Numerical Optimization of Variable Blank Holder Force Trajectories in Stamping Process for Multi-Defect Reduction
Abstract
1. Introduction
- The FLD predicted by a machine learning algorithm based on the GISSMO damage model provided an advanced rigorous evaluative framework and applied an overall assessment of sheet failure in the forming process.
- Deep neural network (DNN) modeling could model complex nonlinear relationships between process parameters and the resulting product quality, facilitating the rapid evaluation of different parameter sets.
- The nondominated sorting genetic algorithm-II (NSGA-II) could adjust process parameters to minimize multi-defects simultaneously.
- Monte Carlo simulation (MCS) techniques were used to model the probability of different outcomes that have uncertainty, facilitating the assessment of the robustness of selected process parameters.
- Subsequently, statistical methodologies grounded in material flow analysis were applied, accompanied by the proposal of distinctive optimization strategies aimed at enhancing material flow efficiency.
2. Finite Element Analysis Model and Design Variable Definition
2.1. Oil Pan Finite Element Model
2.2. Material Properties
3. Design Optimization
3.1. Design Optimization Problem Description
3.2. Objective Functions
4. Machine Learning Algorithm for Prediction of Forming Limit Diagram (FLD)
4.1. GISSMO Damage Model
4.2. Fracture Experiment
4.3. Fracture Locus
5. Surrogate Model Methodologies Based on DNN-GA-MCS Strategy
6. Numerical Results
6.1. Forming Limit Diagram Prediction
6.2. Approximation of VBHF Result via Deep Neural Network (DNN) Modeling
6.3. VBHF Optimization Result via Nondominated Sorting Genetic Algorithm-II (NSGA-II)
6.4. Pareto Chart Results via Monte Carlo Simulation (MCS)
6.5. Numerical Optimization Results
7. Discussion
- Exploration of novel processing methodologies, exemplified by the stamping process with variable blank holder force (BHF) trajectories. Advancement of characterization, analysis, and modeling techniques to better understand and predict material behavior in stamping process parameter variables to uncover their unique properties and potential applications.
- The determination of optimal BHF trajectories was achieved through a surrogate model methodology that integrated deep neural network, genetic algorithm, and Monte Carlo simulation (DNN-GA-MCS) methodologies.
- The proposed approach utilized VBHF trajectories, which adjusted the BHF trajectories in the stamping cycle, thereby enhancing formability and mitigating the incidence of failure, springback, and wrinkling defects.
