Lightweight Potential of Anisotropic Plate Lattice Metamaterials
Abstract
1. Introduction
2. Materials
2.1. Constituent Material
2.2. The Architecture and Manufacturing of the Anisotropic Plate Lattices
3. Computational Methods
3.1. The Numerical Homogenization of the Linear Elastic Properties of the Plate Lattice Structures
3.1.1. Unit-Cell Models with Periodic Boundary Conditions
- Uniaxial tensile loading in the x-direction;
- Uniaxial tensile loading in the z-direction;
- Pure shear loading in the xy-plane;
- Pure shear loading in the xz-plane.
3.1.2. Modeling for the Characterization of the Anisotropy of the Lattice Metamaterials
3.1.3. Unit-Cell Models of an Equilateral Hexagonal Honeycomb Metamaterial
3.1.4. Modeling for the Optimization of the Wall Thicknesses
3.2. Models for Stability Analysis
3.2.1. Unit-Cell Model with PBCs
3.2.2. Unit-Cell Model without PBCs
3.2.3. Multi-Cell Model without PBCs
3.3. Modeling for the Analysis of Stress Concentrations
4. Results and Discussion
4.1. The Homogenization of the Anisotropic Plate Lattice Structures
4.1.1. Characterization of Anisotropic Elasticity
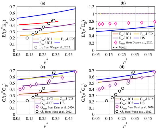
4.1.2. Effective Elastic Properties and Evaluation of Lightweight Potential
4.1.3. Optimization of Wall Thicknesses
4.2. The Stability Behavior of the Plate Lattice Structures under Compression Loading along the x-Direction
4.3. Influence of Different Notch Radii on the Stress Concentrations and Effective Stiffnesses
5. Conclusions
- It is shown that, by selecting appropriate representative volume elements, no buckling modes are suppressed by using periodic boundary conditions.
- In all plate lattice structures, plastic deformation occurs prior to stability failure under compressive loading both in the axial direction and perpendicular to it, as well as under shear loading in the plane perpendicular to the axial direction.
- Unit cell UC2 exhibits the highest weight-specific stability parameters for buckling under compressive loading in the axial direction or perpendicular to it, as well as for buckling under shear loading in the plane perpendicular to the axial direction.
Author Contributions
Funding
Institutional Review Board Statement
Informed Consent Statement
Data Availability Statement
Conflicts of Interest
Appendix A


References
- Rehm, O. Cellular Design for Laser Freeform Fabrication. In Schriftenreihe Lasertechnik; Cuvillier: Göttingen, Germany, 2010; Volume 1. [Google Scholar]
- Großmann, A. Fertigungsgetriebene Gestaltung Zellulärer Strukturen beim Pulverbasierten Laserstrahlschmelzen. Ph.D. Dissertation, Universität Darmstadt, Darmstadt, Germany, 2020. [Google Scholar] [CrossRef]
- Metelkova, J.; Kinds, Y.; Kempen, K.; de Formanoir, C.; Witvrouw, A.; van Hooreweder, B. On the influence of laser defocusing in Selective Laser Melting of 316L. Addit. Manuf. 2018, 23, 161–169. [Google Scholar] [CrossRef]
- Dallago, M.; Winiarski, B.; Zanini, F.; Carmignato, S.; Benedetti, M. On the effect of geometrical imperfections and defects on the fatigue strength of cellular lattice structures additively manufactured via Selective Laser Melting. Int. J. Fatigue 2019, 124, 348–360. [Google Scholar] [CrossRef]
- Rasch, M.; Bartels, D.; Sun, S.; Schmidt, M. AlSi10Mg in Powder Bed Fusion with Laser Beam: An Old and Boring Material? Materials 2022, 15, 5651. [Google Scholar] [CrossRef] [PubMed]
- Großmann, A.; Gosmann, J.; Mittelstedt, C. Lightweight lattice structures in selective laser melting: Design, fabrication and mechanical properties. Mater. Sci. Eng. A 2019, 766, 138356. [Google Scholar] [CrossRef]
- Sos, M.; Meyer, G.; Durst, K.; Mittelstedt, C.; Bruder, E. Microstructure and mechanical properties of additively manufactured AlSi10Mg lattice structures from single contour exposure. Mater. Des. 2023, 227, 111796. [Google Scholar] [CrossRef]
