. The beads containing alginate and starch showed a better encapsulation efficiency (77%) than pure alginate beads (64.4%) [103]. Encapsulation with pure starch is generally performed by spray drying due to the non-ionic nature of starch. During the process, the rapid drying step provides a solid shell around the core material to protect it. Starch should be functionalised or combined with another biopolymer that can more easily form a hydrogel [102].
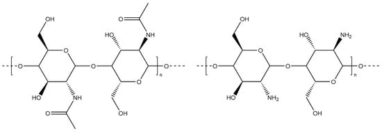
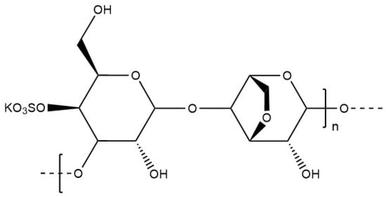
6.1.4. κ-Carrageenan
Carrageenans are classified into six types, κ-, ι-, λ-, μ-, ν-, and θ-carrageenans based on their structure. They are sulphated polygalactans with a proportion of ester sulphate groups between 15 and 40%. Carrageenans are extracted from red seaweed and have various beneficial effects due to the variability of their structure and their physico-chemical properties [104]. Κ-carrageenan is one of the most popular carrageenans. It is used as a gelling, stabilising, and thickening agent in the food and cosmetic industries, but also in the medical and pharmaceutical fields for drug delivery applications due to its high gelling ability [105].
Κ-carrageenan has a linear anionic structure formed by an alternation of 3,6-anhydro-galactose and d-galactose units (Figure 17) The physico-chemical properties are influenced by the number and the position of the ester sulphate groups on the polysaccharide chain. The content of 3,6-anhydro-galactose also influences the properties of the polymer [105]. Moderately soluble in water at room temperature, κ-carrageenan can be dissolved between 40 and 45 °C [106], up to 60 to 90 °C for high molecular chains [107]. The behaviour of κ-carrageenan is largely influenced by the nature of the surrounding ions in aqueous solution. Gelation can be induced by temperature change, from 40 °C to room temperature, in the presence of monovalent ions such as potassium to stabilise the network of κ-carrageenan chains and prevent swelling damage to the structure [106]. The temperature (between 50 and 100 °C) required to properly solubilise κ-carrageenan can lead to the death of certain bacteria during the preparation steps of the hydrogel. In addition, κ-carrageenan hydrogels have low structural stability under physiological conditions. Κ-carrageenan has been used for the encapsulation of enzymes [4], microorganisms such as bacteria, and active compounds such as tea polyphenol compounds via spray drying, emulsion, ionic gelation, and other methods. Κ-carrageenan encapsulation provided an efficient protective barrier for tea polyphenol compounds, improving bioavailability due to better compatibility with acidic environments than other biopolymers, such as alginate [108].
Figure 17.
Molecular structure of κ-carrageenan.
Encapsulation of Salmonella phage SL101 in alginate and κ-carrageenan microbeads by the extrusion method and ionic gelation process showed a protective effect, safe-guarding the phage from inactivation under low pH conditions while maintaining its release and lytic activity over time. Alginate microbeads provided limited phage protection in the gastric environment. The combination of alginate and carrageenan improved phage protection against acidic conditions. In general, the composite microcapsules significantly enhanced phage viability in the gastric environment, although different ratios of alginate and κ-carrageenan showed inconsistent protective efficacy (Figure 18) [109].

Figure 18.
Stability and release characteristics of release of phage encapsulated inside microcapsules by in vitro digestion, (A) pure ALG microcapsules. (B) AC microcapsules AC1–AC9 represent polysaccharide mixtures in different proportions. (AC1) 1%ALG and 0.15%CG, (AC2) 1.5%ALG and 0.15%CG, (AC3) 2%ALG and 0.15%CG, (AC4) 1%ALG and 0.3%CG, (AC5) 1.5%ALG and 0.3%CG, (AC6) 2%ALG and 0.3%CG, (AC7) 1%ALG and 0.45%CG, (AC8) 1.5%ALG and 0.45%CG, (AC9) 2%ALG, and 0.45%CG. Reproduced with permission from Zhou et al., Front. Microbiol.; published by Frontiers, 2022 [109].
6.1.5. Gellan Gum
Gellan gum is a linear heteropolysaccharide characterised by a pattern constituted of four sugar units: glucoronic acid, rhamnose, and two glucose units [110]. It is secreted by the bacterium Pseudomonas elodea during aerobic fermentation. Gellan gum is divided into two categories: high (Figure 19) and low (Figure 20) acyl gellan gum, the latter being also known as deacylated gellan gum and obtained by the alkaline or acid hydrolysis of gellan gum chains.
Figure 19.
Molecular structure of high acyl gellan.
Figure 20.
Molecular structure of low acyl gellan.
This biopolymer is a low-cost raw material, commonly used as a thickener, stabiliser, binder, or gelling agent in the food and cosmetic industries, for tissue engineering applications in the medicine field, and also in the pharmaceutical field for drug delivery applications [111]. The dissolution of gellan gum requires a temperature above 40 °C. The hydrogel formation of gellan gum can be induced by temperature variation. The gel setting temperature is between 30 °C and 40 °C. Multivalent ions promote gel formation and induce effective ionic cross-linking by shielding the electrostatic repulsion between the carboxylate moieties of the polymer chains. The process induces an intimate aggregation of the ordered anionic double helices, which transform into a three-dimensional hydrated network [112]. While native gellan gum can be used as a raw material for encapsulation applications, modifying the structure of gellan gum offers improved properties for encapsulation. The structure of the polysaccharide can be chemically or structurally modified. These changes to the molecular weight of the biopolymer can be achieved by alkaline or acid treatment of the polymer chains [111]. Gellan gum has been used as a polymer matrix for the micro- and nanoencapsulation of enzymes, bacteria, and among other bioactive compounds, thanks to the extrusion method combined with ionotropic gelation [110].
The biopolymer beads made from sodium alginate and gellan gum with the addition of the surfactant decyl glucoside were obtained using the ionotropic gelation process. The beads prepared from a mixture of gellan gum and sodium alginate exhibit better stability in solutions with pH values ranging from acidic to alkaline than the alginate beads (Figure 21). The beads retained their shape, integrity, and functionality even after 24 h of incubation [113].
Figure 21.
Percentage change in bead size (%) after 24 h of immersion in different pH solutions. Values are shown with the standard deviation. Adapted from [40].
6.1.6. Xanthan Gum
Xanthan gum (Figure 22) is a non-toxic polysaccharide secreted by the bacterium Xanthomas campestris via aerobic fermentation. Xanthan gum contains a repeating pentasaccharide pattern consisting of one glucoronic acid unit, two mannose units, and two glucose units. It is used as a thickener, rheological agent, emulsifier, and stabiliser [114]. It is known for its excellent pseudoplasticity properties, rheological properties, and relative stability under alkaline and acidic conditions [115]. Chemically modified xanthan gum has good antioxidant activity [116]. Low molecular weight or oligosaccharide xanthan gum exhibits good free radical scavenging activity.
Figure 22.
Molecular structure of xanthan gum.
The solubility of xanthan gum in cold water and its ionic properties provide mild conditions for the formulation step [116]. In addition, the high thermal stability of xanthan gum is usually superior to most other biopolymers. Xanthan is a promising encapsulation option, particularly when used in combination with other natural gums or biopolymers, to boost the retention capacity of active components within the polymer matrix. In the encapsulation of essential thyme oil through emulsion preparation, xanthan gum reduces diffusivity and improves stability, thereby enhancing encapsulation performance, unlike guar gum [117]. This water-soluble colloid provides an alternative wall material for micro- or nanoencapsulation of active ingredients such as acerola and ciriguela. Encapsulation can be carried out by spray drying. The micro- or nanobeads can also be stabilised by ionic cross-linking. The xanthan gum capsules showed an excellent protective effect on epithelial cells, preventing damage by hydrogen peroxide [116].
6.1.7. Gum Arabic
Gum arabic (Figure 23) is as an excellent polymer for encapsulating cells and bacteria due to its protective properties. Extracted from acacia trees, gum arabic is only produced in regions such as Sudan and Nigeria. Gum arabic has some disadvantages, such as high cost and limited supply. It is widely used as a stabiliser in the food, pharmaceutical, adhesive, printing, textile, and paint industries. This polymer is a complex mixture of glycoproteins and polysaccharide. The gum mixture consists of three carbohydrates: arabinogalactan (88%), glycoprotein (2%) and arabinogalactan protein complexes [118]. In its native form, the highly branched structure is composed of high molecular weight macromolecules [11,56]. Above pH 2.2, the structure of this water-soluble gum is negatively charged due to carboxyl moieties [119,120].
Figure 23.
Molecular structure of gum arabic.
This amphiphilic polymer can successfully act as an emulsifier and has good thermal stability. Gum arabic has been used as a stabiliser for oil-in-water emulsions [119]. The physicochemical properties, such as stability over a wide pH range and high oxidative stability, are of particular interest for the encapsulation of flavour compounds. The stabilisation of nano- and microbeads can be achieved by ionic cross-linking with calcium ions. A combination of gum arabic and alginate was used for the encapsulation of Enterococcus durans IW3. Bacteria viability was improved by the addition of gum arabic to the polymer matrix [121].
6.1.8. Guar Gum
Guar gum (Figure 24) is a non-ionic galactomannan [23], with the main backbone consisting of β-D-mannopyranosyl units, to which side chains of α-D-mannopyranosyl units are attached. It is extracted from the seeds of Cyamopsis tetrago, a leguminous plant. This gum is used as a stabiliser and a thickener in the pharmaceutical, food [122], paper, and explosives industries [56].
