Finite Bending of Fiber-Reinforced Visco-Hyperelastic Material: Analytical Approach and FEM
Abstract
:1. Introduction
2. Governing Equations
2.1. Basic Kinematics of Anisotropic Hyperelastic Materials
2.2. Anisotropic Visco-Hyperelastic Model
2.3. Finite Bending of Anisotropic Hyperelastic Materials
3. Finite Element Method (FEM)
4. Results and Discussion
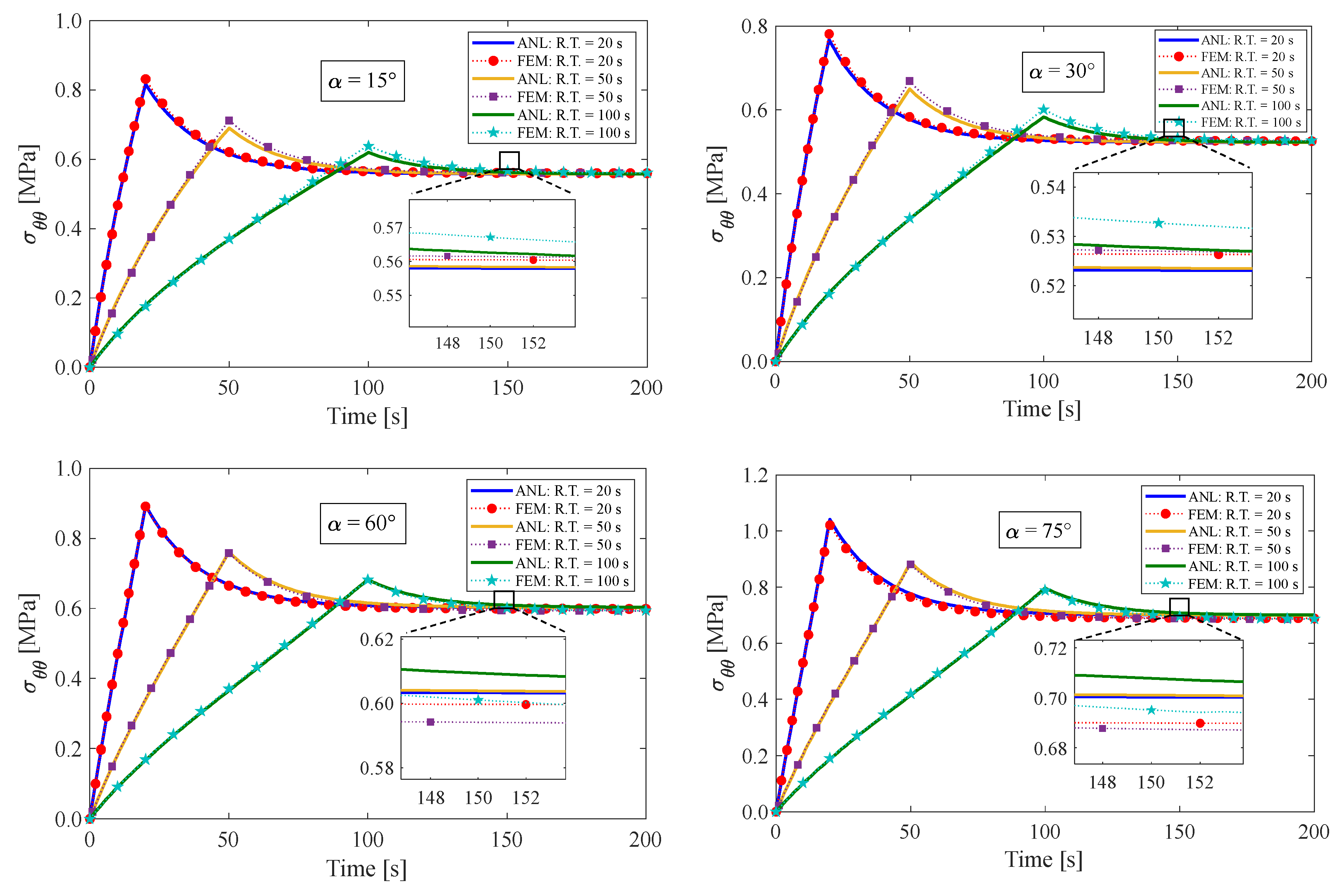
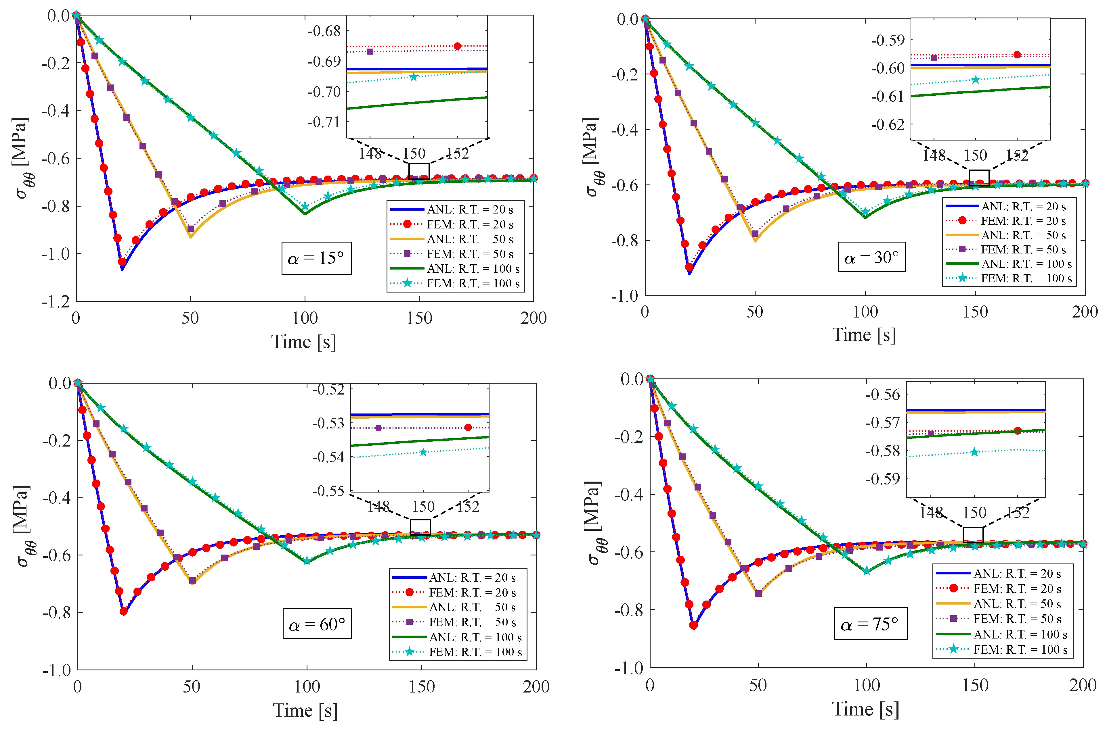
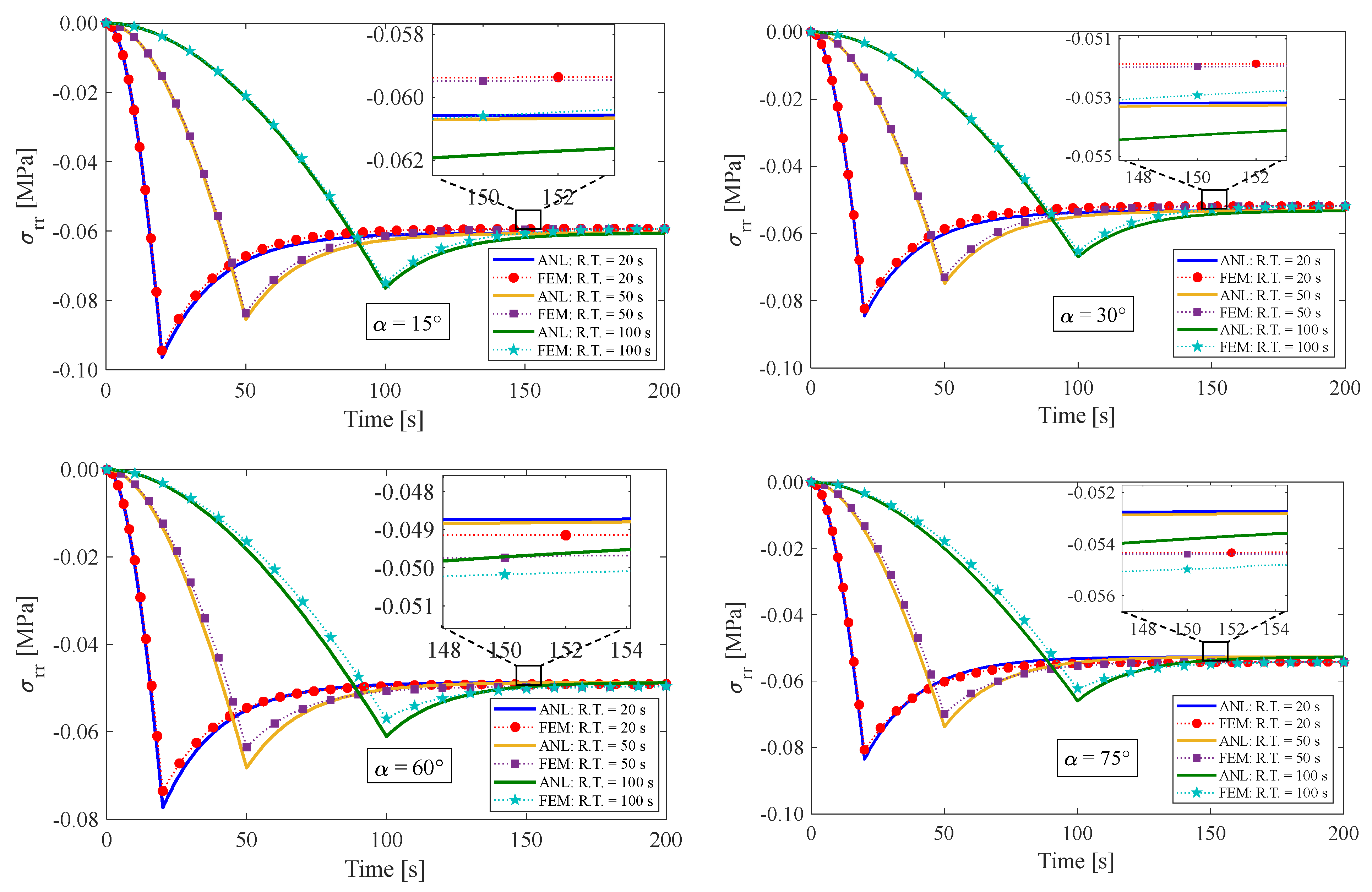
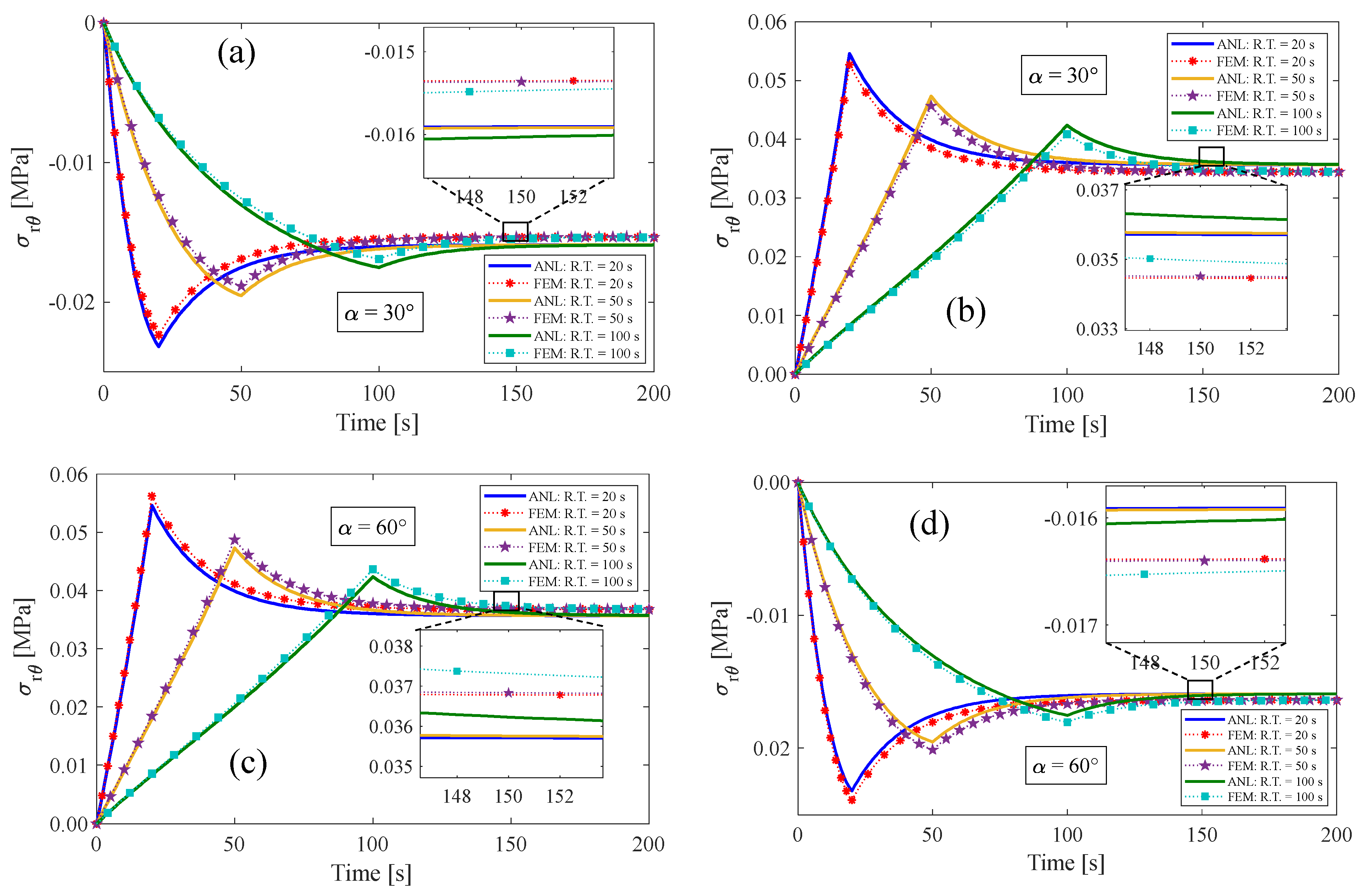
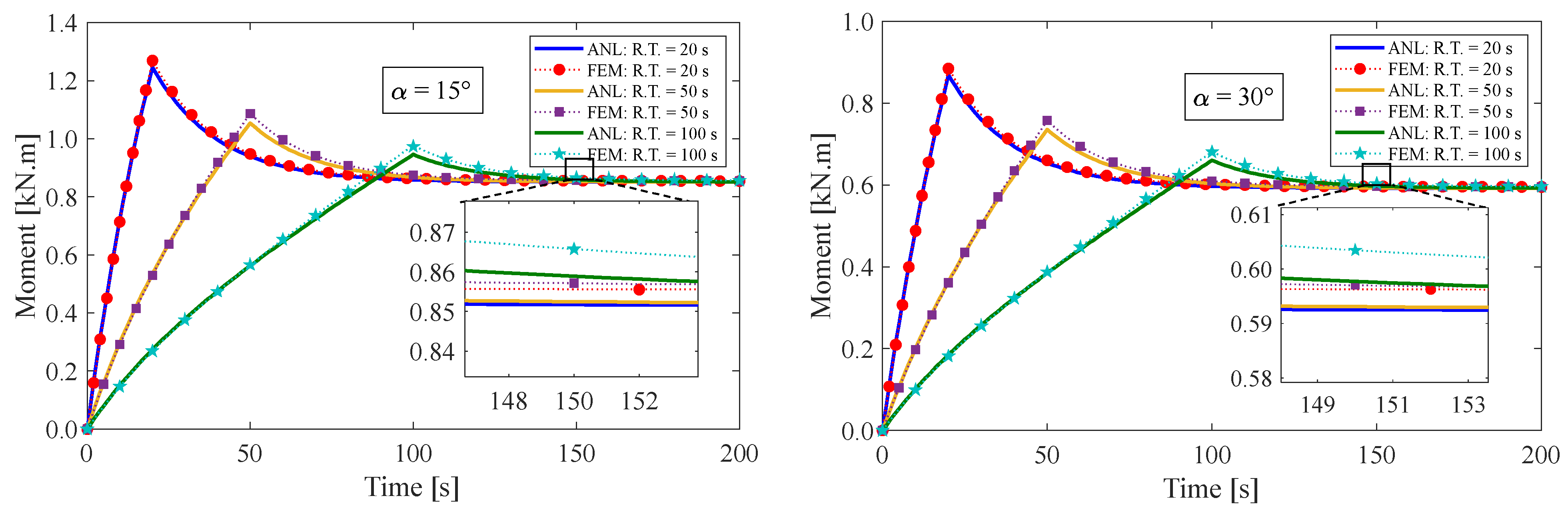
