Ultra-Fine Bainite in Medium-Carbon High-Silicon Bainitic Steel
Abstract
1. Introduction
2. Experimental Procedures
2.1. Steel Composition and Thermomechanical Treatments
2.2. Microstructural Characterization
2.3. Mechanical Testing
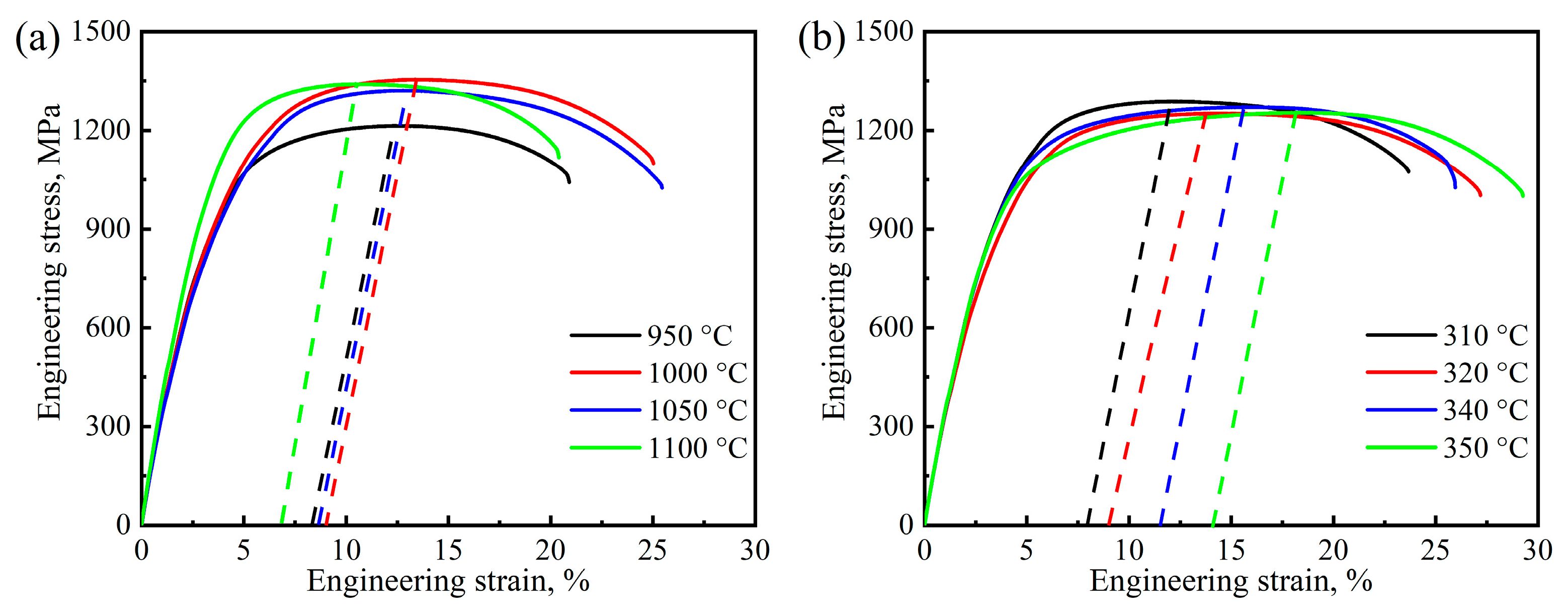
3. Results
3.1. Transformation Kinetics
3.2. Microstructure
3.3. Mechanical Properties
4. Discussion
5. Conclusions
- (1)
- With the austenitizing temperature increase from 950 to 1000 °C, the increase in the mechanical property of medium-carbon bainitic steel can be attributed to the higher volume fraction of bainite ferrite and the higher dislocation density within it. When the austenitizing temperature exceeds 1000 °C, the volume fraction of blocky retained austenite in the final bainite microstructure increases due to the obvious coarsening of prior austenite grain, and the plasticity and impact toughness are gradually reduced.
- (2)
- The finishing time and completion degree of bainite transformation depend on the degree of the undercooling of prior austenite when the austempering temperature is above Ms. With the increase in austempering temperature, the finishing time of bainite transformation is clearly extended, and the completion degree of bainite transformation decreases. The increment in elongation and the decrement in impact toughness for medium-carbon bainitic steel can be attributed to the coarsening of bainitic ferrite plates, the increase in the volume fraction of retained austenite with film-like morphology and the decrease in the carbon content within it.