Figure 24.
Molecular structure of guar gum.
Temperature affects the degree of hydration and the dissolution of guar gum in water solution. This biocompatible and biodegradable polymer is strongly hydrophilic and forms shear-thinning systems upon hydration without heating [123]. The polysaccharide is stable over a wide range of pH between 1 and 1. Guar gum solutions undergo a viscosity change even at very low concentrations, due to the interaction of galactose chains with water molecules and polymer entanglements. The recommended concentration is less than 1% [122]. The addition of sugar to guar gum mixtures can be used to reduce the viscosity of the medium. The sugar molecules compete with the water molecules, delaying the hydration of the guar gum [124]. Micro- or nanoencapsulation with guar gum has already been carried out using spray drying, e.g., encapsulation of Rhibozium leguminasorum bv. Trifolii [125], and oil-in-water emulsion methods, e.g., encapsulation of astaxanthin via Pickering formulation stabilised with chitosan/guar gum nanoparticles of guar gum/chitosan nanoparticles [126]. One of the disadvantages of this non-ionic biopolymer is the use of additional cross-linkers to stabilise the polymer network, such as glutaraldehyde [56]. Guar gum has been used as the drug delivery matrix mainly because of its interaction with mucin, which makes it useful in the development of mucoadhesive formulations. Poly(lactic-co-glycolic acid) nanoparticles have been combined with mucoadhesive guar gum films for the delivery of anti-hypersensitive peptides [127].
6.1.9. Agarose
Extracted from the wall cells of the red algae Rhodophyta, agar–agar is composed of natural polysaccharides. The major neutral polysaccharide is agarose (Figure 25), with agarobiose as the repeating unit. Agar–agar is also composed of charged agaropectin [128]. Agaropectin is a polysulphated polysaccharide, and can also be substituted by methoxylate, pyruvate, and gluconate residues.
Figure 25.
Molecular structure of agarose.
The ability to gel at different temperatures makes it more valuable for formulation. Agarose is insoluble in cold water but dissolves easily in boiling water. On cooling, the gelation temperature of agarose gel is observed to be between 30 and 45 °C. The formation of the 3D network is promoted by hydrogen bonding. The porosity of the structure is regulated by the agarose concentration [129]. The encapsulation efficiency of poorly water soluble drugs is compromised by the difficulty of entrapping hydrophobic compounds into the polymer matrix [130]. Agarose nanoparticles have been prepared for the delivery of enzymes and proteins. Indeed, the ability to catalyse the oxidation of the substrate 2,2′-azinobis (3-ethylbenzthiazoline-6-sulphonate) in the presence of hydrogen peroxide by the enzyme horseradish peroxidase was enhanced after encapsulation of the enzyme in the agarose matrix. Encapsulation increases the affinity of the enzyme for its substrate. The higher the concentration of agarose, the higher the reaction rate. The rates were 3.1 µM·s−1 for 0.5% agarose, against 5.5 µM·s−1 for 2% agarose. The study showed that the higher the degree of entrapment, the higher the stability of the proteins. Protein stability was increased by the degree of entrapment due to the preservation of the enzymatic conformation and the shielding effect of the porous structure [131].
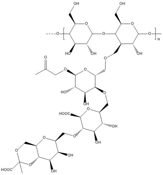
6.1.10. Dextrin: Maltodextrin and Cyclodextrin
Dextrins are polysaccharides used as additives in food processing. Dextrins are produced by hydrolysis of the starch chain. These biodegradable and biocompatible biopolymers are freely soluble in water and slightly soluble in anhydrous alcohol. Maltodextrins are classified according to their dextrose equivalent (DE). The DE ranges from 3 to 20. The higher the DE, the shorter the glucose chain. Based on their structure, dextrins can be divided into maltodextrins, which are characterised by short linear chains, and cyclodextrins, which are characterised by a circular structure (Figure 26). The advantages of using dextrins as encapsulants are their low cost and their ability to protect molecules such as flavourings from oxidising conditions. Hydrolysed starches have been reported to improve the shelf life of orange oil and carotene [132].
Figure 26.
Maltodextrin (left) and cyclodextrin (right) molecular structures.
Dextrins are often used in combination with other encapsulants, such as gums and starches. Maltodextrins have been used with whey proteins to encapsulate lime essential oil. Particles containing only maltodextrins form a denser and more oxygen-permeable wall system, which has been shown to improve the storage stability of betalain biological pigment [23,133].
The degree of polymerisation (DP) of maltodextrin chains affected the entire encapsulation process, from encapsulation efficiency to the release and protection of the encapsulated lime essential oil, including the morphology of the beads (Figure 27). The microencapsulation of essential oils affects the stability during storage, the controlled release, and the degradation of the encapsulated bioactive compounds. The microcapsules made from whey proteins and high DP maltodextrins showed a better protective performance. The low DP maltodextrins tend to form a more porous polymer structure due to their molecular structure. The pores facilitate the diffusion of moisture and oxygen into the microparticles, accelerating the degradation reactions of bioactive compounds [134].
Figure 27.
Morphology of lime essential oil microparticles: Encapsulation by spray drying method of lime essential oils in whey protein concentrate, whey protein blended/maltodextrin DE5 (WM5), whey protein blended/maltodextrin DE10 (WM10), and whey protein blended/maltodextrin DE10 (WM20). Reproduced with permission from Campello et al., Food Res. Int.; published by Elsevier, 2018 [134].
The most common types of cyclodextrins are α-, β- and γ-cyclodextrin, respectively composed of 6, 7, and 8 dextrin units [23]. Cyclodextrins have high stability under alkaline conditions and, due to their cylindrical structure, can be used as a polymer matrix for encapsulating active ingredients. Cyclodextrins are characterised by their hydrophilic circular truncated cone shape. When combined with a molecule, cyclodextrins can easily form a host-guest supramolecular complex [135]. This cone shape has a hydrophobic hollow conical cavity with a depth of 7.9 Å [136]. The cavity is suitable for the incorporation of hydrophobic guest molecules, depending on the size of the core part. The main drawbacks are the cost and sensitivity to acid hydrolysis at low pH.
Curcumin is a natural polyphenolic compound known for its interesting properties such as antioxidant, anti-inflammatory, antibacterial antiviral, anticancer, antidiabetic, and neuroprotective properties. Curcumin has been encapsulated in β-cyclodextrin to improve absorption of the active compound through the intestinal tract and to avoid rapid metabolism by the liver. The incorporation of curcumin compounds was performed using the solvent evaporation method due to its simplicity. This method provided a light-yellow, fluffy powder with excellent aqueous solubility. After the incorporation of curcumin, the complex was encapsulated in chitosan to ensure the transport to human skin cancer cells, which showed higher cytotoxicity [135].
6.1.11. Locust Bean Gum
Locust bean gum (Figure 28) is a galactomannan extracted from the seeds of the locust bean tree with a non-ionic chemical structure similar to guar gum. This polysaccharide is used as a texturising agent in the food industry. Its solubility and rheological properties are mainly determined by the molecular conformation of the chains [137]. Locust bean gum has been co-formulated with κ-carrageenan to fabricate hard gel capsules [138].
Figure 28.
Molecular structure of locust bean gum.
Locust bean gum readily forms gels when combined with other hydrocolloids. Drug delivery systems using locust bean gum have shown promising results for non-toxic oral administration in the treatment of colorectal cancer. For example, a combination of sodium alginate and locust bean gum was used to create an interpenetrating polymeric network for the delivery of the anticancer drug Capecitabine via the ionotropic gelation method. This approach resulted in prolonged drug release (Figure 29) and improved bioavailability of the drug due to its encapsulation within the hydrogel structure [7].
Figure 29.
Characterisation of the controlled release of Capecitabine in vitro, plasma drug concentration versus time profile of the Capecitabine encapsulated in locust bean gum/alginate microbeads, vertical bars represent mean ± S.D. (standard deviation), the total number of values is 6. Reproduced with permission from Upadhyay et al. Mater. Sci. Eng. C; published by Elsevier, 2019 [7].
6.1.12. Chitosan
Chitosan, constituted of D-glucosamine and N-acetyl-D-glucosamine units linked by β-(1 → 4) glycosidic bonds [6], is a linear polysaccharide derived from the deacetylation of chitin via alkaline hydrolysis [139] or enzymatic treatment (Figure 30). Chitin deacetylase, a secreted enzyme, catalyses the hydrolysis of acetamido groups in chitin, forming the polycationic polymer chitosan [140]. Innovative deacetylation methods using deep eutectic solvents composed of glycerol, potassium carbonate, and choline acetic acid have been demonstrated as promising and environmentally friendly conditions [141]. The molecular weight, the degree of deacetylation (reflecting the content of acetylated and free-amino groups in chitosan), and the polydispersity of polymer chains significantly influence its physical, biological, and chemical properties, including viscosity and solubility [139,142]. Chitosan is soluble in neutral and acidic media; however, effective dissolution requires pH adjustment. The efficiency of chitosan dissolution using hydrochloric and acetic acids has been evaluated [143]. Chitosan’s chemical characteristics, particularly its positively charged functional groups, impart anti-inflammatory, antibacterial, and hemostatic properties. Its antibacterial efficacy increases with higher molecular weight and degree of acetylation, significantly reducing populations of bacteria such as Escherichia coli [144,145].
Figure 30.
Molecular structure of chitin and chitosan.
In drug delivery applications, chitosan has been used as a wall material. Chitosan-alginate nanoparticles have been developed for the stable encapsulation of vitamin B2 for oral administration, demonstrating potential as an encapsulating system in food matrices [146]. This system shows stability for approximately five months due to ionic cross-linking, Van der Waals forces, and hydrogen bonding between the biopolymers and vitamin B2. In acidic conditions (pH below the pKa of chitosan around 6.5 and above the pKa of alginate around 4), chitosan forms an ionic cross-linked network with negatively charged polymers, inducing gel formation [146,147].
