Study on Fracture Characteristics of Layered Sandstone under Asymmetric Loading
Abstract
1. Introduction
2. Sandstone Fracture Test
2.1. Sample Preparation
2.2. Test Scheme
2.3. Sample Loading
3. Test Results and Analysis
3.1. Load–Displacement Characteristics
3.2. Load Variation
3.3. Fracture Toughness Calculation
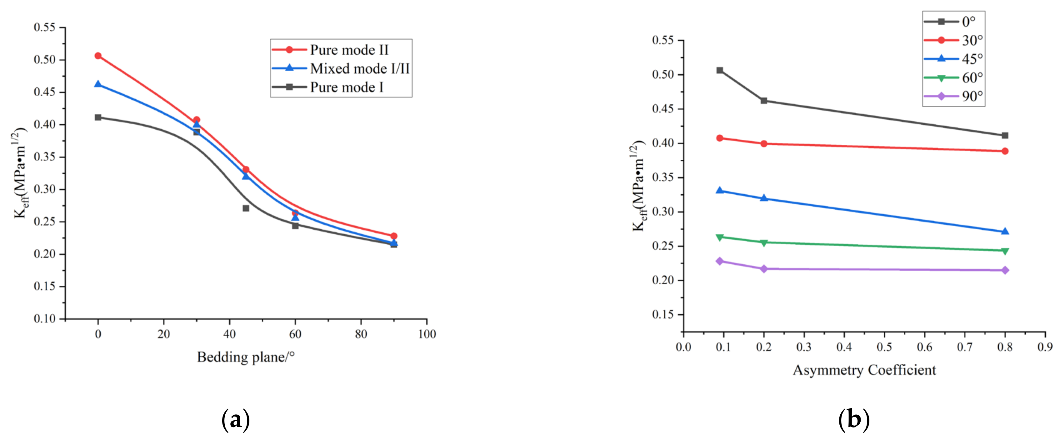
3.4. Effect of Bedding Angle and Asymmetry Coefficient on Fracture Toughness
3.5. Fitting Prediction Formula
4. Crack Instability Failure Analysis
4.1. Crack Initiation Angle Test Results
4.2. Theoretical Analysis of Crack Initiation Angle
4.3. Theoretical Calculation Results of Crack Initiation Angle
4.4. Effect of Bedding Angle on Failure Mode
5. Discussion
6. Conclusions
Author Contributions
Funding
Institutional Review Board Statement
Informed Consent Statement
Data Availability Statement
Conflicts of Interest
Appendix A
References
- Lim, I.L.; Johnston, I.W.; Choi, S.K. Stress intensity factors for semi-circular specimens under three-point bending. Eng. Fract. Mech. 1993, 44, 363–382. [Google Scholar] [CrossRef]
- Bobet, A.; Einstein, H. Fracture coalescence in rock-type materials under uniaxial and biaxial compression. Int. J. Rock Mech. Min. Sci. 1998, 35, 863–888. [Google Scholar] [CrossRef]
- Barton, N.; Lien, R.; Lunde, J. Engineering classification of rock masses for the design of tunnel support. Rock Mech. Rock Eng. 1974, 6, 189–236. [Google Scholar] [CrossRef]
- Kuruppu, M.D.; Obara, Y.; Ayatollahi, M.R.; Chong, K.P.; Funatsu, T. ISRM-Suggested Method for Determining the Mode I Static Fracture Toughness Using Semi-Circular Bend Specimen. In ISRM Suggested Methods Rock Characterization, Testing and Monitoring 2007–2014; Ulusay, R., Ed.; Springer International Publishing: Cham, Switzerland, 2013; pp. 107–114. [Google Scholar]
- Ulusay, R. (Ed.) The ISRM Suggested Methods for Rock Characterization, Testing and Monitoring: 2007–2014; Springer International Publishing: Cham, Switzerland, 2015. [Google Scholar]
- Bahrami, B.; Nejati, M.; Ayatollahi, M.R.; Driesner, T. Theory and experiment on true mode II fracturing of rocks. Eng. Fract. Mech. 2020, 240, 107314. [Google Scholar] [CrossRef]
- Chen, C.-S.; Wu, J.-H. Fracture toughness analysis on cracked ring disks of anisotropic rock. Rock Mech. Rock Eng. 2008, 41, 539–562. [Google Scholar] [CrossRef]
- Ayatollahi, M.; Aliha, M.; Hassani, M. Mixed mode brittle fracture in PMMA—An experimental study using SCB specimens. Mater. Sci. Eng. A 2006, 417, 348–356. [Google Scholar] [CrossRef]
- Ayatollahi, M.; Aliha, M.; Saghafi, H. An improved semi-circular bend specimen for investigating mixed mode brittle fracture. Eng. Fract. Mech. 2011, 78, 110–123. [Google Scholar] [CrossRef]
- Wu, Q.-H.; Xie, C.-L.; Xie, Y.-S.; Zhao, Y.-L.; Li, X.-F.; Liu, J.; Weng, L. Extending application of asymmetric semi-circular bend specimen to investigate mixed mode I/II fracture behavior of granite. J. Cent. South Univ. 2022, 29, 1289–1304. [Google Scholar] [CrossRef]
- Zhang, N.; Hedayat, A.; Sosa, H.G.; Tupa, N.; Morales, I.Y. Mixed-mode fracture of compacted tailing soils. I: Fracture toughness, Theor. Appl. Fract. Mech. 2023, 124, 103670. [Google Scholar] [CrossRef]