- (3)
- The prior martensite forms before bainite transformation when the austempering temperature is below Ms. With the decrease in austempering temperature, the higher degree of supercooling and the presence of prior martensite refines the bainitic ferrite plates and increases the carbon content of film-like retained austenite, thereby significantly improving the strength and impact toughness of medium-carbon bainitic steel. However, the introduction of prior martensite inhibits the growth of bainite sheaves, and thus reduces the completion of bainite transformation, resulting in a significant increase in the volume fraction of blocky retained austenite and a slight decrease in the elongation of medium-carbon bainitic steel. Based on the experimental results and discussion, the optimal treatment for medium-carbon ultra-fine bainitic steel in the present paper is through austenitization at 1000 °C and austempering at 340 °C.
Author Contributions
Funding
Institutional Review Board Statement
Informed Consent Statement
Data Availability Statement
Conflicts of Interest
References
- Caballero, F.G.; Bhadeshia, H.K.D.H.; Mawella, K.J.A.; Jones, D.G.; Brown, P. Very strong low temperature bainite. Mater. Sci. Technol. 2002, 18, 279–284. [Google Scholar] [CrossRef]
- Soliman, M.; Palkowski, H. Development of the low temperature bainite. Arch. Civ. Mech. Eng. 2016, 16, 403–412. [Google Scholar] [CrossRef]
- Caballero, F.G.; Garcia-Mateo, C. Super-bainite. Encycl. Mater. Met. Alloys 2022, 2, 73–83. [Google Scholar]
- Morales-Rivas, L.; Garcia-Mateo, C.; Kuntz, M.; Sourmail, T.; Caballero, F.G. Induced martensite transformation during tensile test in nanostructured bainitic steels. Mater. Sci. Eng. A 2016, 662, 169–177. [Google Scholar] [CrossRef]
- Peet, M.J.; Fielding, L.C.D.; Hamedany, A.A.; Rawson, M.; Hill, P.; Bhadeshia, H.K.D.H. Strength and toughness of clean nanostructured bainite. Mater. Sci. Technol. 2017, 33, 1171–1179. [Google Scholar] [CrossRef]
- Long, X.; Zhang, F.; Yan, Z.; Lv, B. Study on microstructure and properties of carbide-free and carbide-bearing bainitic steels. Mater. Sci. Eng. A 2018, 715, 10–16. [Google Scholar] [CrossRef]
- Zhang, F.; Yang, Z. Development of and Perspective on high-performance nanostructured bainitic bearing steel. Engineering 2019, 5, 319–328. [Google Scholar] [CrossRef]
- Zhang, C.; Li, S.; Fu, H.; Lin, Y. Microstructure evolution and wear resistance of high silicon bainitic steel after austempering. J. Mater. Res. Technol. 2020, 9, 4826–4839. [Google Scholar] [CrossRef]
- Li, J.; Yang, Z.; Zhao, G.; Zhang, F. A simultaneously improved strength and ductility on carbide free bainite steel via novel ausrolling and twinning process based on SFE controlling. Mater. Sci. Eng. A 2022, 832, 142442. [Google Scholar] [CrossRef]
- Garcia-Mateo, C.; Caballero, F.G.; Bhadeshia, H.K.D.H. Development of hard bainite. ISIJ Int. 2003, 43, 1238–1243. [Google Scholar] [CrossRef]
- Hausman, K.; Krizan, D.; Spiradek-Hahn, K.; Pichler, A.; Werner, E. The influence of Nb on transformation behavior and mechanical properties of TRIP-assisted bainitic-ferritic sheet steels. Mater. Sci. Eng. A 2013, 588, 142–150. [Google Scholar] [CrossRef]
- He, B.; Xu, W.; Huang, M. Effect of boron on bainitic transformation kinetics after ausforming in low carbon steels. J. Mater. Sci. Technol. 2017, 33, 1494–1503. [Google Scholar] [CrossRef]
- Douguet, P.; Da Rosa, G.; Hoummada, P.M.J.D.K. Effect of boron segregation on bainite nucleation during isothermal transformation. Scr. Mater. 2022, 207, 114286. [Google Scholar] [CrossRef]