Chitosan is also used in drug delivery systems targeting mucosal surfaces due to its positive charge surface. In the development of medical devices for localised vaginal therapy, chitosan-coated liposomes exhibit superior binding efficiency with porcine mucin (around 75%) compared to plain liposomes (around 50%) [148].
6.2. Proteins
Proteins serve as coating materials for the encapsulation of active ingredients due to their unique functional properties that facilitate gel formation. Made up of amino acids arranged in repeating units, proteins act as polyelectrolytes, with the overall charge of their chains determined by their isoelectric point. This is the specific pH at which proteins carry a neutral charge. Therefore, by adjusting the pH of the surrounding medium, the total charge of the proteins can be changed. The isoelectric point is a critical parameter for optimising formulation and microbead formation when working with proteins. They can also be mixed with polysaccharides to create complex encapsulation systems [85,107].
6.2.1. Gelatin
Gelatin (Figure 31) is a protein of animal origin obtained from the chemical degradation of collagen by partial hydrolysis. This inexpensive and natural raw material is extracted from the skin of cold fish, but also from bovine bones, hides, and pig skins [149].
Figure 31.
Molecular structure of gelatin.
With a high molecular weight ranging from 65,000 g·mol−1 to 300,000 g·mol−1, its structure is characterised by 18 different types of amino acids, of which glycine, proline, and hydroxyproline are the most abundant. Used as texturiser and gelling agent, gelatin forms a high-viscosity solution in water at 40 °C, which gels on cooling [107]. The structure of gelatin can be modified enzymatically and chemically to optimise hydrogel formation and alter the final properties of the gel. The strength of the hydrogel network can also be tailored by the use of cross-linking agents such as glutaraldehyde. Gelatin is often chosen as a carrier material due to its elastic and robust properties. In addition, its amphoteric nature gives it the potential ability to interact with anionic polysaccharides such as gellan gum [107]. Due to its positive charge below its isoelectric point, which is typically around pH 5, gelatin is often paired with gum arabic. This combination is favoured by their opposite charges at low pH levels. When exposed to electrostatic interaction and low temperatures, they undergo a process that triggers the formation of insoluble particles. It is also a suitable polymer for the encapsulation of hydrophilic and hydrophobic substances, such as vegetable oils or oil-soluble dyes [23]. For example, the encapsulation of the hydrophobic lycopene colorant can be achieved through spray drying using a wall system composed of gelatin and sucrose [150]. Microencapsulation with sodium alginate and gelatin has been used to shield and improve the thermal stability of paraffin [151].
6.2.2. Milk Proteins: Whey Protein and Casein
Milk proteins, consisting of whey proteins and casein (Figure 32) with a ratio of 20% and 80%, respectively in cow’s milk [152], are cost-effective biopolymers with many functional and structural properties. These proteins are low-cost biopolymers with many functional and structural properties. With an isoelectric point of around 4.5, these pH-sensitive compounds are highly suitable as key components in the formulation of “vehicles” designed to deliver various bioactive compounds [23,153,154].
Figure 32.
Molecular structure of casein.
Whey proteins are mainly composed of β-lactoglobulin, a small globular protein. Acting as a natural protective barrier, they are used in various functional food products, acting as emulsifiers, gelling agents, foam stabilisers, water binders, and film formers [85]. A study on the encapsulation of curcumin highlights the improved solubility and bioavailability of curcumin when microencapsulated with whey proteins using the spray drying technique [155]. Whey proteins have also been co-formulated to improve microencapsulation properties. They have been combined with alginate to produce uniform microcapsules with improved gastrointestinal resistance. By exploiting the interaction between whey protein and alginate within a pH range of 2 to 4, capsules with small pores have been designed to encapsulate L. acidophilus, providing protection for the bacteria [85].
Caseins are characterised as proline-rich, open-structured proteins with distinct hydrophobic and hydrophilic domains. Due to their structure, caseins have a natural tendency to self-assemble into spherical structures called micelles, which typically range in diameter from 50 to 500 nm [156]. Due to their amphiphilic nature, caseins can encapsulate hydrophobic compounds in a polar solvent, forming direct micelles, and hydrophilic compounds in a non-polar solvent, forming reverse micelles [157]. Caseins are particularly advantageous for encapsulating hydrophobic compounds due to the hydrophobic core of casein micelles. However, controlling the dissociation and association mechanisms of the micellar structure is a challenge in this encapsulation method. Studies have investigated the stability of micelles and identified disruption of calcium bridges and hydrophobic interactions as causes of micellar dissociation. Factors such as temperature, pH, salt concentration, presence of organic solvents, and chelating agents can significantly affect the functional stability of casein micelles [158].
6.2.3. Soy and Pea Proteins: Legume-Based Proteins
Soy and pea proteins are the main legume proteins used for encapsulation and are particularly valued for their nutritional properties in the context of encapsulation for the food industry. The advantages of food proteins lie in their chemical and structural versatility [159]. These proteins provide a cost-effective alternative for shielding and ensuring the delivery of bioactive compounds and are used to encapsulate both hydrophilic and hydrophobic bioactive compounds [160]. Encapsulation with legume-based proteins can be carried out by spray drying [161], coacervation [162], and extrusion methods [1].
However, sensitivity to pH, light and thermal treatments, and hydrophobicity or low water solubility may limit their use [159]. Pea proteins are obtained from yellow peas, while soy proteins are obtained from soy beans. Above the isoelectric point pH of about 4.5, the soy isolate carries a negative charge. In a study highlighting the ability of proteins to bind and form complexes with blueberry polyphenols, pea proteins showed the highest encapsulation efficiency by spray drying (Figure 33) and were found to be the most effective in stabilising phytochemicals extracted from wild blueberry pomace compared to wheat, chickpea, and coconut flour [163].
Figure 33.
Total phenolic content of blueberry polyphenol-protein matrices, the scavenging capacity of different combinations of blueberry polyphenol-protein matrices obtained by different entrapment methods: Freeze drying, oven drying, and spray drying (total phenolic content (TPC) calculated as mg gallic acid equivalent). Bars with different letters (a,b,c) are significantly different by Tukey’s test (2-way ANOVA) test, p < 0.01. Reproduced with permission from Correia et al. Food Chem.; published by Elsevier, 2017 [163].
7. Conclusions
This review provides an overview of research on encapsulation in organic polymers. The theoretical background presented helps to understand the polymer behaviour throughout the encapsulation process. Various biopolymers are presented along with their physicochemical properties to highlight their advantages and drawbacks as coating materials. Common and cost-effective encapsulation techniques such as extrusion, spray-drying, and coacervation are discussed.
The aim of this review is to stimulate the exploration of new alternatives based on existing research. There is a clear need for continued research into encapsulation to better meet economic, environmental, and technical requirements. Encapsulation is a promising technology that provides both protection and precise control over the release of active ingredients. Its application spans a wide range of fields, encouraging innovation and the development of new bioprotective tools, for example.
Funding
This research received no external funding.
Institutional Review Board Statement
Not applicable.
Informed Consent Statement
Not applicable.
Data Availability Statement
No new data were created in the framework of this review.
Conflicts of Interest
The authors declare no conflicts of interest.