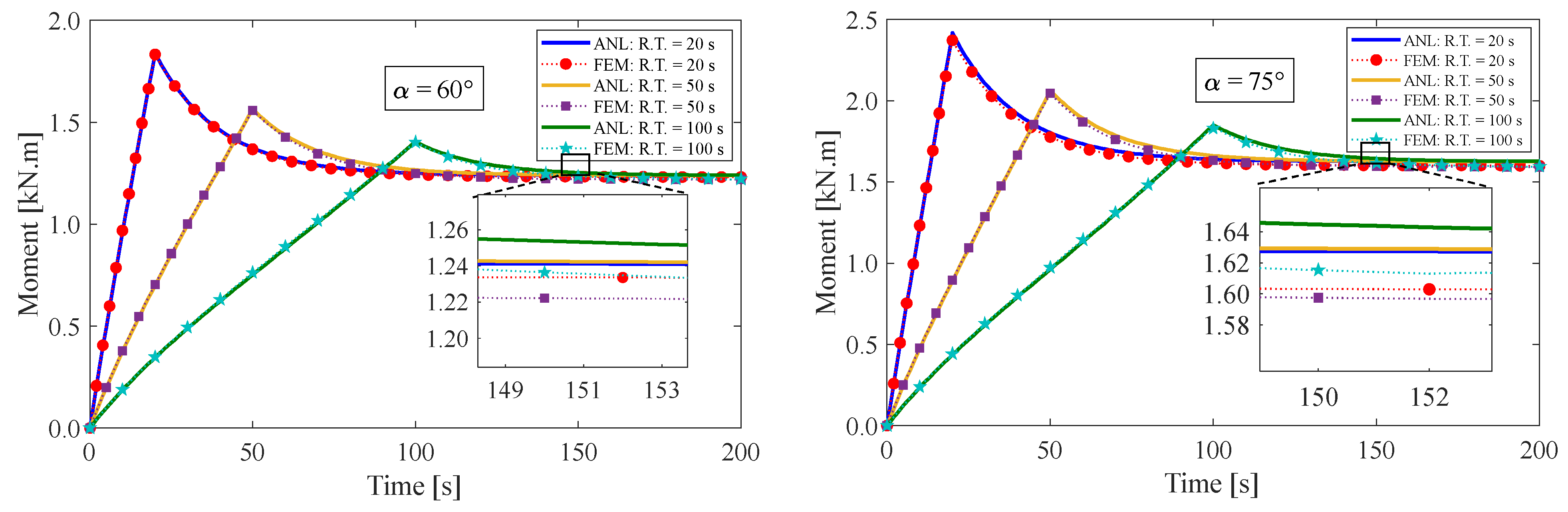
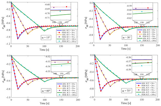
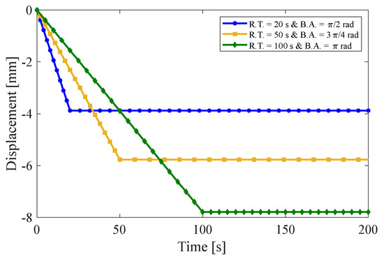
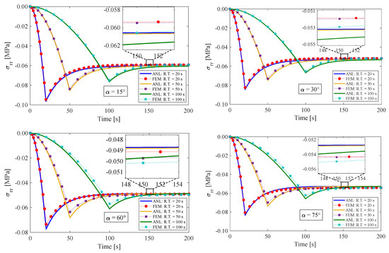
4.1. Stress Relaxation Test