- Li, D.; Liao, W.; Dai, N.; Xie, Y.M. Anisotropic design and optimization of conformal gradient lattice structures. Comput.-Aided Des. 2020, 119, 102787. [Google Scholar] [CrossRef]
- Kotzem, D.; Arold, T.; Niendorf, T.; Walther, F. Influence of specimen position on the build platform on the mechanical properties of as-built direct aged electron beam melted Inconel 718 alloy. Mater. Sci. Eng. A 2020, 772, 138785. [Google Scholar] [CrossRef]
- Li, Z.; Nie, Y.; Liu, B.; Kuai, Z.; Zhao, M.; Liu, F. Mechanical properties of AlSi10Mg lattice structures fabricated by selective laser melting. Mater. Des. 2020, 192, 161–169. [Google Scholar] [CrossRef]
- Sert, E.; Schuch, E.; Öchsner, A.; Hitzler, L.; Werner, E.; Merkel, M. Tensile strength performance with determination of the Poisson‘s ratio of additively manufactured AlSi10Mg samples. Mater. Werkst. 2019, 50, 539–545. [Google Scholar] [CrossRef]
- Maskery, I.; Aboulkhair, N.T.; Aremu, A.O.; Tuck, C.J.; Ashcroft, I.A.; Wildman, R.D.; Hague, R.J.M. A mechanical property evaluation of graded density Al-Si10-Mg lattice structures manufactured by selective laser melting. Mater. Sci. Eng. 2016, 670, 264–274. [Google Scholar] [CrossRef]
- Leary, M.; Mazur, M.; Elambasseril, J.; McMillan, M.; Chirent, T.; Sun, Y.; Qian, M.; Easton, M.; Brandt, M. Selective laser melting (SLM) of AlSi12Mg lattice structures. Mater. Des. 2016, 98, 344–357. [Google Scholar] [CrossRef]
- Gralow, M.; Weigand, F.; Herzog, D.; Wischeropp, T.; Emmelmann, C. Biomimetic design and laser additive manufacturing—A perfect symbiosis? J. Laser Appl. 2020, 32, 021201. [Google Scholar] [CrossRef]
- Meza, L.R.; Zelhofer, A.J.; Clarke, N.; Mateos, A.J.; Kochmann, D.M.; Greer, J.R. Resilient 3D hierarchical architected metamaterials. Proc. Natl. Acad. Sci. USA 2015, 112, 11502–11507. [Google Scholar] [CrossRef] [PubMed]
- Emmelmann, C.; Sander, P.; Kranz, J.; Wycisk, E. Laser Additive Manufacturing and Bionics: Redefining Lightweight Design. Phys. Procedia 2011, 12, 364–368. [Google Scholar] [CrossRef]
- Teufelhart, S. Belastungsoptimiertes Design von Gitterstrukturen für Die Additive Fertigung nach dem Bionischen Prinzip der Kraftflussgerechten Gestaltung. Ph.D. Dissertation, Technische Universität München, München, Germany, 2016. [Google Scholar]
- Li, S.; Xin, Y.; Yu, Y.; Wang, Y. Design for additive manufacturing from a force-flow perspective. Mater. Des. 2021, 204, 109664. [Google Scholar] [CrossRef]
- Duan, S.; Wen, W.; Fang, D. Additively-manufactured anisotropic and isotropic 3D plate-lattice materials for enhanced mechanical performance: Simulations & experiments. Acta Mater. 2020, 199, 397–412. [Google Scholar] [CrossRef]
- Garcia-Taormina, A.R.; Alwen, A.; Schwaiger, R.; Hodge, A.M. A review of coated nano- and micro-lattice materials. J. Mater. Res. 2021, 36, 3607–3627. [Google Scholar] [CrossRef]
- Jamshidian, M.; Boddeti, N.; Rosen, D.W.; Weeger, O. Multiscale modelling of soft lattice metamaterials: Micromechanical nonlinear buckling analysis, experimental verification, and macroscale constitutive behaviour. Int. J. Mech. Sci. 2020, 188, 105956. [Google Scholar] [CrossRef]
- Alwattar, T.; Mian, A. Development of an Elastic Material Model for BCC Lattice Cell Structures Using Finite Element Analysis and Neural Networks Approaches. J. Compos. Sci. 2019, 3, 33. [Google Scholar] [CrossRef]
- Tancogne-Dejean, T.; Mohr, D. Elastically-isotropic truss lattice materials of reduced plastic anisotropy. Int. J. Solids Struct. 2018, 138, 24–39. [Google Scholar] [CrossRef]
- Xu, S.; Shen, J.; Zhou, S.; Huang, X.; Xie, Y.M. Design of lattice structures with controlled anisotropy. Mater. Des. 2016, 93, 443–447. [Google Scholar] [CrossRef]