References
- Dewan, F.; Haque, M.A. Application of legume-based materials in encapsulation technology: A review. Legum. Sci. 2023, 5, e188. [Google Scholar] [CrossRef]
- Sridhar, K.; Bouhallab, S.; Croguennec, T.; Renard, D.; Lechevalier, V. Application of high-pressure and ultrasound technologies for legume proteins as wall material in microencapsulation: New insights and advances. Trends Food Sci. Technol. 2022, 127, 49–62. [Google Scholar] [CrossRef]
- Anandharamakrishnan, C.; Dutta, S.; Moses, J.A. Chapter 1—Introductory overview on liposomes. In Liposomal Encapsulation in Food Science and Technology; Anandharamakrishnan, C., Dutta, S., Eds.; Academic Press: Cambridge, MA, USA, 2023; pp. 1–14. [Google Scholar] [CrossRef]
- Pereira, A.d.S.; Souza, C.P.L.; Moraes, L.; Fontes-Sant’Ana, G.C.; Amaral, P.F.F. Polymers as Encapsulating Agents and Delivery Vehicles of Enzymes. Polymers 2021, 13, 4061. [Google Scholar] [CrossRef]
- Bobone, S.; Miele, E.; Cerroni, B.; Roversi, D.; Bocedi, A.; Nicolai, E.; Di Venere, A.; Placidi, E.; Ricci, G.; Rosato, N.; et al. Liposome-Templated Hydrogel Nanoparticles as Vehicles for Enzyme-Based Therapies. Langmuir 2015, 31, 7572–7580. [Google Scholar] [CrossRef]
- Hahn, T.; Tafi, E.; Paul, A.; Salvia, R.; Falabella, P.; Zibek, S. Current state of chitin purification and chitosan production from insects. J. Chem. Technol. Biotechnol. 2020, 95, 2775–2795. [Google Scholar] [CrossRef]
- Upadhyay, M.; Adena, S.K.R.; Vardhan, H.; Yadav, S.K.; Mishra, B. Locust bean gum and sodium alginate based interpenetrating polymeric network microbeads encapsulating Capecitabine: Improved pharmacokinetics, cytotoxicity &in vivo antitumor activity. Mater. Sci. Eng. C Mater. Biol. Appl. 2019, 104, 109958. [Google Scholar] [CrossRef]
- D’Arrigo, G.; Navarro, G.; Di Meo, C.; Matricardi, P.; Torchilin, V. Gellan gum nanohydrogel containing anti-inflammatory and anti-cancer drugs: A multi-drug delivery system for a combination therapy in cancer treatment. Eur. J. Pharm. Biopharm. 2014, 87, 208–216. [Google Scholar] [CrossRef]
- Alange, V.V.; Birajdar, R.P.; Kulkarni, R.V. Functionally modified polyacrylamide-graft-gum karaya pH-sensitive spray dried microspheres for colon targeting of an anti-cancer drug. Int. J. Biol. Macromol. 2017, 102, 829–839. [Google Scholar] [CrossRef]
- Stenberg, J.A.; Sundh, I.; Becher, P.G.; Björkman, C.; Dubey, M.; Egan, P.A.; Friberg, H.; Gil, J.F.; Jensen, D.F.; Jonsson, M.; et al. When is it biological control? A framework of definitions, mechanisms, and classifications. J. Pest. Sci. 2021, 94, 665–676. [Google Scholar] [CrossRef]
- Saberi-Riseh, R.; Moradi-Pour, M.; Mohammadinejad, R.; Thakur, V.K. Biopolymers for Biological Control of Plant Pathogens: Advances in Microencapsulation of Beneficial Microorganisms. Polymers 2021, 13, 1938. [Google Scholar] [CrossRef]
- Mojde, M.P.; Roohallah, S.R.; Reza, M.; Ahmad, H. Biological Control of Phytophthora Drechsleri the Causal Agent of Pistachio Gummosis by Bacillus Subtilis (VRU1 Strain) in Green House Condition. Pist. Health J. 2019, 2, 53–61. [Google Scholar] [CrossRef]
- Dedrick, R.M.; Guerrero-Bustamante, C.A.; Garlena, R.A.; Russell, D.A.; Ford, K.; Harris, K.; Gilmour, K.C.; Soothill, J.; Jacobs-Sera, D.; Schooley, R.T.; et al. Engineered bacteriophages for treatment of a patient with a disseminated drug-resistant Mycobacterium abscessus. Nat. Med. 2019, 25, 730–733. [Google Scholar] [CrossRef]
- Pertot, I.; Giovannini, O.; Benanchi, M.; Caffi, T.; Rossi, V.; Mugnai, L. Combining biocontrol agents with different mechanisms of action in a strategy to control Botrytis cinerea on grapevine. Crop Prot. 2017, 97, 85–93. [Google Scholar] [CrossRef]
- Ingabire, C.M.; Hakizimana, E.; Rulisa, A.; Kateera, F.; Borne, B.V.D.; Muvunyi, C.M.; Mutesa, L.; Van Vugt, M.; Koenraadt, C.J.M.; Takken, W.; et al. Community-based biological control of malaria mosquitoes using Bacillus thuringiensis var. israelensis (Bti) in Rwanda: Community awareness, acceptance and participation. Malar. J. 2017, 16, 399. [Google Scholar] [CrossRef]
- Isman, M.B. Botanical insecticides, deterrents, and repellents in modern agriculture and an increasingly regulated world. Annu. Rev. Entomol. 2006, 51, 45–66. [Google Scholar] [CrossRef]
- Thakur, M.; Sohal, B.S. Role of Elicitors in Inducing Resistance in Plants against Pathogen Infection: A Review. ISRN Biochem. 2013, 2013, 762412. [Google Scholar] [CrossRef]
- Van Delm, T.; Van Beneden, S.; Mommaerts, V.; Melis, P.; Stoffels, K.; Wäckers, F.; Baets, W. Control of Botrytis cinerea in strawberries with Gliocladium catenulatum vectored by bumblebees. J. Berry Res. 2015, 5, 23–28. [Google Scholar] [CrossRef]
- Bashan, Y. Inoculants of plant growth-promoting bacteria for use in agriculture. Biotechnol. Adv. 1998, 16, 729–770. [Google Scholar] [CrossRef]
- Bakry, A.; Abbas, S.; Ali, B.; Majeed, H.; Abouelwafa, M.Y.; Mousa, A.; Liang, L. Microencapsulation of Oils: A Comprehensive Review of Benefits, Techniques, and Applications. Compr. Rev. Food Sci. Food Saf. 2015, 15, 143–182. [Google Scholar] [CrossRef]
- Karaca, A.C.; Nickerson, M.; Low, N.H. Microcapsule production employing chickpea or lentil protein isolates and maltodextrin: Physicochemical properties and oxidative protection of encapsulated flaxseed oil. Food Chem. 2013, 139, 448–457. [Google Scholar] [CrossRef] [PubMed]
- Karaca, A.C.; Low, N.; Nickerson, M. Encapsulation of Flaxseed Oil Using a Benchtop Spray Dryer for Legume Protein–Maltodextrin Microcapsule Preparation. J. Agric. Food Chem. 2013, 61, 5148–5155. [Google Scholar] [CrossRef] [PubMed]
- De Boer, F.Y.; Imhof, A.; Velikov, K.P. Encapsulation of colorants by natural polymers for food applications. Color. Technol. 2019, 135, 183–194. [Google Scholar] [CrossRef]
- Zabka, M.; Pavela, R.; Slezakova, L. Antifungal effect of Pimenta dioica essential oil against dangerous pathogenic and toxinogenic fungi. Ind. Crops Prod. 2009, 30, 250–253. [Google Scholar] [CrossRef]
- Shen, Q.; Quek, S.Y. Microencapsulation of astaxanthin with blends of milk protein and fiber by spray drying. J. Food Eng. 2014, 123, 165–171. [Google Scholar] [CrossRef]
- Dubey, R. Microencapsulation Technology and Applications. Def. Sci. J. 2009, 59, 82. [Google Scholar] [CrossRef]
- Pudziuvelyte, L.; Marksa, M.; Sosnowska, K.; Winnicka, K.; Morkuniene, R.; Bernatoniene, J. Freeze-Drying Technique for Microencapsulation of Elsholtzia ciliata Ethanolic Extract Using Different Coating Materials. Molecules 2020, 25, 2237. [Google Scholar] [CrossRef] [PubMed]
- Matos-Jr, F.E.; Di Sabatino, M.; Passerini, N.; Favaro-Trindade, C.S.; Albertini, B. Development and characterization of solid lipid microparticles loaded with ascorbic acid and produced by spray congealing. Food Res. Int. 2015, 67, 52–59. [Google Scholar] [CrossRef]
- Mazzocato, M.C.; Thomazini, M.; Favaro-Trindade, C.S. Improving stability of vitamin B12 (Cyanocobalamin) using microencapsulation by spray chilling technique. Food Res. Int. 2019, 126, 108663. [Google Scholar] [CrossRef] [PubMed]
- Camerlo, A.; Vebert-Nardin, C.; Rossi, R.M.; Popa, A.-M. Fragrance encapsulation in polymeric matrices by emulsion electrospinning. Eur. Polym. J. 2013, 49, 3806–3813. [Google Scholar] [CrossRef]
- Bakola, V.; Tsiapla, A.; Karagkiozaki, V.; Pappa, F.; Pavlidou, E.; Moutsios, I.; Gravalidis, C.; Logothetidis, S. Electrospray Encapsulation of Antithrombotic Drug into Poly (L-lactic acid) Nanoparticles for Cardiovascular Applications. Mater. Today Proc. 2019, 19, 102–109. [Google Scholar] [CrossRef]
- Reineccius, G.; Patil, S.; Anantharamkrishnan, V. Encapsulation of Orange Oil Using Fluidized Bed Granulation. Molecules 2022, 27, 1854. [Google Scholar] [CrossRef] [PubMed]
- Yue, B.; Yang, J.; Wang, Y.; Huang, C.-Y.; Dave, R.; Pfeffer, R. Particle encapsulation with polymers via in situ polymerization in supercritical CO2. Powder Technol. 2004, 146, 32–45. [Google Scholar] [CrossRef]
- Kamble, V.; Sawant, M.; Mahanwar, P. Microencapsulation of Cypermethrin Via Interfacial Polymerization for Controlled Release Application. Mater. Today Proc. 2018, 5, 22621–22629. [Google Scholar] [CrossRef]
- Duncanson, W.J.; Lin, T.; Abate, A.R.; Seiffert, S.; Shah, R.K.; Weitz, D.A. Microfluidic Synthesis of Advanced Microparticles for Encapsulation and Controlled Release. Lab Chip 2012, 12, 2135–2145. Available online: https://pubs.rsc.org/en/content/articlelanding/2012/lc/c2lc21164e (accessed on 29 May 2024).
- Lu, W.; Kelly, A.L.; Miao, S. Emulsion-based encapsulation and delivery systems for polyphenols. Trends Food Sci. Technol. 2016, 47, 1–9. [Google Scholar] [CrossRef]
- Nazar, M.F.; Saleem, M.A.; Bajwa, S.N.; Yameen, B.; Ashfaq, M.; Zafar, M.N.; Zubair, M. Encapsulation of Antibiotic Levofloxacin in Biocompatible Microemulsion Formulation: Insights from Microstructure Analysis. J. Phys. Chem. B 2017, 121, 437–443. [Google Scholar] [CrossRef] [PubMed]
- Bao, W.; Zhou, J.; Luo, J.; Wu, D. PLGA microspheres with high drug loading and high encapsulation efficiency prepared by a novel solvent evaporation technique. J. Microencapsul. 2006, 23, 471–479. [Google Scholar] [CrossRef]
- Anselmo, A.C.; McHugh, K.J.; Webster, J.; Langer, R.; Jaklenec, A. Layer-by-Layer Encapsulation of Probiotics for Delivery to the Microbiome. Adv. Mater. 2016, 28, 9486–9490. Available online: https://www.ncbi.nlm.nih.gov/pmc/articles/PMC5287492/ (accessed on 29 May 2024).