- van Bohemen, S.M.C.; Santofima, M.J.; Sietsma, J. Experimental evidence for bainite formation below Ms in Fe-0.66C. Scr. Mater. 2008, 58, 488–491. [Google Scholar] [CrossRef]
- Samanta, S.; Biswas, P.; Giri, S.; Singh, S.B.; Kundu, S. Formation of bainite below the Ms temperature: Kinetics and crystallography. Acta Mater. 2016, 105, 390–403. [Google Scholar] [CrossRef]
- Feng, J.; Frankenbach, T.; Wettlaufer, M. Strengthening 42CrMo4 steel by isothermal transformation below martensite start temperature. Mater. Sci. Eng. A 2017, 683, 110–115. [Google Scholar] [CrossRef]
- Xia, S.; Zhang, F.; Yang, Z. Microstructure and mechanical properties of 18Mn3Si2CrMo steel subjected to austempering at different temperatures below Ms. Mater. Sci. Eng. A 2018, 724, 103–111. [Google Scholar] [CrossRef]
- Zhao, L.; Qian, L.; Zhou, Q.; Li, D.; Wang, T.; Jia, Z.; Zhang, F.; Meng, J. The combining effects of ausforming and below-Ms or above-Ms austempering on the transformation kinetics, microstructure and mechanical properties of low-carbon bainitic steel. Mater. Des. 2019, 183, 108123. [Google Scholar] [CrossRef]
- Eres-Castellanos, A.; Caballero, F.G.; Garcia-Mateo, C. Stress or strain induced martensite and bainitic transformations during ausforming processes. Acta Mater. 2020, 189, 60–72. [Google Scholar] [CrossRef]
- Guo, H.; Fan, Y.P.; Feng, X.Y.; Li, Q. Ultrafine bainitic steel produced through ausforming-quenching process. J. Mater. Res. Technol. 2020, 9, 3633–3659. [Google Scholar] [CrossRef]
- Hu, H.; Tian, J.; Xu, G.; Zurob, H.S. New insights into the effects of deformation below-Ms on isothermal kinetics of bainitic transformation. J. Mater. Res. Technol. 2020, 9, 15750–15758. [Google Scholar] [CrossRef]
- Gao, G.; Guo, H.; Gui, X.; Tan, Z.; Bai, B. Inverted multi-step bainitic austempering process routes: Enhanced strength and ductility. Mater. Sci. Eng. A 2018, 739, 298–305. [Google Scholar] [CrossRef]
- Chu, C.; Qin, Y.; Li, X.; Yang, Z.; Zhang, F.; Guo, C.; Long, X.; You, L. Effect of two-step austempering process on transformation kinetics of nanostructured bainitic steel. Materials 2019, 12, 166. [Google Scholar] [CrossRef] [PubMed]
- Gong, W.; Tomota, Y.; Harjo, S.; Su, Y.H.; Aizawa, K. Effect of prior martensite on bainite transformation in nanobainite steel. Acta Mater. 2015, 85, 243–249. [Google Scholar] [CrossRef]
- Ravi, A.M.; Navarro-Lopez, A.; Sietsma, J.; Santofimia, M.J. Influence of martensite/austenite interfaces on bainite formation in low-alloy steels below Ms. Acta Mater. 2020, 188, 394–405. [Google Scholar] [CrossRef]
- Avishan, B.; Khoshkebari, S.M.; Yazdani, S. Effect of pre-existing martensite within the microstructure of nano bainitic steel on its mechanical properties. Mater. Chem. Phys. 2021, 260, 124160. [Google Scholar] [CrossRef]
- Lee, S.-J.; Park, J.-S.; Lee, Y.-K. Effect of austenite grain size on the transformation kinetics of upper and lower bainite in a low-alloy steel. Scr. Mater. 2008, 59, 87–90. [Google Scholar] [CrossRef]
- Zhao, J.; Li, J.; Ji, H.; Wang, T. Effect of austenite temperature on mechanical properties of nanostructured bainitic steel. Materials 2017, 10, 874. [Google Scholar] [CrossRef] [PubMed]
- Hu, F.; Hodgson, P.D.; Wu, K.M. Acceleration of the super bainite transformation through a coarse austenite grain size. Mater. Lett. 2014, 122, 240–243. [Google Scholar] [CrossRef]
- Pashangeh, S.; Somani, M.; Banadkouki, S.S.G. Microstructural evolution in a high-silicon medium carbon steel following quenching and isothermal holding above and below the Ms temperature. J. Mater. Res. Technol. 2020, 9, 3438–3446. [Google Scholar] [CrossRef]