- The deep neural network (DNN) model was employed to address the intricate and nonlinear characteristics of the forming process. It is designed to approximate the functional relationship between defects and the trajectories of complex BHF, thereby constructing an approximated surface for analysis.
- The design constraint, defined as the failure of the sheet during the stamping process, was quantitatively evaluated employing the FLD based on the GISSMO damage model to ensure its rigorous assessment.
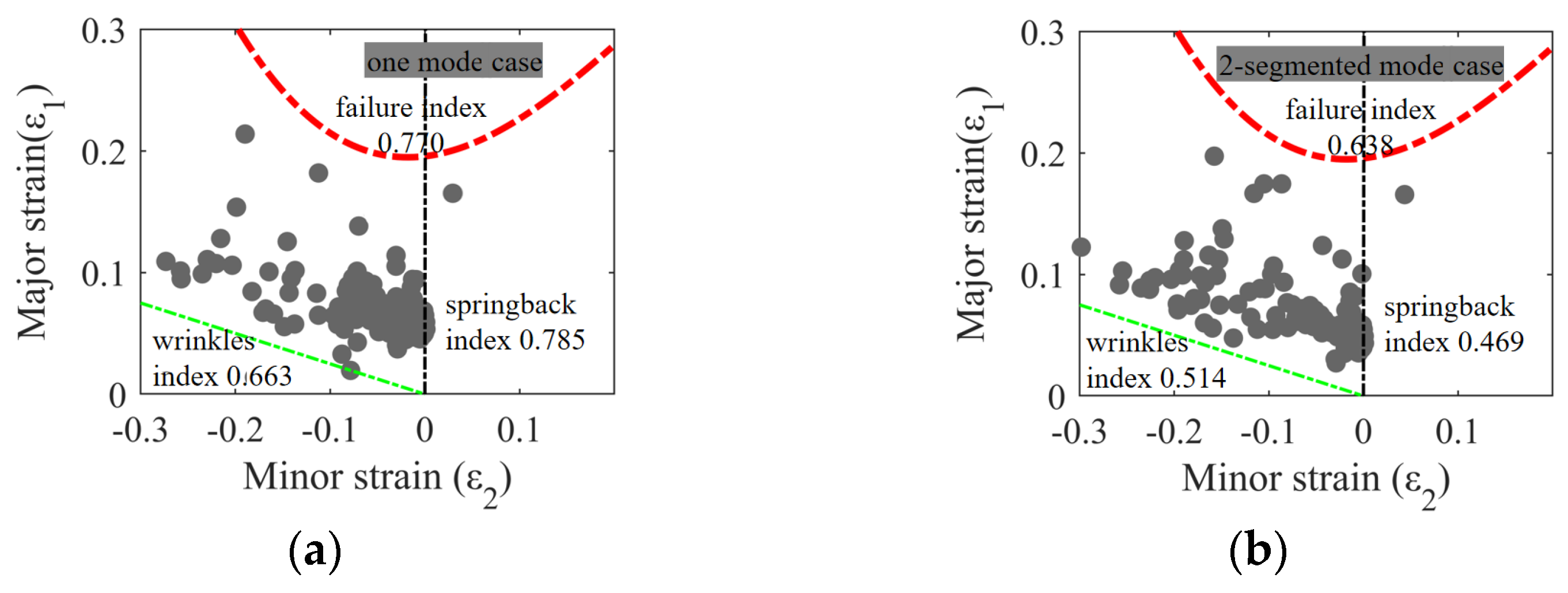
- In the proposed two-segmented mode VBHF case application, the average value of three defects improved by 12.62%, and the total quantity of VBHF was reduced by 14.07%. Meanwhile, compared with the average value of training sets, improvements of 18.89%, 13.59%, and 14.26% were achieved in failure, wrinkling, and springback, respectively.
- It was found that some further considerations of the structural design can be determined by using statistical methodologies. In the proposed two-segmented scenario, the back section of the oil pan sheet material exhibits more material flow fluctuation variations in thickness and strain rate in comparison to the front section.
8. Conclusions
- The VBHF trajectory displayed intricate behavior, notably with the emergence of discontinuous Pareto-optimal sets, and affirmed the advancement of the optimization method application.
- The response surface model effectively delineated the interrelations between the various parameters and their impacts on the outputs.
- VBHF trajectories were categorized based on specific goals: the minimization of defects, reduction in springback, and limitation of wrinkling, with their effectiveness confirmed through the Forming Limit Diagram (FLD).
- The FLD based on the GISSMO damage model offered an evaluation framework for a comprehensive understanding of sheet failure dynamics during forming.
- Numerical outcomes highlighted the substantial enhancements in the formed oil pan product quality: improvements of 18.89%, 13.59%, and 14.26% were observed in failure, wrinkling, and springback, respectively. The total quantity of VBHF was reduced by 14.07%.
- With increasing complexity in parameter design, an evolution in the derivation of optimal designs was anticipated. Nevertheless, the stability provided by MCS ensured the accuracy of precise outcomes. The generated datasets from the integration of the DNN, GA, and MCS served as valuable references for future industrial applications.