- Zhang, N.; Hedayat, A.; Sosa, H.G.B.; Tupa, N.; Morales, I.Y. Mixed-mode fracture of compacted tailing soils. II: Crack properties from full-field displacement fields. Theor. Appl. Fract. Mech. 2023, 124, 103707. [Google Scholar] [CrossRef]
- Guo, T.Y.; Wong, L.N.Y. Cracking mechanisms of a medium-grained granite under mixed-mode I-II loading illuminated by acoustic emission. Int. J. Rock Mech. Min. Sci. 2021, 145, 104852. [Google Scholar] [CrossRef]
- Zhao, Y.; Sun, Z.; Gao, Y.; Wang, X.; Song, H. Influence of bedding planes on fracture characteristics of coal under mode II loading. Theor. Appl. Fract. Mech. 2021, 117, 103131. [Google Scholar] [CrossRef]
- Nejati, M.; Aminzadeh, A.; Saar, M.O.; Driesner, T. Modified semi-circular bend test to determine the fracture toughness of anisotropic rocks. Eng. Fract. Mech. 2019, 213, 153–171. [Google Scholar] [CrossRef]
- Nejati, M.; Bahrami, B.; Ayatollahi, M.R.; Driesner, T. On the anisotropy of shear fracture toughness in rocks. Theor. Appl. Fract. Mech. 2021, 113, 102946. [Google Scholar] [CrossRef]
- Nejati, M.; Aminzadeh, A.; Driesner, T.; Saar, M.O. On the directional dependency of Mode I fracture toughness in anisotropic rocks. Theor. Appl. Fract. Mech. 2020, 107, 102494. [Google Scholar] [CrossRef]
- Buczek, M.; Herakovich, C. A Normal Stress Criterion for Crack Extension Direction in Orthotropic Composite Materials. J. Compos. Mater. 1985, 19, 544–553. [Google Scholar] [CrossRef]
- Saouma, V.E.; Ayari, M.L.; Leavell, D.A. Mixed mode crack propagation in homogeneous anisotropic solids. Eng. Fract. Mech. 1987, 27, 171–184. [Google Scholar] [CrossRef]
- Lim, W.-K.; Choi, S.-Y.; Sankar, B.V. Biaxial load effects on crack extension in anisotropic solids. Eng. Fract. Mech. 2001, 68, 403–416. [Google Scholar] [CrossRef]
- Carloni, C.; Nobile, L. Maximum circumferential stress criterion applied to orthotropic materials. Fatigue Fract. Eng. Mater. Struct. 2005, 28, 825–833. [Google Scholar] [CrossRef]
- Obata, M.; Nemat-Nasser, S.; Goto, Y. Branched Cracks in Anisotropic Elastic Solids. J. Appl. Mech. 1989, 56, 858–864. [Google Scholar] [CrossRef]
- Gao, H.; Chiu, C.-H. Slightly curved or kinked cracks in anisotropic elastic solids. Int. J. Solids Struct. 1992, 29, 947–972. [Google Scholar]
- Azhdari, A.; Nemat-Nasser, S. Energy-release rate and crack kinking in anisotropic brittle solids. J. Mech. Phys. Solids 1996, 44, 929–951. [Google Scholar] [CrossRef]
- Yang, S.; Yuan, F.-G. Kinked crack in anisotropic bodies. Int. J. Solids Struct. 2000, 37, 6635–6682. [Google Scholar] [CrossRef]
- Argatov, I.; Nazarov, S. Energy release caused by the kinking of a crack in a plane anisotropic solid. J. Appl. Math. Mech. 2002, 66, 491–503. [Google Scholar] [CrossRef]
- Zhang, S.; Jang, B.; Valaire, B.; Suhling, J. A new criterion for composite material mixed mode fracture analysis. Eng. Fract. Mech. 1989, 34, 749–769. [Google Scholar] [CrossRef]
- Zhiming, Y.; Ayari, M. Prediction of crack propagation in anisotropic solids. Eng. Fract. Mech. 1994, 49, 797–808. [Google Scholar] [CrossRef]
- Carloni, C.; Nobile, L. Crack initiation behavior of orthotropic solids as predicted by the strain energy density theory. Theor. Appl. Fract. Mech. 2002, 38, 109–119. [Google Scholar]