- Tian, J.; Xu, G.; Hu, H.; Wang, X.; Zurob, H. Transformation kinetics of carbide-free bainitic steels during isothermal holding above and below Ms. J. Mater. Res. Technol. 2020, 9, 13594–13606. [Google Scholar] [CrossRef]
- Kafadar, G.; Kalkanli, A.; Özdem, A.T.; Ögel, B. Effect of isothermal transformation treatment and tempering on the microstructure and hardness of a medium C and high Si steels. ISIJ Int. 2021, 61, 1679–1687. [Google Scholar] [CrossRef]
- Hu, H.; Zurob, H.S.; Xu, G.; Embury, D.; Gary, R.; Purdy, G.R. New insights to the effects of ausforming on the bainitic transformation. Mater. Sci. Eng. A 2015, 626, 34–40. [Google Scholar] [CrossRef]
- Hu, H.; Xu, G.; Wang, L.; Zhou, M.; Xue, Z. Effect of ausforming on the stability of retained austenite in a C-Mn-Si bainitic steel. Met. Mater. Int. 2015, 21, 929–935. [Google Scholar] [CrossRef]
- Speer, J.G.; Edmonds, D.V.; Rizzo, F.C.; Matlock, D.K. Partitioning of carbon from supersaturated plates of ferrite, with application to steel processing and fundamentals of the bainite transformation. Curr. Opin. Solid State Mater. Sci. 2004, 8, 219–237. [Google Scholar] [CrossRef]
- Caballero, F.G.; Garcia-Mateo, C.; Santofimia, M.J.; Miller, M.K.; de Andrés, C.G. New experimental evidence on the incomplete transformation phenomenon in steel. Acta Mater. 2009, 57, 8–17. [Google Scholar] [CrossRef]
- Kim, B.; Celada, C.; Martín, D.S.; Sourmail, T.; Rivera-Díaz-del-Castillo, P.E.J. The effect of silicon on the nanoprecipitation of cementite. Acta Mater. 2013, 61, 6983–6992. [Google Scholar] [CrossRef]
- Toji, Y.; Matsuda, H.; Raabe, D. Effect of Si on the acceleration of bainite transformation by pre-existing martensite. Acta Mater. 2016, 116, 250–262. [Google Scholar] [CrossRef]
- Long, X.; Branco, R.; Zhang, F.; Berto, F.; Martins, R. Influence of Mn addition on cyclic deformation behaviour of bainitic rail steels. Int. J. Fatigue 2020, 132, 105362. [Google Scholar] [CrossRef]
- Guo, H.; Zhou, P.; Zhao, A.; Zhi, C.; Ding, R.; Wang, J. Effect of Mn and Cr contents on microstructures and mechanical properties of low temperature bainitic steel. J. Iron Steel Res. Int. 2017, 24, 290–295. [Google Scholar] [CrossRef]
- Garcia-Mateo, C.; Caballero, F.G.; Bhadeshia, H.K.D.H. Acceleration of low-temperature bainite. ISIJ Int. 2003, 43, 1821–1825. [Google Scholar] [CrossRef]
- Qian, L.; Zhou, Q.; Zhang, F.; Meng, J.; Zhang, M.; Tian, Y. Microstructure and mechanical properties of a low carbon carbide-free bainitic steel co-alloyed with Al and Si. Mater. Des. 2012, 39, 264–268. [Google Scholar] [CrossRef]
- Williamson, G.K.; Smallman, R.E. Dislocation densities in some annealed and cold-worked metals from measurements on the X-ray debye-scherrer spectrum. Philos. Mag. 1956, 1, 34–46. [Google Scholar] [CrossRef]
- De, A.K.; Murdock, D.C.; Mataya, M.C.; Speer, J.G.; Matlock, D.K. Quantitative measurement of deformation-induced martensite in 304 stainless steels by X-ray diffraction. Scr. Mater. 2004, 50, 1445–1449. [Google Scholar] [CrossRef]
- Dyson, D.J.; Holmes, B. Effect of alloying additions on the lattice parameter of austenite. J. Iron Steel Inst. 1970, 208, 469–474. [Google Scholar]
- Xiong, X.C.; Chen, B.; Huang, M.X.; Wang, J.F.; Wang, L. The effect of morphology on the stability of retained austenite in a quenched and partitioned steel. Scr. Mater. 2013, 68, 321–324. [Google Scholar] [CrossRef]