Author Contributions
Funding
Institutional Review Board Statement
Informed Consent Statement
Data Availability Statement
Acknowledgments
Conflicts of Interest
Appendix A. Deep Neural Network (DNN) Modeling for Prediction of Forming Limit Diagram

Appendix B. Variable Blank Holder Force Trajectory Deep Neural Network (DNN) Modeling


Appendix C. Nondominated Sorting Genetic Algorithm-II (NSGA-II)

Appendix D. Workflow of Monte Carlo Simulation (MCS)

References
- Heinz, A.; Haszler, A.; Keidel, C.; Moldenhauer, S.; Benedictus, R.; Miller, W.S. Recent development in aluminium alloys for aerospace applications. Mater. Sci. Eng. A 2000, 280, 102–107. [Google Scholar] [CrossRef]
- Hosford, W.F.; Caddell, R.M. Metal Forming: Mechanics and Metallurgy; Cambridge University Press: Cambridge, UK, 2011. [Google Scholar]
- Rozeman, S.; Adesta, E.Y.T.; Sophian, A.; Tomadi, S.H. Improvement Activities in Stamping Die Manufacturing: A Systematic Literature Review. Int. J. Eng. Mater. Manuf. 2023, 8, 21–35. [Google Scholar] [CrossRef]
- Sadagopan, S.; Urban, D.; Wong, C.; Huang, M.; Yan, B. Formability Characterization of a New Generation High Strength Steels (No. TRP0012); Ispat Inland Inc.: Chicago, IL, USA, 2003. [Google Scholar] [CrossRef]
- Bobade, S.S.; Badgujar, T.Y. A state of art in a sheet metal stamping forming technology-an overview. Int. J. Adv. Res. Innov. Ideas Educ. 2017, 3, 3760–3770. [Google Scholar]
- Tong, C.; Rong, Q.; Yardley, V.A.; Li, X.; Luo, J.; Zhu, G.; Shi, Z. New developments and future trends in low-temperature hot stamping technologies: A review. Metals 2020, 10, 1652. [Google Scholar] [CrossRef]
- Atul, S.T.; Babu, M.C.L. A review on effect of thinning, wrinkling and spring-back on deep drawing process. Proc. Inst. Mech. Eng. Part B J. Eng. Manuf. 2019, 233, 1011–1036. [Google Scholar] [CrossRef]
- Kitayama, S.; Ishizuki, R.; Yokoyaka, M.; Kawamoto, K.; Natsume, S.; Adachi, K.; Noguchi, T.; Ohtani, T. Numerical optimization of variable blank holder force trajectory and blank shape for twist springback reduction using sequential approximate optimization. Int. J. Adv. Manuf. Technol. 2019, 103, 63–75. [Google Scholar] [CrossRef]
- Kitayama, S.; Koyama, H.; Kawamoto, K.; Miyasaka, T.; Yamamichi, K.; Noda, T. Optimization of blank shape and segmented variable blank holder force trajectories in deep drawing using sequential approximate optimization. Int. J. Adv. Manuf. Technol. 2017, 91, 1809–1821. [Google Scholar] [CrossRef]
- Guo, F.; Jeong, H.; Park, D.; Sung, B.; Kim, N. Numerical multi-objective optimization of segmented and variable blank holder force trajectories in deep drawing based on DNN-GA-MCS strategy. Int. J. Adv. Manuf. Technol. 2024, 130, 3445–3468. [Google Scholar] [CrossRef]
- Irthiea, I.K.; Green, G. Evaluation of micro deep drawing technique using soft die-simulation and experiments. Int. J. Adv. Manuf. Technol. 2017, 89, 2363–2374. [Google Scholar] [CrossRef]
- Gao, Y.; Li, H.; Zhao, D.; Wang, M.; Fan, X. Advances in friction of aluminium alloy deep drawing. Friction 2024, 12, 396–427. [Google Scholar] [CrossRef]
- Alavala, C.R. Effect of Temperature, Strain Rate and Coefficient of Friction on Deep Drawing Process of 6061 Aluminum Alloy. Int. J. Mech. Eng. 2016, 5, 11–24. [Google Scholar]
- Folle, L.F.; Schaeffer, L. Effect of surface roughness and lubrication on the friction coefficient in deep drawing processes of aluminum alloy aa1100 with fem analysis 1. Matéria 2019, 24, e-12298. [Google Scholar] [CrossRef]