- Farid, H.M.; Fakoor, M. Mixed mode I/II fracture criterion for arbitrary cracks in orthotropic materials considering T-stress effects. Theor. Appl. Fract. Mech. 2019, 99, 147–160. [Google Scholar] [CrossRef]
- Sakha, M.; Nejati, M.; Aminzadeh, A.; Ghouli, S.; Saar, M.O.; Driesner, T. On the validation of mixed-mode I/II crack growth theories for anisotropic rocks. Int. J. Solids Struct. 2022, 241, 111484. [Google Scholar] [CrossRef]
- Zhao, Y.; Sun, Z.; Teng, T.; Wang, W.; Danesh, N.N.; Zhang, C. Comparative study on modes I and II fracture characteristics of bituminous coal using asymmetric semi-circular bend specimen. Theor. Appl. Fract. Mech. 2022, 120, 103377. [Google Scholar] [CrossRef]
- Zhou, Y.; Hao, R.; Zhao, F.; Liao, L.; Li, W. Mechanical aspects of semi-circular sandstone fractured specimens with U-notch in the presence of various bedding angles. Theor. Appl. Fract. Mech. 2023, 124, 103786. [Google Scholar] [CrossRef]
- Kataoka, M.; Obara, Y.; Kuruppu, M. Estimation of Fracture Toughness of Anisotropic Rocks by Semi-Circular Bend (SCB) Tests Under Water Vapor Pressure. Rock Mech. Rock Eng. 2015, 48, 1353–1367. [Google Scholar] [CrossRef]
- Dutler, N.; Nejati, M.; Valley, B.; Amann, F.; Molinari, G. On the link between fracture toughness, tensile strength, and fracture process zone in anisotropic rocks. Eng. Fract. Mech. 2018, 201, 56–79. [Google Scholar] [CrossRef]
- Wang, W.; Teng, T. Experimental study on anisotropic fracture characteristics of coal using notched semi-circular bend specimen. Theor. Appl. Fract. Mech. 2022, 122, 103559. [Google Scholar] [CrossRef]
- Ayatollahi, M.; Aliha, M. Wide range data for crack tip parameters in two disc-type specimens under mixed mode loading. Comput. Mater. Sci. 2007, 38, 660–670. [Google Scholar] [CrossRef]
- Judt, P.O.; Ricoeur, A.; Linek, G. Crack path prediction in rolled aluminum plates with fracture toughness orthotropy and experimental validation. Eng. Fract. Mech. 2015, 138, 33–48. [Google Scholar] [CrossRef]
- Judt, P.O.; Zarges, J.-C.; Feldmann, M.; Ricoeur, A.; Heim, H.-P. Deflecting mode-I cracks in anisotropic materials. Mech. Mater. 2019, 136, 103060. [Google Scholar] [CrossRef]
- Fan, Z.; Xie, H.; Sun, X.; Zhang, R.; Li, C.; Zhang, Z.; Xie, J.; Wang, J.; Ren, L. Crack deflection in shale-liked layered rocks under three-point bend loading. Eng. Fract. Mech. 2023, 289, 109464. [Google Scholar] [CrossRef]
- Sun, D.-L.; Rao, Q.-H.; Wang, S.-Y.; Yi, W.; Shen, Q. A new mixed-mode fracture criterion of anisotropic rock. Eng. Fract. Mech. 2021, 248, 107730. [Google Scholar] [CrossRef]


















| Bedding Angle /° | Compressive Strength /MPa | Elastic Modulus /GPa | Poisson’s Ratio | Tensile Strength /MPa |
|---|---|---|---|---|
| 0 | 53.36 | 6.46 | 0.21 | 2.65 |
| 30 | 39.97 | 3.03 | 0.22 | 2.46 |
| 45 | 21.65 | 1.75 | 0.20 | 2.33 |
| 60 | 34.48 | 2.89 | 0.24 | 1.86 |
| 90 | 41.47 | 3.15 | 0.28 | 1.25 |
| Bedding Angle /° | Asymmetry Coefficient | YI | YII | Average Peak Load/N | KI /MPa·m1/2 | KII /MPa·m1/2 | Keff /MPa·m1/2 |
|---|---|---|---|---|---|---|---|
| 0 | 0.8 (Pure mode I) | 5.46 | 0.00 | 533.33 | 0.41 | 0.00 | 0.41 |