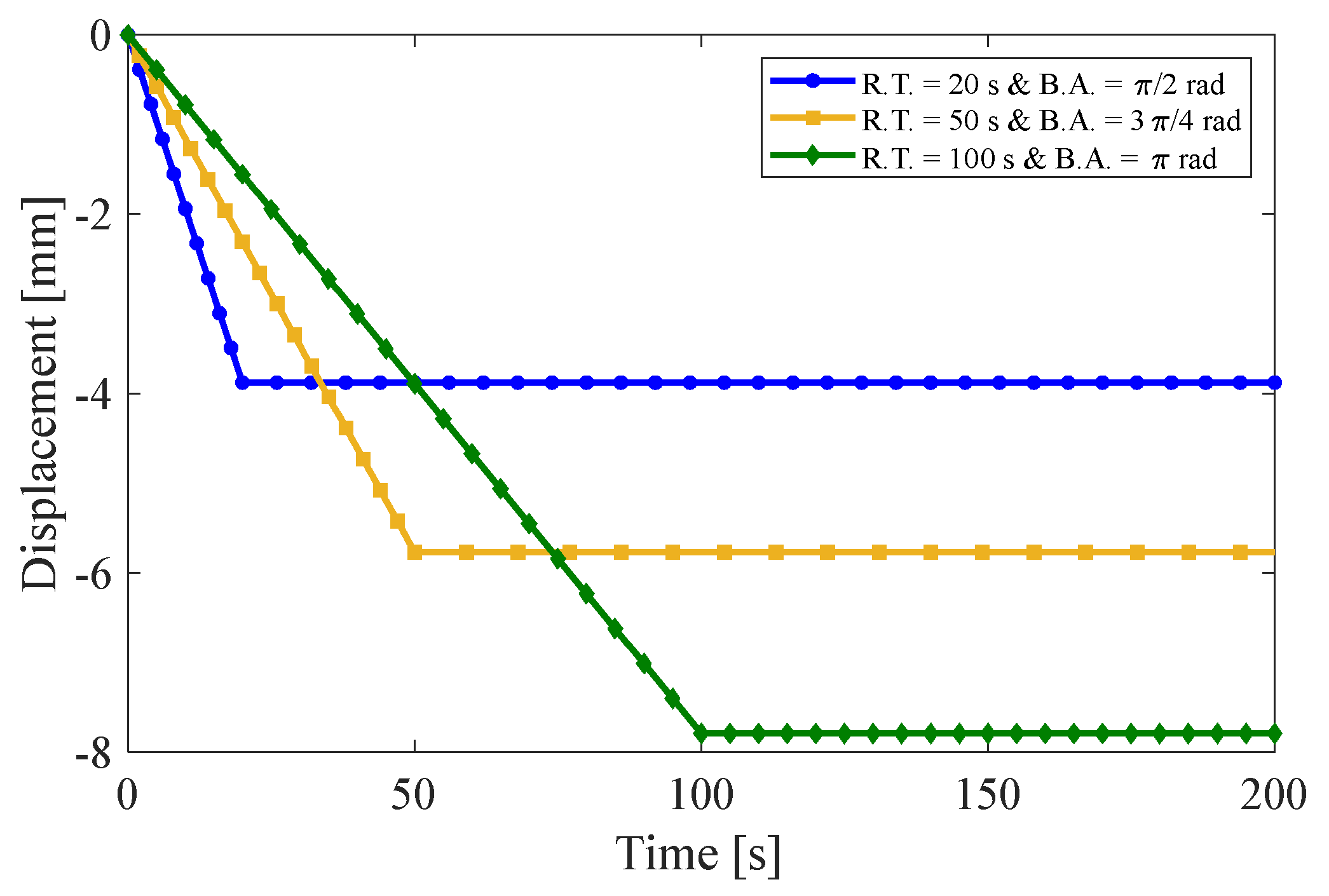
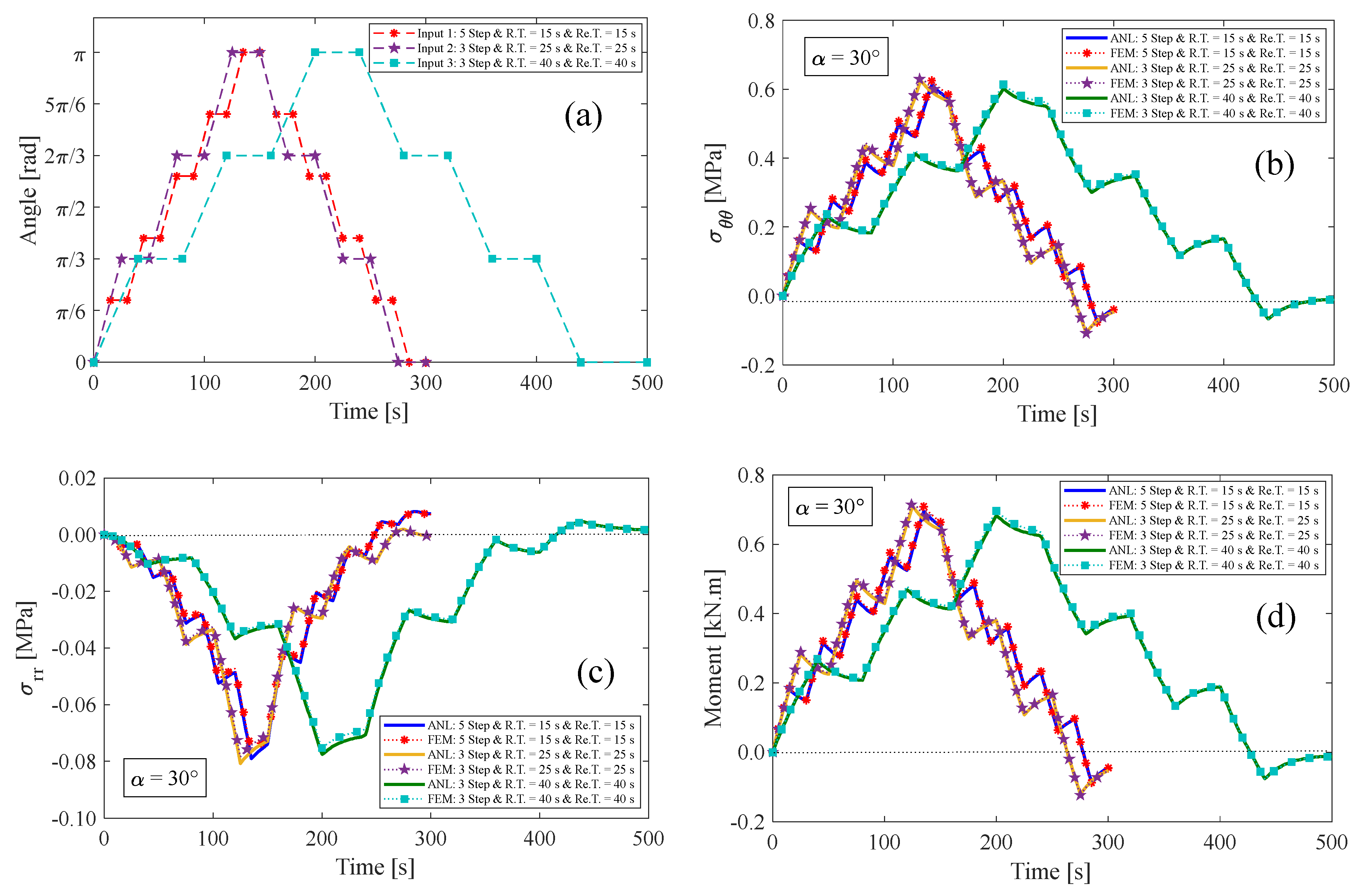
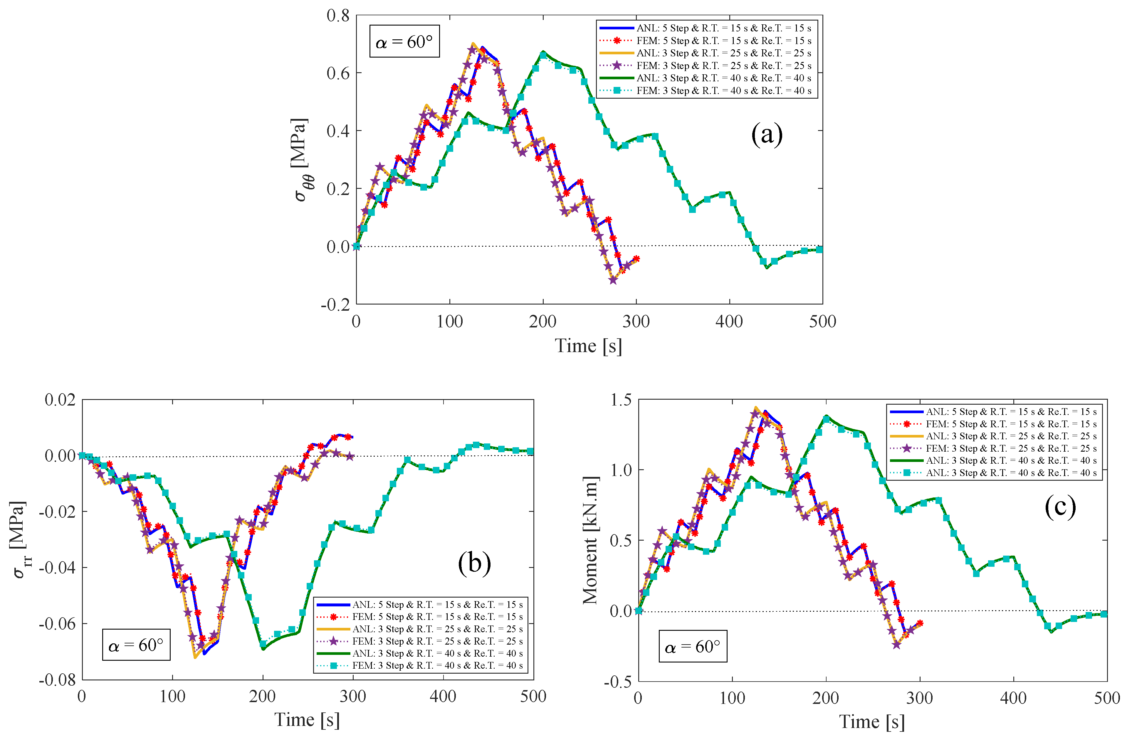
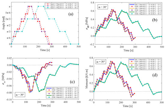