- Tancogne-Dejean, T.; Diamantopoulou, M.; Gorji, M.B.; Bonatti, C.; Mohr, D. 3D Plate-Lattices: An Emerging Class of Low-Density Metamaterial Exhibiting Optimal Isotropic Stiffness. Adv. Mater. 2018, 30, 1803334. [Google Scholar] [CrossRef] [PubMed]
- Tancogne-Dejean, T.; Li, X.; Diamantopoulou, M.; Roth, C.C.; Mohr, D. High Strain Rate Response of Additively-Manufactured Plate-Lattices: Experiments and Modeling. J. Dyn. Behav. Mater. 2019, 5, 361–375. [Google Scholar] [CrossRef]
- Wang, X.; Zhang, L.; Song, B.; Zhang, Z.; Zhang, J.; Fan, J.; Wei, S.; Han, Q.; Shi, Y. Tunable mechanical performance of additively manufactured plate lattice metamaterials with half-open-cell topology. Compos. Struct. 2022, 300, 116172. [Google Scholar] [CrossRef]
- Bonatti, C.; Mohr, D. Smooth-shell metamaterials of cubic symmetry: Anisotropic elasticity, yield strength and specific energy absorption. Acta Mater. 2019, 164, 301–321. [Google Scholar] [CrossRef]
- Chen, X.; Ji, Q.; Wei, J.; Tan, H.; Yu, J.; Zhang, P.; Laude, V.; Kadic, M. Light-weight shell-lattice metamaterials for mechanical shock absorption. Int. J. Mech. Sci. 2020, 169, 105288. [Google Scholar] [CrossRef]
- Sajadi, S.M.; Owuor, P.S.; Schara, S.; Woellner, C.F.; Rodrigues, V.; Vajtai, R.; Lou, J.; Galvão, D.S.; Tiwary, C.S.; Ajayan, P.M. Multiscale Geometric Design Principles Applied to 3D Printed Schwarzites. Adv. Mater. 2018, 30, 1704820. [Google Scholar] [CrossRef] [PubMed]
- Bonatti, C.; Mohr, D. Mechanical performance of additively-manufactured anisotropic and isotropic smooth shell-lattice materials: Simulations & experiments. J. Mech. Phys. Solids 2019, 122, 1–26. [Google Scholar] [CrossRef]
- Simsek, U.; Ozdemir, M.; Sendur, P. An efficient design methodology for graded surface-based lattice structures using free-size optimization and enhanced mapping method. Mater. Des. 2021, 210, 110039. [Google Scholar] [CrossRef]
- Böhm, H. Mechanics of Microstructured Materials; Springer: Berlin/Heidelberg, Germany, 2004. [Google Scholar] [CrossRef]
- Gross, D.; Seelig, T. Bruchmechanik. Mit einer Einführung in die Mikromechanik, 5th ed.; Mechanical Engineering Series; Springer: Berlin/Heidelberg, Germany, 2011. [Google Scholar]
- Werner, E.; Wesnejak, R.; Fillafer, A.; Meier, F.; Krempaszky, C. Microstructure-based modelling of multiphase materials and complex structures. Contin. Mech. Thermodyn. 2015, 28, 1325–1346. [Google Scholar] [CrossRef]
- Li, S. On the unit cell for micromechanical analysis of fibre-reinforced composites. Proc. R. Soc. London. Ser. A 1999, 455, 815–838. [Google Scholar] [CrossRef]
- Li, S. General unit cells for micromechanical analyses of unidirectional composites. Compos. Part A 2001, 32, 815–826. [Google Scholar] [CrossRef]
- Li, S. Boundary conditions for unit cells from periodic microstructures and their implications. Compos. Sci. Technol. 2008, 68, 1962–1974. [Google Scholar] [CrossRef]
- Li, S.; Wongsto, A. Unit cells for micromechanical analyses of particle-reinforced composites. Mech. Mater. 2004, 36, 543–572. [Google Scholar] [CrossRef]
- Li, S.; Sitnikova, E. 1.18 An Excursion into Representative Volume Elements and Unit Cells. In Comprehensive Composite Materials II; Beaumont, P.W.R., Zweben, C.H., Eds.; Elsevier: Oxford, UK, 2018; pp. 451–489. [Google Scholar] [CrossRef]
- Hashin, Z.; Shtrikman, S. A variational approach to the theory of the elastic behaviour of multiphase materials. J. Mech. Phys. Solids 1963, 11, 127–140. [Google Scholar] [CrossRef]
- García-Ávila, J.; Cuan-Urquizo, E.; Ramírez-Cedillo, E.; Rodríguez, C.A.; Vargas-Martínez, A. Novel porous structures with non-cubic symmetry: Synthesis, elastic anisotropy, and fatigue life behavior. Math. Mech. Solids 2023, 28, 943–972. [Google Scholar] [CrossRef]