| 0.066 (Pure mode II) | 0.00 | 1.76 | 2026.75 | 0.00 | 0.51 | 0.51 | |
| 0.2 (Mixed mode I/II) | 1.61 | 1.00 | 1720.08 | 0.39 | 0.24 | 0.46 | |
| 30 | 0.8 (Pure mode I) | 5.46 | 0.62 | 499.08 | 0.39 | 0.00 | 0.39 |
| 0.086 (Pure mode II) | 0.00 | 1.79 | 1505.50 | 0.00 | 0.38 | 0.41 | |
| 0.2 (Mixed mode I/II) | 1.39 | 1.40 | 1293.58 | 0.26 | 0.26 | 0.40 | |
| 45 | 0.8 (Pure mode I) | 5.48 | 0.59 | 346.67 | 0.27 | 0.00 | 0.27 |
| 0.09 (Pure mode II) | 0.00 | 1.79 | 1305.75 | 0.00 | 0.33 | 0.33 | |
| 0.2 (Mixed mode I/II) | 1.30 | 1.40 | 1177.25 | 0.22 | 0.23 | 0.32 | |
| 60 | 0.8 (Pure mode I) | 5.50 | 0.43 | 311.42 | 0.24 | 0.00 | 0.24 |
| 0.09 (Pure mode II) | 0.00 | 1.72 | 940.00 | 0.00 | 0.23 | 0.26 | |
| 0.2 (Mixed mode I/II) | 1.25 | 1.33 | 786.58 | 0.14 | 0.15 | 0.25 | |
| 90 | 0.8 (Pure mode I) | 5.51 | 0.00 | 275.30 | 0.21 | 0.00 | 0.21 |
| 0.1 (Pure mode II) | 0.00 | 1.70 | 736.25 | 0.00 | 0.18 | 0.23 | |
| 0.2 (Mixed mode I/II) | 1.24 | 1.21 | 604.75 | 0.11 | 0.10 | 0.22 |
| Bedding Angle /° | MSED | MTS | MERR | ||||||
|---|---|---|---|---|---|---|---|---|---|
| Pure Mode I | Pure Mode II | Mixed Mode I/II | Pure Mode I | Pure Mode II | Mixed Mode I/II | Pure Mode I | Pure Mode II | Mixed Mode I/II | |
| 0 | 0.00 | 16.69 | 24.32 | 0.00 | 2.79 | 0.69 | 0.00 | 3.89 | 2.16 |
| 30 | 25.98 | 39.18 | 34.20 | 9.57 | 7.95 | 2.74 | 24.46 | 0.16 | 12.21 |
| 45 | 15.57 | 38.72 | 38.48 | 1.96 | 1.81 | 6.22 | 5.43 | 12.98 | 1.54 |
| 60 | 12.68 | 37.93 | 35.96 | 4.71 | 2.28 | 0.87 | 13.99 | 13.10 | 24.02 |
| 90 | 0.00 | 41.09 | 0.00 | 0.00 | 7.86 | 9.11 | 0.00 | 32.74 | 5.71 |
| Mean discrepancy | 10.85 | 34.72 | 26.59 | 3.25 | 4.54 | 3.93 | 8.77 | 12.58 | 9.13 |
Disclaimer/Publisher’s Note: The statements, opinions and data contained in all publications are solely those of the individual author(s) and contributor(s) and not of MDPI and/or the editor(s). MDPI and/or the editor(s) disclaim responsibility for any injury to people or property resulting from any ideas, methods, instructions or products referred to in the content. |
© 2024 by the authors. Licensee MDPI, Basel, Switzerland. This article is an open access article distributed under the terms and conditions of the Creative Commons Attribution (CC BY) license (https://creativecommons.org/licenses/by/4.0/).
Share and Cite
Hao, R.; Zhou, Y.; Liao, L.; Teah, N.S.; Xue, W.; Liao, Z. Study on Fracture Characteristics of Layered Sandstone under Asymmetric Loading. Materials 2024, 17, 2328. https://doi.org/10.3390/ma17102328
Hao R, Zhou Y, Liao L, Teah NS, Xue W, Liao Z. Study on Fracture Characteristics of Layered Sandstone under Asymmetric Loading. Materials. 2024; 17(10):2328. https://doi.org/10.3390/ma17102328
Chicago/Turabian StyleHao, Ruiqing, Yuguo Zhou, Lin Liao, Nathan Saye Teah, Wanwen Xue, and Zhiling Liao. 2024. "Study on Fracture Characteristics of Layered Sandstone under Asymmetric Loading" Materials 17, no. 10: 2328. https://doi.org/10.3390/ma17102328
APA StyleHao, R., Zhou, Y., Liao, L., Teah, N. S., Xue, W., & Liao, Z. (2024). Study on Fracture Characteristics of Layered Sandstone under Asymmetric Loading. Materials, 17(10), 2328. https://doi.org/10.3390/ma17102328