- Gharsallaoui, A.; Roudaut, G.; Chambin, O.; Voilley, A.; Saurel, R. Applications of spray-drying in microencapsulation of food ingredients: An overview. Food Res. Int. 2007, 40, 1107–1121. [Google Scholar] [CrossRef]
- Estevinho, B.; Damas, A.; Martins, P.; Rocha, F. Study of the inhibition effect on the microencapsulated enzyme β-Galactosidase. Env. Eng. Manag. J. 2012, 11, 1923–1930. [Google Scholar] [CrossRef]
- Osman, R.; Al Jamal, K.T.; Kan, P.-L.; Awad, G.; Mortada, N.; El-Shamy, A.-E.; Alpar, O. Inhalable DNase I microparticles engineered with biologically active excipients. Pulm. Pharmacol. Ther. 2013, 26, 700–709. [Google Scholar] [CrossRef]
- Arpagaus, C.; Collenberg, A.; Rütti, D.; Assadpour, E.; Jafari, S.M. Nano spray drying for encapsulation of pharmaceuticals. Int. J. Pharm. 2018, 546, 194–214. [Google Scholar] [CrossRef]
- Cal, K.; Sollohub, K. Spray Drying Technique. I: Hardware and Process Parameters. J. Pharm. Sci. 2010, 99, 575–586. [Google Scholar] [CrossRef] [PubMed]
- Samborska, K.; Witrowa-Rajchert, D.; Gonçalves, A. Spray-Drying of α-Amylase—The Effect of Process Variables on the Enzyme Inactivation. Dry. Technol. 2005, 23, 941–953. [Google Scholar] [CrossRef]
- Sajilata, M.G.; Singhal, R.S.; Kulkarni, P.R. Resistant Starch—A Review. Compr. Rev. Food Sci. Food Saf. 2006, 5, 1–17. [Google Scholar] [CrossRef] [PubMed]
- Krisanti, E.A.; Naziha, G.M.; Amany, N.S.; Mulia, K.; Handayani, N.A. Effect of biopolymers composition on release profile of iron(II) fumarate from chitosan-alginate microparticles. IOP Conf. Ser. Mater. Sci. Eng. 2019, 509, 012100. [Google Scholar] [CrossRef]
- Ping, M.K.X.; Zhi, H.W.; Aziz, N.S.; Hadri, N.A.; Ghazalli, N.F.; Yusop, N. Optimization of agarose–alginate hydrogel bead components for encapsulation and transportation of stem cells. J. Taibah Univ. Med. Sci. 2022, 18, 104–116. [Google Scholar] [CrossRef]
- Devi, N.; Sarmah, M.; Khatun, B.; Maji, T.K. Encapsulation of active ingredients in polysaccharide–protein complex coacervates. Adv. Colloid Interface Sci. 2017, 239, 136–145. [Google Scholar] [CrossRef] [PubMed]
- Napiórkowska, A.; Kurek, M. Coacervation as a Novel Method of Microencapsulation of Essential Oils—A Review. Molecules 2022, 27, 5142. [Google Scholar] [CrossRef] [PubMed]
- Black, K.A.; Priftis, D.; Perry, S.L.; Yip, J.; Byun, W.Y.; Tirrell, M. Protein Encapsulation via Polypeptide Complex Coacervation. ACS Macro Lett. 2014, 3, 1088–1091. [Google Scholar] [CrossRef]
- Martins, I.M.; Rodrigues, S.N.; Barreiro, F.; Rodrigues, A.E. Microencapsulation of thyme oil by coacervation. J. Microencapsul. 2009, 26, 667–675. [Google Scholar] [CrossRef]
- Il’ina, A.V.; Varlamov, V.P. Chitosan-based polyelectrolyte complexes: A review. Appl. Biochem. Microbiol. 2005, 41, 5–11. [Google Scholar] [CrossRef]
- Yang, X.; Gao, N.; Hu, L.; Li, J.; Sun, Y. Development and evaluation of novel microcapsules containing poppy-seed oil using complex coacervation. J. Food Eng. 2015, 161, 87–93. [Google Scholar] [CrossRef]
- Wang, J.; Song, T.; Chen, H.; Ming, W.; Cheng, Z.; Liu, J.; Liang, B.; Wang, Y.; Wang, G. Bioinspired High-Strength Montmorillonite-Alginate Hybrid Film: The Effect of Different Divalent Metal Cation Crosslinking. Polymers 2022, 14, 2433. [Google Scholar] [CrossRef] [PubMed]
- Froelich, A.; Jakubowska, E.; Jadach, B.; Gadziński, P.; Osmałek, T. Natural Gums in Drug-Loaded Micro- and Nanogels. Pharmaceutics 2023, 15, 759. [Google Scholar] [CrossRef] [PubMed]
- Fang, Y.; Al-Assaf, S.; Phillips, G.O.; Nishinari, K.; Funami, T.; Williams, P.A.; Li, L. Multiple Steps and Critical Behaviors of the Binding of Calcium to Alginate. J. Phys. Chem. B 2007, 111, 2456–2462. [Google Scholar] [CrossRef] [PubMed]
- Borgogna, M.; Skjåk-Bræk, G.; Paoletti, S.; Donati, I. On the Initial Binding of Alginate by Calcium Ions. The Tilted Egg-Box Hypothesis. J. Phys. Chem. B 2013, 117, 7277–7282. [Google Scholar] [CrossRef] [PubMed]
- Ferris, C.J.; Gilmore, K.J.; Wallace, G.G.; Panhuis, M.I.H. Modified gellan gum hydrogels for tissue engineering applications. Soft Matter 2013, 9, 3705–3711. [Google Scholar] [CrossRef]
- Mizrahy, S.; Peer, D. Polysaccharides as building blocks for nanotherapeutics. Chem. Soc. Rev. 2012, 41, 2623–2640. [Google Scholar] [CrossRef] [PubMed]
- Berger, J.; Reist, M.; Mayer, J.M.; Felt, O.; Peppas, N.A.; Gurny, R. Structure and interactions in covalently and ionically crosslinked chitosan hydrogels for biomedical applications. Eur. J. Pharm. Biopharm. 2004, 57, 19–34. [Google Scholar] [CrossRef]
- Lin, J.; Wang, Z.; Meng, H.; Guo, X. Genipin crosslinked gum arabic: Synthesis, characterization, and emulsification properties. Carbohydr. Polym. 2021, 261, 117880. [Google Scholar] [CrossRef]
- Dudeja, I.; Mankoo, R.K.; Singh, A.; Kaur, J. Citric acid: An ecofriendly cross-linker for the production of functional biopolymeric materials. Sustain. Chem. Pharm. 2023, 36, 101307. [Google Scholar] [CrossRef]
- Bezerra, J.M.N.A.; Oliveira, A.C.J.; Silva-Filho, E.C.; Severino, P.; Souto, S.B.; Souto, E.B.; Soares, M.F.L.R.; Soares-Sobrinho, J.L. The Potential Role of Polyelectrolyte Complex Nanoparticles Based on Cashew Gum, Tripolyphosphate and Chitosan for the Loading of Insulin. Diabetology 2021, 2, 107–116. [Google Scholar] [CrossRef]
- Ekladious, I.; Colson, Y.L.; Grinstaff, M.W. Polymer–drug conjugate therapeutics: Advances, insights and prospects. Nat. Rev. Drug Discov. 2019, 18, 273–294. [Google Scholar] [CrossRef]
- D’Arrigo, G.; Di Meo, C.; Gaucci, E.; Chichiarelli, S.; Coviello, T.; Capitani, D.; Alhaique, F.; Matricardi, P. Self-assembled gellan-based nanohydrogels as a tool for prednisolone delivery. Soft Matter 2012, 8, 11557–11564. [Google Scholar] [CrossRef]
- Wang, Y.; Wang, X.; Deng, F.; Zheng, N.; Liang, Y.; Zhang, H.; He, B.; Dai, W.; Wang, X.; Zhang, Q. The effect of linkers on the self-assembling and anti-tumor efficacy of disulfide-linked doxorubicin drug-drug conjugate nanoparticles. J. Control Release 2018, 279, 136–146. [Google Scholar] [CrossRef] [PubMed]
- Song, Q.; Wang, X.; Wang, Y.; Liang, Y.; Zhou, Y.; Song, X.; He, B.; Zhang, H.; Dai, W.; Wang, X.; et al. Reduction Responsive Self-Assembled Nanoparticles Based on Disulfide-Linked Drug–Drug Conjugate with High Drug Loading and Antitumor Efficacy. Mol. Pharm. 2016, 13, 190–201. [Google Scholar] [CrossRef] [PubMed]
- Sawada, S.; Yukawa, H.; Takeda, S.; Sasaki, Y.; Akiyoshi, K. Self-assembled nanogel of cholesterol-bearing xyloglucan as a drug delivery nanocarrier. J. Biomater. Sci. Polym. Ed. 2017, 28, 1183–1198. [Google Scholar] [CrossRef]
- Ma, W.-L.; Mou, C.-L.; Chen, S.-H.; Li, Y.-D.; Deng, H.-B. A Mild Method for Encapsulation of Citral in Monodispersed Alginate Microcapsules. Polymers 2022, 14, 1165. [Google Scholar] [CrossRef]
- Nezamdoost-Sani, N.; Khaledabad, M.A.; Amiri, S.; Phimolsiripol, Y.; Khaneghah, A.M. A comprehensive review on the utilization of biopolymer hydrogels to encapsulate and protect probiotics in foods. Int. J. Biol. Macromol. 2024, 254, 127907. [Google Scholar] [CrossRef] [PubMed]
- Zheng, H.; Gao, M.; Ren, Y.; Lou, R.; Xie, H.; Yu, W.; Liu, X.; Ma, X. An improved pH-responsive carrier based on EDTA-Ca-alginate for oral delivery of Lactobacillus rhamnosus ATCC 53103. Carbohydr. Polym. 2017, 155, 329–335. [Google Scholar] [CrossRef]
- Mu, R.-J.; Yuan, Y.; Wang, L.; Ni, Y.; Li, M.; Chen, H.; Pang, J. Microencapsulation of Lactobacillus acidophilus with konjac glucomannan hydrogel. Food Hydrocoll. 2018, 76, 42–48. [Google Scholar] [CrossRef]
- Arenales-Sierra, I.M.; Lobato-Calleros, C.; Vernon-Carter, E.J.; Hernández-Rodríguez, L.; Alvarez-Ramirez, J. Calcium alginate beads loaded with Mg(OH)2 improve L. casei viability under simulated gastric condition. LWT 2019, 112, 108220. [Google Scholar] [CrossRef]