- Yu, X.; Deng, Z.; Li, H.; Ma, Y.; Ma, X.; Zheng, Q. Anisotropic hydrogel fabricated by controlled diffusion as a bio-scaffold for the regeneration of cartilage injury. RSC Adv. 2022, 12, 28254–28263. [Google Scholar] [CrossRef] [PubMed]
- Ní Annaidh, A.; Destrade, M.; Gilchrist, M.D.; Murphy, J.G. Deficiencies in numerical models of anisotropic nonlinearly elastic materials. Biomech. Model. Mechanobiol. 2013, 12, 781–791. [Google Scholar] [CrossRef] [PubMed]
- Shah, G.J.; Nazir, A.; Lin, S.C.; Jeng, J.Y. Design for Additive Manufacturing and Investigation of Surface-Based Lattice Structures for Buckling Properties Using Experimental and Finite Element Methods. Materials 2022, 15, 4037. [Google Scholar] [CrossRef]
- Bluhm, G.L.; Christensen, K.; Poulios, K.; Sigmund, O.; Wang, F. Experimental verification of a novel hierarchical lattice material with superior buckling strength. Materials 2022, 10, 1390. [Google Scholar] [CrossRef]
- Liu, J.; Wang, G.; Lei, Z. Comparisons on the Local Impact Response of Sandwich Panels with In-Plane and Out-Of-Plane Honeycomb Cores. Sustainability 2023, 15, 3437. [Google Scholar] [CrossRef]
- Valente, G.; Ghasemnejad, H.; Srimanosaowapak, S.; Watson, J.W. Advancement in Design and Failure Analysis of Aluminium Foam-filled Honeycomb Crash Absorbers. Appl. Compos. Mater. 2023, 30, 705–726. [Google Scholar] [CrossRef]
- Riß, F. Funktions-und Belastungsgerechte Auslegung Additiv Gefertigter Wabenkerne für Sandwichbauteile. Ph.D. Thesis, Technische Universität München, München, Germany, 2016. [Google Scholar]
- Gibson, L.J.; Ashby, M.F. (Eds.) Cellular Solids: Structure and Properties, 2nd ed.; Cambridge Solid State Science Series; Cambridge University Press: Cambridge, UK, 2014. [Google Scholar]
- Aconity3D. Data-SheetAl-alloy:AlSi10Mg. Available online: https://aconity3d.com/documents/materials/Data%20Sheet_AlSi10Mg_0320.pdf (accessed on 9 May 2024).
- Hovig, E.W.; Azar, A.S.; Mhamdi, M.; Sørby, K. Mechanical Properties of AlSi10Mg Processed by Laser Powder Bed Fusion at Elevated Temperature. In Proceedings of the TMS 2020 149th Annual Meeting & Exhibition Supplemental Proceedings; Springer: Cham, Switzerland, 2020; pp. 395–404. [Google Scholar] [CrossRef]
- Aconity3D. Aconity Midi LPBF-Machine. Available online: https://aconity3d.com/de/products/aconity-midi/ (accessed on 9 May 2024).
- Ostermann, F. Anwendungstechnologie Aluminium; Springer: Berlin/Heidelberg, Germany, 2014. [Google Scholar] [CrossRef]
- Gupta Permold Corporation. Designing for Extrusion. Available online: https://www.guptapermold.com/products/aluminum-extrusion/design-for-extrusion/ (accessed on 9 May 2024).
- Sapa. Design Manuel. Available online: https://pdfcoffee.com/qdownload/sapa-extrusion-design-manual-pdf-free.html (accessed on 9 May 2024).
- Profile Precision Extrusion. Extruded Aluminium Products—Thin Is in. Available online: https://profileprecisionextrusions.com/extruded-aluminum-products-thin/ (accessed on 9 May 2024).
- Capaplex. Aluminium Extrusion Design. Available online: https://capalex.co.uk/extrusion-design-considerations/aluminium-extrusion-design#:~:text=Wall%20thickness%20can%20be%20as,subject%20to%20design%20and%20alloy (accessed on 9 May 2024).
- Zhang, W.; Yang, J.; Xu, Y.; Gao, T. Topology optimization of thermoelastic structures: Mean compliance minimization or elastic strain energy minimization. Struct. Multidiscip. Optim. 2013, 49, 417–429. [Google Scholar] [CrossRef]
- Simulia. Abaqus 2016 Documentation. Available online: https://classes.engineering.wustl.edu/2009/spring/mase5513/abaqus/docs/v6.6/index.html (accessed on 9 May 2024).