- Srirat, J.; Kitayama, S.; Yamazaki, K. Optimization of initial blank shape with a variable blank holder force in deep-drawing via sequential approximate optimization. J. Adv. Mech. Des. Syst. Manuf. 2012, 6, 1093–1106. [Google Scholar] [CrossRef]
- Li, H.; Wang, Q.; He, F.; Zheng, Y. An intelligent prediction strategy of the maximum thinning rate of cylindrical part with flange during sheet metal drawing process. In Proceedings of the 2019 Chinese Control And Decision Conference (CCDC), Nanchang, China, 3–5 June 2019; IEEE: New York, NY, USA, 2019; pp. 2876–2881. [Google Scholar] [CrossRef]
- Kitayama, S.; Koyama, H.; Kawamoto, K.; Noda, T.; Yamamichi, K.; Miyasaka, T. Numerical and experimental case study on simultaneous optimization of blank shape and variable blank holder force trajectory in deep drawing. Struct. Multidiscip. Optim. 2017, 55, 347–359. [Google Scholar] [CrossRef]
- Kitayama, S.; Yamada, S. Simultaneous optimization of blank shape and variable blank holder force of front side member manufacturing by deep drawing. Int. J. Adv. Manuf. Technol. 2017, 91, 1381–1390. [Google Scholar] [CrossRef]
- Kitayama, S.; Yokoyama, M.; Kawamoto, K.; Noda, T.; Miyasaka, T.; Echigo, Y. Practical approach of simultaneous optimization of variable blank holder force and variable slide velocity trajectory in sheet metal forming. Int. J. Adv. Manuf. Technol. 2018, 98, 2693–2703. [Google Scholar] [CrossRef]
- Tran, M.T.; Shan, Z.; Lee, H.W.; Kim, D.K. Earing reduction by varying blank holding force in deep drawing with deep neural network. Metals 2021, 11, 395. [Google Scholar] [CrossRef]
- Feng, Y.; Lu, R.; Gao, Y.; Zheng, H.; Wang, Y.; Mo, W. Multi-objective optimization of VBHF in sheet metal deep-drawing using Kriging, MOABC, and set pair analysis. Int. J. Adv. Manuf. Technol. 2018, 96, 3127–3138. [Google Scholar] [CrossRef]
- Feng, Y.; Hong, Z.; Gao, Y.; Lu, R.; Wang, Y.; Tan, J. Optimization of variable blank holder force in deep drawing based on support vector regression model and trust region. Int. J. Adv. Manuf. Technol. 2019, 105, 4265–4278. [Google Scholar] [CrossRef]
- Zhai, J.; Zhang, Q.; Zhang, Z.; Sun, Y.; Qin, X.; Chen, X. Optimal design for springback of automotive panel forming with kriging model. In Proceedings of the 2019 International Conference on Advances in Construction Machinery and Vehicle Engineering (ICACMVE), Changsha, China, 14–16 May 2019; IEEE: New York, NY, USA, 2019; pp. 23–28. [Google Scholar] [CrossRef]
- Xie, Y.; Tang, W.; Zhang, F.; Pan, B.; Yue, Y.; Feng, M. Optimization of variable blank holder force based on a sharing niching RBF neural network and an improved NSGA-II algorithm. Int. J. Precis. Eng. Manuf. 2019, 20, 285–299. [Google Scholar] [CrossRef]
- Taşkın, A.; Dengiz, C.G. Experimental and numerical optimization of deep drawing process parameters for square medical container design with the Taguchi method. Int. J. Adv. Manuf. Technol. 2024, 132, 2643–2659. [Google Scholar] [CrossRef]
- Jiang, X.; Hong, Z.; Feng, Y.; Tan, J. Multi-Objective Optimization of VBHF in Deep Drawing Based on the Improved QO-Jaya Algorithm. Chin. J. Mech. Eng. 2024, 37, 5. [Google Scholar] [CrossRef]
- Yu, J.; Zheng, M. Parameter Design of Materials Processing in Term of Probabilistic Multi-objective Optimization. Adv. Mater. Lett. 2024, 15, 2402-1748. [Google Scholar] [CrossRef]
- Chheda, A.M.; Nazro, L.; Sen, F.G.; Hegadekatte, V. Prediction of forming limit diagrams using machine learning. IOP Conf. Ser. Mater. Sci. Eng. 2019, 651, 012107. [Google Scholar] [CrossRef]