- Mizielińska, M.; Łopusiewicz, Ł. Encapsulation and evaluation of probiotic bacteria survival in simulated gastrointestinal conditions. Rom. Biotechnol. Lett. 2018, 23, 13690–13696. [Google Scholar]
- Muniyandy, S.; Rao, K. Pectin-gelatin and alginate-gelatin complex coacervation for controlled drug delivery: Influence of anionic polysaccharides and drugs being encapsulated on physicochemical properties of microcapsules. Carbohydr. Polym. 2010, 80, 808–816. [Google Scholar] [CrossRef]
- Mohammed, M.A.; Syeda, J.T.M.; Wasan, K.M.; Wasan, E.K. An Overview of Chitosan Nanoparticles and Its Application in Non-Parenteral Drug Delivery. Pharmaceutics 2017, 9, 53. [Google Scholar] [CrossRef] [PubMed]
- Assadpour, E.; Jafari, S.M. Chapter One—Importance of release and bioavailability studies for nanoencapsulated food ingredients. In Release and Bioavailability of Nanoencapsulated Food Ingredients; Jafari, S.M., Ed.; Volume 5 in Nanoencapsulation in the Food Industry; Academic Press: Cambridge, MA, USA, 2020; pp. 1–24. [Google Scholar] [CrossRef]
- Sabliov, C.M.; Astete, C.E. 12—Encapsulation and controlled release of antioxidants and vitamins. In Delivery and Controlled Release of Bioactives in Foods and Nutraceuticals; Garti, N., Ed.; Woodhead Publishing Series in Food Science, Technology and Nutrition; Woodhead Publishing: Sawston, UK, 2008; pp. 297–330. [Google Scholar] [CrossRef]
- Setapa, A.; Ahmad, N.; Mahali, S.M.; Amin, M.C.I.M. Mathematical Model for Estimating Parameters of Swelling Drug Delivery Devices in a Two-Phase Release. Polymers 2020, 12, 2921. [Google Scholar] [CrossRef]
- Freichel, O.L.; Lippold, B.C. A new oral erosion controlled drug delivery system with a late burst in the release profile. Eur. J. Pharm. Biopharm. 2000, 50, 345–351. [Google Scholar] [CrossRef] [PubMed]
- Möckel, J.E.; Lippold, B.C. Zero-order drug release from hydrocolloid matrices. Pharm. Res. 1993, 10, 1066–1070. [Google Scholar] [CrossRef]
- Farooqi, Z.H.; Khan, H.U.; Shah, S.M.; Siddiq, M. Stability of poly(N-isopropylacrylamide-co-acrylic acid) polymer microgels under various conditions of temperature, pH and salt concentration. Arab. J. Chem. 2017, 10, 329–335. [Google Scholar] [CrossRef]
- Dehkordi, S.S.; Alemzadeh, I.; Vaziri, A.S.; Vossoughi, A. Optimization of Alginate-Whey Protein Isolate Microcapsules for Survivability and Release Behavior of Probiotic Bacteria. Appl. Biochem. Biotechnol. 2020, 190, 182–196. [Google Scholar] [CrossRef]
- Kuhn, K.R.; Silva, F.G.D.E.; Netto, F.M.; da Cunha, R.L. Production of whey protein isolate–gellan microbeads for encapsulation and release of flaxseed bioactive compounds. J. Food Eng. 2019, 247, 104–114. [Google Scholar] [CrossRef]
- Călinoiu, L.-F.; Ştefănescu, B.E.; Pop, I.D.; Muntean, L.; Vodnar, D.C. Chitosan Coating Applications in Probiotic Microencapsulation. Coatings 2019, 9, 194. [Google Scholar] [CrossRef]
- Łętocha, A.; Miastkowska, M.; Sikora, E. Preparation and Characteristics of Alginate Microparticles for Food, Pharmaceutical and Cosmetic Applications. Polymers 2022, 14, 3834. [Google Scholar] [CrossRef] [PubMed]
- Abka-khajouei, R.; Tounsi, L.; Shahabi, N.; Patel, A.K.; Abdelkafi, S.; Michaud, P. Structures, Properties and Applications of Alginates. Mar. Drugs 2022, 20, 364. [Google Scholar] [CrossRef] [PubMed]
- Cook, M.T.; Tzortzis, G.; Charalampopoulos, D.; Khutoryanskiy, V.V. Microencapsulation of probiotics for gastrointestinal delivery. J. Control Release 2012, 162, 56–67. [Google Scholar] [CrossRef] [PubMed]
- Bedê, P.M.; Silva, M.H.; Figueiredo, A.B.; Finotelli, P.V. Nanostructured magnetic alginate composites for biomedical applications. Polímeros 2017, 27, 267–272. [Google Scholar] [CrossRef]
- Choukaife, H.; Doolaanea, A.A.; Alfatama, M. Pharmaceuticals|Free Full-Text|Alginate Nanoformulation: Influence of Process and Selected Variables. Pharmaceuticals 2020, 13, 335. [Google Scholar] [CrossRef]
- Jardim, K.V.; Palomec-Garfias, A.F.; Andrade, B.Y.G.; Chaker, J.A.; Báo, S.N.; Márquez-Beltrán, C.; Moya, S.E.; Parize, A.L.; Sousa, M.H. Novel magneto-responsive nanoplatforms based on MnFe2O4 nanoparticles layer-by-layer functionalized with chitosan and sodium alginate for magnetic controlled release of curcumin. Mater. Sci. Eng. C 2018, 92, 184–195. [Google Scholar] [CrossRef] [PubMed]
- Donthidi, A.R.; Tester, R.F.; Aidoo, K.E. Effect of lecithin and starch on alginate-encapsulated probiotic bacteria. J. Microencapsul. 2010, 27, 67–77. [Google Scholar] [CrossRef] [PubMed]
- Thakur, S.; Chaudhary, J.; Kumar, V.; Thakur, V.K. Progress in pectin based hydrogels for water purification: Trends and challenges. J. Environ. Manag. 2019, 238, 210–223. [Google Scholar] [CrossRef] [PubMed]
- Lutz, R.; Aserin, A.; Wicker, L.; Garti, N. Structure and physical properties of pectins with block-wise distribution of carboxylic acid groups. Food Hydrocoll. 2009, 23, 786–794. [Google Scholar] [CrossRef]
- Chandel, V.; Biswas, D.; Roy, S.; Vaidya, D.; Verma, A.; Gupta, A. Current Advancements in Pectin: Extraction, Properties and Multifunctional Applications. Foods 2022, 11, 2683. [Google Scholar] [CrossRef]
- Morales-Medina, R.; Drusch, S.; Acevedo, F.; Castro-Alvarez, A.; Benie, A.; Poncelet, D.; Dragosavac, M.M.; Tesoriero, M.V.D.; Löwenstein, P.; Yonaha, V.; et al. Structure, controlled release mechanisms and health benefits of pectins as an encapsulation material for bioactive food components. Food Funct. 2022, 13, 10870–10881. [Google Scholar] [CrossRef] [PubMed]
- Sriamornsak, P.; Wattanakorn, N.; Takeuchi, H. Study on the mucoadhesion mechanism of pectin by atomic force microscopy and mucin-particle method. Carbohydr. Polym. 2010, 79, 54–59. [Google Scholar] [CrossRef]
- Guo, Y.; Qiao, D.; Zhao, S.; Zhang, B.; Xie, F. Starch-based materials encapsulating food ingredients: Recent advances in fabrication methods and applications. Carbohydr. Polym. 2021, 270, 118358. [Google Scholar] [CrossRef]
- Pawar, R.; Jadhav, W.; Bhusare, S.; Borade, R.; Farber, S.; Itzkowitz, D.; Domb, A. 1—Polysaccharides as carriers of bioactive agents for medical applications. In Natural-Based Polymers for Biomedical Applications; Reis, R.L., Neves, N.M., Mano, J.F., Gomes, M.E., Marques, A.P., Azevedo, H.S., Eds.; Woodhead Publishing Series in Biomaterials; Woodhead Publishing: Sawston, UK, 2008; pp. 3–53. [Google Scholar] [CrossRef]
- Egharevba, H.O. Chemical Properties of Starch and Its Application in the Food Industry. In Chemical Properties of Starch; IntechOpen: London, UK, 2019. [Google Scholar] [CrossRef]
- Cui, C.; Jia, Y.; Sun, Q.; Yu, M.; Ji, N.; Dai, L.; Wang, Y.; Qin, Y.; Xiong, L.; Sun, Q. Recent advances in the preparation, characterization, and food application of starch-based hydrogels. Carbohydr. Polym. 2022, 291, 119624. [Google Scholar] [CrossRef] [PubMed]
- Ta, L.P.; Bujna, E.; Antal, O.; Ladányi, M.; Juhász, R.; Szécsi, A.; Kun, S.; Sudheer, S.; Gupta, V.K.; Nguyen, Q.D. Effects of various polysaccharides (alginate, carrageenan, gums, chitosan) and their combination with prebiotic saccharides (resistant starch, lactosucrose, lactulose) on the encapsulation of probiotic bacteria Lactobacillus casei 01 strain. Int. J. Biol. Macromol. 2021, 183, 1136–1144. [Google Scholar] [CrossRef] [PubMed]
- Shukla, P.; Borza, T.; Critchley, A.; Prithiviraj, B. Carrageenans from Red Seaweeds As Promoters of Growth and Elicitors of Defense Response in Plants. Front. Mar. Sci. 2016, 3, 81. [Google Scholar] [CrossRef]
- Khotimchenko, M.; Tiasto, V.; Kalitnik, A.; Begun, M.; Khotimchenko, R.; Leonteva, E.; Bryukhovetskiy, I.; Khotimchenko, Y. Antitumor potential of carrageenans from marine red algae. Carbohydr. Polym. 2020, 246, 116568. [Google Scholar] [CrossRef] [PubMed]