- Voigt, W. Theoretische Studien über die Elasticitätsverhältnisse der Krystalle. I. Abh. Königlichen Ges. Wiss. Göttingen 1887, 34, 3–52. [Google Scholar]
- Klaus, H.; Huber, O.; Kuhn, G. Lightweight Potential of Novel Cellular Spherical Composites. Adv. Eng. Mater. 2005, 7, 1117–1124. [Google Scholar] [CrossRef]













| E [N ] | [-] | [N ] |
|---|---|---|
| 71,000 | 0.34 | 272 |
| UC1 | UC2 | UC3 | |
|---|---|---|---|
| [-] | 2.8 | 3.7 | 2.6 |
| [-] | 1.2 | 1.9 | 1.2 |
| t [mm] for Tensile Loading in x-Direction | t [mm] for Shear Loading in xy-Plane | t [mm] for Shear Loading in xz-Plane | |||||||
|---|---|---|---|---|---|---|---|---|---|
| Lattice Regions of Figure 3 | UC1 | UC2 | UC3 | UC1 | UC2 | UC3 | UC1 | UC2 | UC3 |
| a | 0.150 | 0.150 | 0.150 | 0.065 | 0.050 | 0.050 | 0.150 | 0.150 | 0.150 |
| b | 0.065 | 0.150 | 0.100 | 0.065 | 0.050 | 0.050 | 0.050 | 0.050 | 0.050 |
| c | 0.180 | 0.160 | 0.160 | 0.300 | 0.240 | 0.270 | 0.200 | 0.200 | 0.200 |
| d | 0.300 | - | 0.300 | 0.130 | - | 0.100 | 0.300 | - | 0.300 |
| e | 0.130 | - | 0.200 | 0.130 | - | 0.100 | 0.100 | - | 0.100 |
| UC1 | UC2 | UC3 | |
|---|---|---|---|
| Volume [] | 31.81 | 35.15 | 43.62 |
| Weighting factor [-] | 1.000 | 1.105 | 1.371 |
| Reference | 0.1 mm | 0.1 mm/0.2 mm | ||
|---|---|---|---|---|
| UC1 | [%] | 0 | 3 | 4 |
| [] | 7920 | 8449 | 8562 | |
| [] | 31,122 | 32,130 | 32,292 | |
| UC2 | [%] | 0 | 3 | 6 |
| [] | 5413 | 5975 | 6111 | |
| [] | 19,141 | 20,434 | 20,441 | |
| UC3 | [%] | 0 | 5 | 6 |
| [] | 9371 | 10,487 | 10,587 | |
| [] | 26,978 | 28,773 | 28,713 |
| 0.1 mm | 0.1 mm/0.2 mm | ||
|---|---|---|---|
| UC1 | [] | 1.09 | 1.08 |
| [-] | 13.38 | 13.38 | |
| [-] | 10.77 | 9.12 | |
| [-] | 13.19 | 11.73 | |
| UC2 | [] | 0.64 | 0.64 |
| [-] | 20.65 | 20.11 | |
| [-] | 20.38 | 14.23 | |
| UC3 | [] | 0.91 | 0.91 |
| [-] | 11.65 | 11.50 |
Disclaimer/Publisher’s Note: The statements, opinions and data contained in all publications are solely those of the individual author(s) and contributor(s) and not of MDPI and/or the editor(s). MDPI and/or the editor(s) disclaim responsibility for any injury to people or property resulting from any ideas, methods, instructions or products referred to in the content. |
© 2024 by the authors. Licensee MDPI, Basel, Switzerland. This article is an open access article distributed under the terms and conditions of the Creative Commons Attribution (CC BY) license (https://creativecommons.org/licenses/by/4.0/).
Share and Cite
Maier, M.; Stangl, C.; Saage, H.; Huber, O. Lightweight Potential of Anisotropic Plate Lattice Metamaterials. Materials 2024, 17, 2354. https://doi.org/10.3390/ma17102354
Maier M, Stangl C, Saage H, Huber O. Lightweight Potential of Anisotropic Plate Lattice Metamaterials. Materials. 2024; 17(10):2354. https://doi.org/10.3390/ma17102354
Chicago/Turabian StyleMaier, Martin, Christoph Stangl, Holger Saage, and Otto Huber. 2024. "Lightweight Potential of Anisotropic Plate Lattice Metamaterials" Materials 17, no. 10: 2354. https://doi.org/10.3390/ma17102354
APA StyleMaier, M., Stangl, C., Saage, H., & Huber, O. (2024). Lightweight Potential of Anisotropic Plate Lattice Metamaterials. Materials, 17(10), 2354. https://doi.org/10.3390/ma17102354