- Finamor, F.P.; Wolff, M.A.; Lage, V.S. Prediction of forming limit diagrams from tensile tests of automotive grade steels by a machine learning approach. IOP Conf. Ser. Mater. Sci. Eng. 2021, 1157, 012080. [Google Scholar] [CrossRef]
- Derogar, A.; Djavanroodi, F. Artificial neural network modeling of forming limit diagram. Mater. Manuf. Process. 2011, 26, 1415–1422. [Google Scholar] [CrossRef]
- Abiodun, O.I.; Jantan, A.; Omolara, A.E.; Dada, K.V.; Mohamed, N.A.; Arshad, H. State-of-the-art in artificial neural network applications: A survey. Heliyon 2018, 4, e00938. [Google Scholar] [CrossRef]
- Tang, X.; Wang, Z.; Deng, L.; Wang, X.; Long, J.; Jiang, X.; Jin, J.; Xia, J. A Review of the Intelligent Optimization and Decision in Plastic Forming. Materials 2022, 15, 7019. [Google Scholar] [CrossRef] [PubMed]
- Gantar, G.; Kuzman, K. Optimization of stamping processes aiming at maximal process stability. J. Mater. Process. Technol. 2005, 167, 237–243. [Google Scholar] [CrossRef]
- Zhang, W.; Shivpuri, R. Probabilistic design of aluminum sheet drawing for reduced risk of wrinkling and fracture. Reliab. Eng. Syst. Saf. 2009, 94, 152–161. [Google Scholar] [CrossRef]
- Zhang, W.; Li, Y.; Li, J. Reliability-based process design and optimization. In Proceedings of the 2011 9th International Conference on Reliability, Maintainability and Safety, Guiyang, China, 12–15 June 2011; IEEE: New York, NY, USA, 2011; pp. 1096–1100. [Google Scholar] [CrossRef]
- Marretta, L.; Di Lorenzo, R. Influence of material properties variability on springback and thinning in sheet stamping processes: A stochastic analysis. Int. J. Adv. Manuf. Technol. 2010, 51, 117–134. [Google Scholar] [CrossRef]
- Marretta, L.; Ingarao, G.; Di Lorenzo, R. Design of sheet stamping operations to control springback and thinning: A multi-objective stochastic optimization approach. Int. J. Mech. Sci. 2010, 52, 914–927. [Google Scholar] [CrossRef]
- Keeler, S.P. Plastic instability and fracture in sheets stretched over rigid punches. Ph.D. Dissertation, Massachusetts Institute of Technology, Cambridge, MA, USA, 1961. [Google Scholar]
- Goodwin, G.M. Application of strain analysis to sheet metal forming problems in the press shop. SAE Trans. 1968, 77, 380–387. [Google Scholar]
- Sivam SS, S.; Harshavardhana, N.; Rajendran, R. Artificial Neural Network prediction of forming limit diagram for directionally-rolled, size scaled copper strips. Proc. Inst. Mech. Eng. Part C J. Mech. Eng. Sci. 2024, 238, 3299–3307. [Google Scholar] [CrossRef]
- Paul, S.K. Prediction of complete forming limit diagram from tensile properties of various steel sheets by a nonlinear regression based approach. J. Manuf. Process. 2016, 23, 192–200. [Google Scholar] [CrossRef]
- Dengiz, C.G.; Şahinb, F. Prediction of forming limit diagrams for steel sheets with an artificial neural network and comparison with empirical and theoretical models. Res. Eng. Struct. Mater. 2023. [Google Scholar] [CrossRef]
- Barlat, F.; Aretz, H.; Yoon, J.W.; Karabin, M.; Brem, J.C.; Dick, R. Linear transfomation-based anisotropic yield functions. Int. J. Plast. 2005, 21, 1009–1039. [Google Scholar] [CrossRef]
- Miettinen, K.M. Nonlinear Multiobjective Optimization; Kluwer Academic Publishers: Dordrecht, The Netherlands, 1998. [Google Scholar]
- Venturato, G.; Ghiotti, A.; Bruschi, S. Stress-state dependent formability modelling in hot stamping. Prod. Eng. 2020, 14, 105–114. [Google Scholar] [CrossRef]