- Madruga, L.Y.C.; Sabino, R.M.; Santos, E.C.G.; Popat, K.C.; Balaban, R.d.C.; Kipper, M.J. Carboxymethyl-kappa-carrageenan: A study of biocompatibility, antioxidant and antibacterial activities. Int. J. Biol. Macromol. 2020, 152, 483–491. [Google Scholar] [CrossRef] [PubMed]
- Martín, M.J.; Lara-Villoslada, F.; Ruiz, M.A.; Morales, M.E. Microencapsulation of bacteria: A review of different technologies and their impact on the probiotic effects. Innov. Food Sci. Emerg. Technol. 2015, 27, 15–25. [Google Scholar] [CrossRef]
- Feng, T.; Wu, K.; Xu, J.; Hu, Z.; Zhang, X. Low Molecular Weight Kappa-Carrageenan Based Microspheres for Enhancing Stability and Bioavailability of Tea Polyphenols. Processes 2021, 9, 1240. [Google Scholar] [CrossRef]
- Zhou, Y.; Xu, D.; Yu, H.; Han, J.; Liu, W.; Qu, D. Encapsulation of Salmonella phage SL01 in alginate/carrageenan microcapsules as a delivery system and its application in vitro. Front. Microbiol. 2022, 13, 906103. [Google Scholar] [CrossRef] [PubMed]
- Yuting, F.; Jiang, Y.; Xiao, H.; Yuzhu, Z.; Ruijin, Y. Preparation and characterization of gellan gum microspheres containing a cold-adapted β-galactosidase from Rahnella sp. R3. Carbohydr. Polym. 2017, 162, 10–15. [Google Scholar] [CrossRef] [PubMed]
- Gels|Free Full-Text|Physicochemical and Rheological Characterization of Different Low Molecular Weight Gellan Gum Products and Derived Ionotropic Crosslinked Hydrogels. [Online]. Available online: https://www.mdpi.com/2310-2861/7/2/62 (accessed on 10 November 2023).
- Morris, E.R.; Gothard, M.G.E.; Hember, M.W.N.; Manning, C.E.; Robinson, G. Conformational and rheological transitions of welan, rhamsan and acylated gellan. Carbohydr. Polym. 1996, 30, 165–175. [Google Scholar] [CrossRef]
- Stachowiak, N.; Kowalonek, J.; Kozlowska, J.; Burkowska-But, A. Stability Studies, Biodegradation Tests, and Mechanical Properties of Sodium Alginate and Gellan Gum Beads Containing Surfactant. Polymers 2023, 15, 2568. [Google Scholar] [CrossRef] [PubMed]
- Rosalam, S.; England, R. Review of xanthan gum production from unmodified starches by Xanthomonas comprestris sp. Enzym. Microb. Technol. 2006, 39, 197–207. [Google Scholar] [CrossRef]
- Palaniraj, A.; Jayaraman, V. Production, recovery and applications of xanthan gum by Xanthomonas campestris. J. Food Eng. 2011, 106, 1–12. [Google Scholar] [CrossRef]
- Filho, E.D.N.; Silva, N.N.B.; Converti, A.; Grosso, C.R.F.; Santos, A.M.P.; Ribeiro, D.S.; Maciel, M.I.S. Microencapsulation of acerola (Malpighia emarginata DC) AND ciriguela (Spondias purpurea L.) mixed juice with different wall materials. Food Chem. Adv. 2022, 1, 100046. [Google Scholar] [CrossRef]
- Ribeiro, S.; Almeida, R.; Batista, L.; Lima, J.; Sarinho, A.; Nascimento, A.; Lisboa, H. Investigation of Guar Gum and Xanthan Gum Influence on Essential Thyme Oil Emulsion Properties and Encapsulation Release Using Modeling Tools. Foods 2024, 13, 816. [Google Scholar] [CrossRef] [PubMed]
- Frontmatter. Water-Soluble Polymer Applications in Foods; John Wiley & Sons, Ltd.: Hoboken, NJ, USA, 2003; pp. i–xii. [Google Scholar] [CrossRef]
- Han, J.; Chen, F.; Gao, C.; Zhang, Y.; Tang, X. Environmental stability and curcumin release properties of Pickering emulsion stabilized by chitosan/gum arabic nanoparticles. Int. J. Biol. Macromol. 2020, 157, 202–211. [Google Scholar] [CrossRef]
- Taheri, A.; Jafari, S.M. Gum-based nanocarriers for the protection and delivery of food bioactive compounds. Adv. Colloid Interface Sci. 2019, 269, 277–295. [Google Scholar] [CrossRef]
- Nami, Y.; Haghshenas, B.; Khosroushahi, A.Y. Effect of psyllium and gum Arabic biopolymers on the survival rate and storage stability in yogurt of Enterococcus durans IW3 encapsulated in alginate. Food Sci. Nutr. 2016, 5, 554–563. [Google Scholar] [CrossRef]
- Mudgil, D.; Barak, S.; Khatkar, B.S. Guar gum: Processing, properties and food applications—A Review. J. Food Sci. Technol. 2014, 51, 409–418. [Google Scholar] [CrossRef]
- George, A.; Shah, P.A.; Shrivastav, P.S. Guar gum: Versatile natural polymer for drug delivery applications. Eur. Polym. J. 2019, 112, 722–735. [Google Scholar] [CrossRef]
- Samavati, V.; Razavi, S.H.; Mousavi, S.M. Effect of Sweeteners on Viscosity and Particle Size of Dilute Guar Gum Solutions. Iran. J. Chem. Chem. Eng. -Int. Engl. Ed. 2008, 27, 23–31. Available online: https://www.researchgate.net/publication/237044575_Effect_of_Sweeteners_on_Viscosity_and_Particle_Size_of_Dilute_Guar_Gum_Solutions (accessed on 29 May 2024).
- Baena-Aristizábal, C.M.; Foxwell, M.; Wright, D.; Villamizar-Rivero, L. Microencapsulation of Rhizobium leguminosarum bv. trifolii with guar gum: Preliminary approach using spray drying. J. Biotechnol. 2019, 302, 32–41. [Google Scholar] [CrossRef]
- Yang, L.; Cao, X.; Gai, A.; Qiao, X.; Wei, Z.; Li, J.; Xu, J.; Xue, C. Chitosan/guar gum nanoparticles to stabilize Pickering emulsion for astaxanthin encapsulation. LWT 2022, 165, 113727. [Google Scholar] [CrossRef]
- Castro, P.M.; Baptista, P.; Madureira, A.R.; Sarmento, B.; Pintado, M.E. Combination of PLGA nanoparticles with mucoadhesive guar-gum films for buccal delivery of antihypertensive peptide. Int. J. Pharm. 2018, 547, 593–601. [Google Scholar] [CrossRef]
- Chen, X.; Fu, X.; Huang, L.; Xu, J.; Gao, X. Agar oligosaccharides: A review of preparation, structures, bioactivities and application. Carbohydr. Polym. 2021, 265, 118076. [Google Scholar] [CrossRef]
- Russ, N.; Zielbauer, B.I.; Koynov, K.; Vilgis, T.A. Influence of Nongelling Hydrocolloids on the Gelation of Agarose. Biomacromolecules 2013, 14, 4116–4124. [Google Scholar] [CrossRef]
- Pandey, S.P.; Shukla, T.; Dhote, V.K.; Mishra, D.K.; Maheshwari, R.; Tekade, R.K. Chapter 4—Use of Polymers in Controlled Release of Active Agents. In Basic Fundamentals of Drug Delivery; Tekade, R.K., Ed.; Advances in Pharmaceutical Product Development and Research; Academic Press: Cambridge, MA, USA, 2019; pp. 113–172. [Google Scholar] [CrossRef]
- Kunkel, J.; Asuri, P. Function, Structure, and Stability of Enzymes Confined in Agarose Gels. PLoS ONE 2014, 9, e86785. [Google Scholar] [CrossRef]
- Loksuwan, J. Characteristics of microencapsulated β-carotene formed by spray drying with modified tapioca starch, native tapioca starch and maltodextrin. Food Hydrocoll. 2007, 21, 928–935. [Google Scholar] [CrossRef]
- Herbach, K.M.; Stintzing, F.C.; Carle, R. Betalain Stability and Degradation—Structural and Chromatic Aspects. J. Food Sci. 2006, 71, R41–R50. [Google Scholar] [CrossRef]
- Campelo, P.H.; Sanches, E.A.; de Barros Fernandes, R.V.; Botrel, D.A.; Borges, S.V. Stability of lime essential oil microparticles produced with protein-carbohydrate blends. Food Res. Int. 2018, 105, 936–944. [Google Scholar] [CrossRef]
- Li, J.; Xu, F.; Dai, Y.; Zhang, J.; Shi, Y.; Lai, D.; Sriboonvorakul, N.; Hu, J. A Review of Cyclodextrin Encapsulation and Intelligent Response for the Release of Curcumin. Polymers 2022, 14, 5421. [Google Scholar] [CrossRef] [PubMed]
- Poulson, B.G.; Alsulami, Q.A.; Sharfalddin, A.; El Agammy, E.F.; Mouffouk, F.; Emwas, A.-H.; Jaremko, L.; Jaremko, M. Cyclodextrins: Structural, Chemical, and Physical Properties, and Applications. Polysaccharides 2022, 3, 1–31. [Google Scholar] [CrossRef]
- Petitjean, M.; Isasi, J.R. Locust Bean Gum, a Vegetable Hydrocolloid with Industrial and Biopharmaceutical Applications. Molecules 2022, 27, 8265. [Google Scholar] [CrossRef] [PubMed]
- He, H.; Ye, J.; Zhang, X.; Huang, Y.; Li, X.; Xiao, M. κ-Carrageenan/locust bean gum as hard capsule gelling agents. Carbohydr. Polym. 2017, 175, 417–424. [Google Scholar] [CrossRef] [PubMed]
- Mathaba, M.; Daramola, M.O. Effect of Chitosan’s Degree of Deacetylation on the Performance of PES Membrane Infused with Chitosan during AMD Treatment. Membranes 2010, 10, 52. Available online: https://www.ncbi.nlm.nih.gov/pmc/articles/PMC7142423/#B25-membranes-10-00052 (accessed on 29 May 2024).