- Long, X.; Zhao, G.; Zhang, F.; Xu, S.; Yang, Z.; Du, G.; Branco, R. Evolution of tensile properties with transformation temperature in medium-carbon carbide-free bainitic steel. Mater. Sci. Eng. A 2020, 775, 138964. [Google Scholar] [CrossRef]
- Sourmail, T.; Garcia-Mateo, C.; Caballero, F.G.; Morales-Rivas, L.; Rementeria, R.; Kuntz, M. Tensile ductility of Nanostructured bainitic steels: Influence of retained austenite stability. Metals 2017, 7, 31. [Google Scholar] [CrossRef]
- Guo, H.; Feng, X.; Zhao, A.; Li, Q.; Ma, J. Influence of prior martensite on bainite transformation, microstructures, and mechanical properties in ultra-fine bainitic steel. Materials 2019, 12, 527. [Google Scholar] [CrossRef] [PubMed]
- Zhao, F.; Morales-Rivas, L.; Yu, Q.; Wang, G.; Caballero, F.G.; San-Martin, D. Unforeseen influence of the prior austenite grain size on the mechanical properties of a carbide-free bainitic steel. Mater. Sci. Eng. A 2023, 881, 145388. [Google Scholar] [CrossRef]
- Qian, L.; Li, Z.; Wang, T.; Li, D.; Zhang, F.; Meng, J. Roles of pre-formed martensite in below-Ms bainite formation, microstructure, strain partitioning and impact absorption energies of low-carbon bainitic steel. J. Mater. Sci. Technol. 2022, 96, 69–85. [Google Scholar] [CrossRef]
- Zhou, Q.; Qian, L.; Tan, J.; Meng, J.; Zhang, F. Inconsistent effects of mechanical stability of retained austenite on ductility and toughness of transformation-induced plasticity steels. Mater. Sci. Eng. A 2013, 578, 370–376. [Google Scholar] [CrossRef]















| Temperature, °C | ρ × 1015 m−2 | VB, % | Vγ, % | Cγ, wt. % | VF-RA, % | CF-RA, wt.% | VB-RA, % | CB-RA, wt.% |
|---|---|---|---|---|---|---|---|---|
| 950 | 3.3 ± 0.5 | 83.9 ± 0.6 | 16.1 ± 0.4 | 1.3 ± 0.1 | 8.5 | 1.4 | 7.6 | 1.2 |
| 1000 | 5.4 ± 0.3 | 91.2 ± 0.5 | 8.8 ± 0.5 | 1.9 ± 0.3 | 3.4 | 2.5 | 5.5 | 1.3 |
| 1050 | 4.9 ± 0.7 | 89.6 ± 0.5 | 10.4 ± 0.5 | 1.8 ± 0.4 | 3.5 | 2.4 | 6.9 | 1.2 |
| 1100 | 4.1 ± 0.8 | 86.6 ± 0.6 | 13.4 ± 0.4 | 1.5 ± 0.3 | 4.5 | 1.6 | 8.9 | 1.4 |
| Temperature, °C | VF-RA, % | CF-RA, wt.% | VB-RA, % | CB-RA, wt.% |
|---|---|---|---|---|
| 310 | 2.5 | 2.4 | 12.9 | 1.5 |
| 320 | 9.4 | 1.7 | 6.9 | 1.5 |
| 340 | 3.4 | 2.5 | 5.5 | 1.4 |
| 350 | 7.7 | 1.7 | 6.7 | 1.4 |
Disclaimer/Publisher’s Note: The statements, opinions and data contained in all publications are solely those of the individual author(s) and contributor(s) and not of MDPI and/or the editor(s). MDPI and/or the editor(s) disclaim responsibility for any injury to people or property resulting from any ideas, methods, instructions or products referred to in the content. |
© 2024 by the authors. Licensee MDPI, Basel, Switzerland. This article is an open access article distributed under the terms and conditions of the Creative Commons Attribution (CC BY) license (https://creativecommons.org/licenses/by/4.0/).
Share and Cite
Yu, X.; Wang, Y.; Wu, H.; Gong, N. Ultra-Fine Bainite in Medium-Carbon High-Silicon Bainitic Steel. Materials 2024, 17, 2225. https://doi.org/10.3390/ma17102225
Yu X, Wang Y, Wu H, Gong N. Ultra-Fine Bainite in Medium-Carbon High-Silicon Bainitic Steel. Materials. 2024; 17(10):2225. https://doi.org/10.3390/ma17102225
Chicago/Turabian StyleYu, Xinpan, Yong Wang, Huibin Wu, and Na Gong. 2024. "Ultra-Fine Bainite in Medium-Carbon High-Silicon Bainitic Steel" Materials 17, no. 10: 2225. https://doi.org/10.3390/ma17102225
APA StyleYu, X., Wang, Y., Wu, H., & Gong, N. (2024). Ultra-Fine Bainite in Medium-Carbon High-Silicon Bainitic Steel. Materials, 17(10), 2225. https://doi.org/10.3390/ma17102225