- Kim, D.Y.; Han, Y.; Shin, S.; Yook, H. Numerical fracture analysis considering forming effect and element size regularization for automotive seat structures. SAE Int. J. Engines 2017, 10, 287–295. [Google Scholar] [CrossRef]
- Samadian, P.; ten Kortenaar, L.; Omer, K.; Butcher, C.; Worswick, M.J. Fracture characterization of tailored Usibor® 1500-AS and damage modelling based on a coupled-micromechanical-phenomenological strategy. Eng. Fract. Mech. 2020, 223, 106785. [Google Scholar] [CrossRef]
- Neukamm, F.; Feucht, M.; Haufe, A. Consistent damage modelling in the process chain of forming to crashworthiness simulations. LS-Dyna Anwenderforum 2008, 30, 11–20. [Google Scholar]
- Basaran, M.; Wölkerling, S.D.; Feucht, M.; Neukamm, F.; Weichert, D.; Daimlerag, S. An extension of the GISSMO damage model based on lode angle dependence. LS-DYNA Anwenderforum 2010, 15, 15. [Google Scholar]
- Andrade, F.X.C. Non-Local Modelling of Ductile Damage: Formulation and Numerical Issues. Ph.D. Dissertation, Universidade do Porto, Porto, Portugal, 2011. [Google Scholar]
- Andrade, F.X.C.; Feucht, M.; Haufe, A.; Neukamm, F. An incremental stress state dependent damage model for ductile failure prediction. Int. J. Fract. 2016, 200, 127–150. [Google Scholar] [CrossRef]
- Anderson, D.; Butcher, C.; Pathak, N.; Worswick, M.J. Failure parameter identification and validation for a dual-phase 780 steel sheet. Int. J. Solids Struct. 2017, 124, 89–107. [Google Scholar] [CrossRef]
- Bao, Y.; Wierzbicki, T. On fracture locus in the equivalent strain and stress triaxiality space. Int. J. Mech. Sci. 2004, 46, 81–98. [Google Scholar] [CrossRef]
- Algarni, M.; Bai, Y.; Choi, Y. A study of Inconel 718 dependency on stress triaxiality and Lode angle in plastic deformation and ductile fracture. Eng. Fract. Mech. 2015, 147, 140–157. [Google Scholar] [CrossRef]
- Kim, M.; Hong, S. Simulation of shear fracture in sheet metal forming of thick plates under triaxial stress states. J. Mech. Sci. Technol. 2019, 33, 4413–4419. [Google Scholar] [CrossRef]
- Goswami, M.; Goyal, S.; Kumar, A.; Harmain, G.A.; Albert, S.K. Effect of triaxial state of stress on tensile behavior of modified 9Cr-1Mo steel. J. Mater. Eng. Perform. 2020, 29, 1579–1588. [Google Scholar] [CrossRef]
- Mohr, D.; Dunand, M.; Kim, K.H. Evaluation of associated and non-associated quadratic plasticity models for advanced high strength steel sheets under multi-axial loading. Int. J. Plast. 2010, 26, 939–956. [Google Scholar] [CrossRef]
- Mohr, D.; Marcadet, S.J. Micromechanically-motivated phenomenological Hosford–Coulomb model for predicting ductile fracture initiation at low stress triaxialities. Int. J. Solids Struct. 2015, 67, 40–55. [Google Scholar] [CrossRef]
- Bressan, J.D.; Liewald, M.; Drotleff, K. Predictions of forming limit curves of AA6014 aluminium alloy at room temperature. Procedia Manuf. 2020, 47, 1293–1299. [Google Scholar] [CrossRef]
- Werber, A.; Liewald, M.; Nester, W.; Grünbaum, M.; Wiegand, K.; Simon, J.; Timm, J.; Bassi, C.; Hotz, W. Influence of different pre-stretching modes on the Forming Limit Diagram of AA6014. Key Eng. Mater. 2012, 504, 71–76. [Google Scholar] [CrossRef]
- He, X.; Oyadiji, S.O. Application of coefficient of variation in reliability-based mechanical design and manufacture. J. Mater. Process. Technol. 2001, 119, 374–378. [Google Scholar] [CrossRef]