- Cohen, E. Chapter 2—Chitin Biochemistry: Synthesis, Hydrolysis and Inhibition. In Advances in Insect Physiology: Insect Integument and Colour; Casas, J., Simpson, S.J., Eds.; Academic Press: New York, NY, USA, 2010; Volume 38, pp. 5–74. [Google Scholar] [CrossRef]
- Vicente, F.A.; Huš, M.; Likozar, B.; Novak, U. Chitin Deacetylation Using Deep Eutectic Solvents: Ab Initio-Supported Process Optimization. ACS Sustain. Chem. Eng. 2021, 9, 3874–3886. [Google Scholar] [CrossRef] [PubMed]
- Li, J.; Revol, J.-F.; Marchessault, R.H. Effect of degree of deacetylation of chitin on the properties of chitin crystallites. J. Appl. Polym. Sci. 1997, 65, 373–380. [Google Scholar] [CrossRef]
- Rinaudo, M.; Pavlov, G.; Desbrières, J. Influence of acetic acid concentration on the solubilization of chitosan. Polymer 1999, 40, 7029–7032. [Google Scholar] [CrossRef]
- Kubota, N.; Eguchi, Y. Facile Preparation of Water-Soluble N-Acetylated Chitosan and Molecular Weight Dependence of Its Water-Solubility. Polym. J. 1997, 29, 123–127. [Google Scholar] [CrossRef]
- Vaz, J.M.; Taketa, T.B.; Hernandez-Montelongo, J.; Chevallier, P.; Cotta, M.A.; Mantovani, D.; Beppu, M.M. Antibacterial Properties of Chitosan-Based Coatings Are Affected by Spacer-Length and Molecular Weight. Appl. Surf. Sci. 2018, 445, 478–487. Available online: https://www.sciencedirect.com/science/article/abs/pii/S0169433218307840?via%3Dihub (accessed on 30 May 2024).
- Azevedo, M.A.; Bourbon, A.I.; Vicente, A.A.; Cerqueira, M.A. Alginate/chitosan nanoparticles for encapsulation and controlled release of vitamin B2. Int. J. Biol. Macromol. 2014, 71, 141–146. [Google Scholar] [CrossRef] [PubMed]
- Chitine et Chitosane—p39—N°261—L’Actualité Chimique, le Journal de la SCF. Société Chimique de France (SCF). [Online]. Available online: https://new.societechimiquedefrance.fr/numero/chitine-et-chitosane-p39-n261/ (accessed on 30 May 2024).
- Andersen, T.; Bleher, S.; Flaten, G.E.; Tho, I.; Mattsson, S.; Škalko-Basnet, N. Chitosan in Mucoadhesive Drug Delivery: Focus on Local Vaginal Therapy. Mar. Drugs 2015, 13, 222–236. [Google Scholar] [CrossRef] [PubMed]
- Eastoe, J.E. The amino acid composition of mammalian collagen and gelatin. Biochem. J. 1955, 61, 589–600. [Google Scholar] [CrossRef] [PubMed]
- Shu, B.; Yu, W.; Zhao, Y.; Liu, X. Study on microencapsulation of lycopene by spray-drying. J. Food Eng. 2006, 76, 664–669. [Google Scholar] [CrossRef]
- Tian, Y.; Liu, Y.; Zhang, L.; Hua, Q.; Liu, L.; Wang, B.; Tang, J. Preparation and characterization of gelatin-sodium alginate/paraffin phase change microcapsules. Colloids Surf. A Physicochem. Eng. Asp. 2020, 586, 124216. [Google Scholar] [CrossRef]
- Wood, E.L.; Christian, D.G.; Arafat, M.; McColl, L.K.; Prosser, C.G.; Carpenter, E.A.; Levine, A.S.; Klockars, A.; Olszewski, P.K. Adjustment of Whey:Casein Ratio from 20:80 to 60:40 in Milk Formulation Affects Food Intake and Brainstem and Hypothalamic Neuronal Activation and Gene Expression in Laboratory Mice. Foods 2021, 10, 658. [Google Scholar] [CrossRef] [PubMed]
- Pelegrine, D.H.G.; Gasparetto, C.A. Whey proteins solubility as function of temperature and pH. LWT—Food Sci. Technol. 2005, 38, 77–80. [Google Scholar] [CrossRef]
- Hofland, G.W.; van Es, M.; van der Wielen, L.A.M.; Witkamp, G.-J. Isoelectric Precipitation of Casein Using High-Pressure CO2. Ind. Eng. Chem. Res. 1999, 38, 4919–4927. Available online: https://pubs.acs.org/doi/pdf/10.1021/ie990136%2B (accessed on 14 November 2023).
- Solghi, S.; Emam-Djomeh, Z.; Fathi, M.; Farahani, F. The encapsulation of curcumin by whey protein: Assessment of the stability and bioactivity. J. Food Process Eng. 2020, 43, e13403. [Google Scholar] [CrossRef]
- de Kruif, C.G.; Huppertz, T.; Urban, V.S.; Petukhov, A.V. Casein micelles and their internal structure. Adv. Colloid Interface Sci. 2012, 171–172, 36–52. [Google Scholar] [CrossRef]
- Wang, X.; Zhao, Z. Improved encapsulation capacity of casein micelles with modified structure. J. Food Eng. 2022, 333, 111138. [Google Scholar] [CrossRef]
- Roach, A.L. The Casein Micelle as an Encapsulation System for Triclosan: Methods of Micelle Dissociation, Encapsulation, Release, and In Vitro Delivery. Ph.D. Thesis, University of Tennessee, Knoxville, TN, USA, 2009. [Google Scholar]
- Hadidi, M.; Boostani, S.; Jafari, S.M. Pea proteins as emerging biopolymers for the emulsification and encapsulation of food bioactives. Food Hydrocoll. 2022, 126, 107474. [Google Scholar] [CrossRef]
- Sharif, H.R.; Williams, P.A.; Sharif, M.K.; Abbas, S.; Majeed, H.; Masamba, K.G.; Safdar, W.; Zhong, F. Current progress in the utilization of native and modified legume proteins as emulsifiers and encapsulants—A review. Food Hydrocoll. 2018, 76, 2–16. [Google Scholar] [CrossRef]
- Estrada, P.D.; Berton-Carabin, C.C.; Schlangen, M.; Haagsma, A.; Pierucci, A.P.T.R.; van der Goot, A.J. Protein Oxidation in Plant Protein-Based Fibrous Products: Effects of Encapsulated Iron and Process Conditions. J. Agric. Food Chem. 2018, 66, 11105. [Google Scholar] [CrossRef] [PubMed]
- Mendanha, D.V.; Ortiz, S.E.M.; Favaro-Trindade, C.S.; Mauri, A.; Monterrey-Quintero, E.S.; Thomazini, M. Microencapsulation of casein hydrolysate by complex coacervation with SPI/pectin. Food Res. Int. 2009, 42, 1099–1104. [Google Scholar] [CrossRef]
- Correia, R.; Grace, M.H.; Esposito, D.; Lila, M.A. Wild blueberry polyphenol-protein food ingredients produced by three drying methods: Comparative physico-chemical properties, phytochemical content, and stability during storage. Food Chem. 2017, 235, 76–85. [Google Scholar] [CrossRef]
Disclaimer/Publisher’s Note: The statements, opinions and data contained in all publications are solely those of the individual author(s) and contributor(s) and not of MDPI and/or the editor(s). MDPI and/or the editor(s) disclaim responsibility for any injury to people or property resulting from any ideas, methods, instructions or products referred to in the content. |
© 2024 by the authors. Licensee MDPI, Basel, Switzerland. This article is an open access article distributed under the terms and conditions of the Creative Commons Attribution (CC BY) license (https://creativecommons.org/licenses/by/4.0/).