- Li, H.; Foschi, R.; Vaziri, R.; Fernlund, G.; Poursartip, A. Probability-based modelling of composites manufacturing and its application to optimal process design. J. Compos. Mater. 2002, 36, 1967–1991. [Google Scholar] [CrossRef]
- Shechtman, O. The coefficient of variation as an index of measurement reliability. In Methods of clinical epidemiology; Springer: Berlin/Heidelberg, Germany, 2013; pp. 39–49. [Google Scholar] [CrossRef]
- Jalilibal, Z.; Amiri, A.; Castagliola, P.; Khoo, M.B. Monitoring the coefficient of variation: A literature review. Comput. Ind. Eng. 2021, 161, 107600. [Google Scholar] [CrossRef]
- Hamilton, A.; Tran, T.; Mckay, M.B.; Quiring, B.; Vassilevski, P.S. Dnn Approximation of Nonlinear Finite Element Equations (No. LLNL-TR-791918); Lawrence Livermore National Lab. (LLNL): Livermore, CA, USA, 2019. [Google Scholar]
- Jamli, M.R.; Farid, N.M. The sustainability of neural network applications within finite element analysis in sheet metal forming: A review. Measurement 2019, 138, 446–460. [Google Scholar] [CrossRef]
- He, K.; Zhang, X.; Ren, S.; Sun, J. Deep residual learning for image recognition. In Proceedings of the IEEE Conference on Computer Vision and Pattern Recognition, Las Vegas, NV, USA, 27–30 June 2016; pp. 770–778. [Google Scholar]
- Simonyan, K.; Zisserman, A. Very deep convolutional networks for large-scale image recognition. arXiv 2014, arXiv:1409.1556. [Google Scholar] [CrossRef]
- Szegedy, C.; Liu, W.; Jia, Y.; Sermanet, P.; Reed, S.; Anguelov, D.; Erhan, D.; Vanhoucke, V.; Rabinovich, A. Going deeper with convolutions. In Proceedings of the IEEE Conference on Computer Vision and Pattern Recognition, Boston, MA, USA, 7–12 June 2015; pp. 1–9. [Google Scholar]
- Glorot, X.; Bordes, A.; Bengio, Y. Deep sparse rectifier neural networks. In Proceedings of the Fourteenth International Conference on Artificial Intelligence and Statistics, Fort Lauderdale, FL, USA, 11–13 April 2011; pp. 315–323. [Google Scholar]
- Nair, V.; Hinton, G.E. Rectified linear units improve restricted boltzmann machines. In Proceedings of the 27th International Conference on Machine Learning (ICML-10), Haifa, Israel, 21–24 June 2010; pp. 807–814. [Google Scholar]
- Cui, B.; Guo, H.; Zhou, Z.H. Multi-task deep neural networks for non-linear regression. In Proceedings of the Thirtieth AAAI Conference on Artificial Intelligence (AAAI), Phoenix, AZ, USA, 12–17 February 2016. [Google Scholar]
- Zhang, W.; Wu, X.; Liu, T. A comparative study of deep neural networks for non-linear regression. J. Comput. Sci. Technol. 2018, 33, 478–496. [Google Scholar]
- Kingma, D.P.; Ba, J. Adam: A method for stochastic optimization. arXiv 2014, arXiv:1412.6980. [Google Scholar] [CrossRef]
- Reddi, S.J.; Kale, S.; Kumar, S. On the convergence of adam and beyond. arXiv 2019, arXiv:1904.09237. [Google Scholar] [CrossRef]
- Goyal, P.; Dollár, P.; Girshick, R.; Noordhuis, P.; Wesolowski, L.; Kyrola, A.; Tulloch, A.; Jia, Y.; He, K. Accurate, large minibatch sgd: Training imagenet in 1 hour. arXiv 2017, arXiv:1706.02677. [Google Scholar] [CrossRef]
- Keskar, N.S.; Mudigere, D.; Nocedal, J.; Smelyanskiy, M.; Tang, P.T.P. On large-batch training for deep learning: Generalization gap and sharp minima. arXiv 2016, arXiv:1609.04836. [Google Scholar] [CrossRef]


















| Literature | Method | Input | Output |
|---|---|---|---|
| Srirat et al., 2012 [15] | LHD, RBF, SAO | BS, VBHF, traj | Earing |
| Kitayama et al., 2017 [17] | LHD, RBF, SAO | S-VBHF, BS, traj | Failure, wrinkling |
| Kitayama et al., 2017 [18] | LHD, RBF, SAO | VBHF, BS, traj | Failure, wrinkling |
| Kitayama et al., 2018 [19] | DOE, LHD, RBF, SAO | VBHF, BS, traj | Failure, wrinkling |
| Feng et al., 2018 [21] | LHD, MOABC, SPA | VBHF, traj | Failure, wrinkling, springback |
| Feng et al., 2019 [22] | LHD, SVR | VBHF, traj | Failure, wrinkling |
| Li et al., 2019 [16] | BPNN, MSE | CBHF | Thinning, thickness |
| Zhai et al., 2019 [23] | BBD, Kriging, MBC GA | vp, μ, DS, CBHF | Springback |
| Xie et al., 2019 [24] | LHS, SNRBF, NSGA-II, GRA | CBHF, traj | Thickening, thinning |
| Tran et al., 2021 [20] | DNN, GA | S-CBHF, DS | Earing, thickness |
| Yu et al., 2024 [27] | PMOO, SNTO | forming temperature, BHF | Thinning, springback |
| Jiang et al., 2024 [28] | LHD, Kriging, QO-Jaya | VBHF, traj | Failure, wrinkling |
| Guo et al., 2024 [10] | ANOVA, DOE, DNN, NSGA-II | S-VBHF, traj, DBFS, μ | Failure, wrinkling, springback |
| This study | LHD, DNN, NSGA-II | S-VBHF, traj | Failure, wrinkling, springback |
| Literature | Method | Input | Output |
|---|---|---|---|
| Ali Derogar et al., 2011 [30] | ANN (3-4-2) | punch stroke, LDR, oil pressure | ε2, ε1 |
| Paul, S. K. et al., 2016 [42] | regression equation | UTS, n, r, t, EU | ε2, ε1, FLC0 |
| Chheda et al., 2019 [28] | SVR, GBR, NN (-) | CC, Th, th, Ti, To, tr, tC, TC, tag, n, r | ε2, ε1 |
| F P Finamor et al., 2021 [41] | NN (-) | YS, UTS, EU, EL, R, n, t, | ε2, ε1 |
| CG Dengiz et al., 2023 [29] | ANN (6-15-22-3) | YS, UTS, ε, K, n, t, | ε2u, ε1u, FLC0, ε2b, ε1b |
| SPSS Sivam et al., 2023 [40] | BR, LM, ANN | t, forming rates | ε2, ε1 |
| This study | DNN (100-600-100-50) | Fracture locus | ε2, ε1 |
| C′12 | C′13 | C′21 | C′23 | C′31 | C′32 | C′44 | C′55 | C′66 |
| 0.785 | 0.684 | 0.725 | 1.435 | 0.805 | 0.901 | 1.026 | 1.041 | 0.901 |
| C″12 | C″13 | C″21 | C″23 | C″31 | C″32 | C″44 | C″55 | C″66 |
| 1.124 | 1.116 | 1.036 | 0.804 | 0.523 | 0.415 | 0.726 | 0.813 | 0.961 |
Disclaimer/Publisher’s Note: The statements, opinions and data contained in all publications are solely those of the individual author(s) and contributor(s) and not of MDPI and/or the editor(s). MDPI and/or the editor(s) disclaim responsibility for any injury to people or property resulting from any ideas, methods, instructions or products referred to in the content. |
© 2024 by the authors. Licensee MDPI, Basel, Switzerland. This article is an open access article distributed under the terms and conditions of the Creative Commons Attribution (CC BY) license (https://creativecommons.org/licenses/by/4.0/).
Share and Cite
Guo, F.; Jeong, H.; Park, D.; Kim, G.; Sung, B.; Kim, N. Numerical Optimization of Variable Blank Holder Force Trajectories in Stamping Process for Multi-Defect Reduction. Materials 2024, 17, 2578. https://doi.org/10.3390/ma17112578
Guo F, Jeong H, Park D, Kim G, Sung B, Kim N. Numerical Optimization of Variable Blank Holder Force Trajectories in Stamping Process for Multi-Defect Reduction. Materials. 2024; 17(11):2578. https://doi.org/10.3390/ma17112578
Chicago/Turabian StyleGuo, Feng, Hoyoung Jeong, Donghwi Park, Geunho Kim, Booyong Sung, and Naksoo Kim. 2024. "Numerical Optimization of Variable Blank Holder Force Trajectories in Stamping Process for Multi-Defect Reduction" Materials 17, no. 11: 2578. https://doi.org/10.3390/ma17112578
APA StyleGuo, F., Jeong, H., Park, D., Kim, G., Sung, B., & Kim, N. (2024). Numerical Optimization of Variable Blank Holder Force Trajectories in Stamping Process for Multi-Defect Reduction. Materials, 17(11), 2578. https://doi.org/10.3390/ma17112578