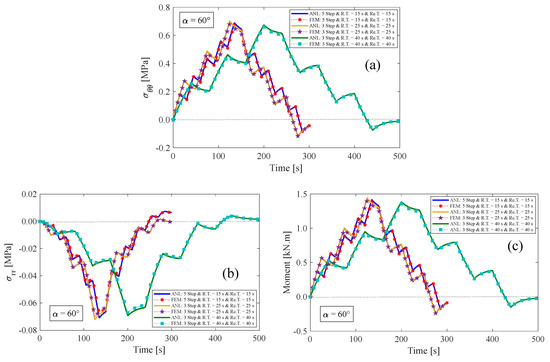
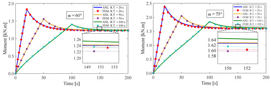
4.2. Multi-Step Relaxation Test
5. Summary and Conclusions
Author Contributions
Funding
Institutional Review Board Statement
Informed Consent Statement
Data Availability Statement
Conflicts of Interest
References
- Ren, J.S.; Cheng, C.J. Non-uniqueness and stability of two-family fiber-reinforced incompressible hyper-elastic sheet under equibiaxial loading. Appl. Math. Mech. 2013, 34, 1513–1520. [Google Scholar] [CrossRef]
- Beter, J.; Schrittesser, B.; Meier, G.; Fuchs, P.F.; Pinter, G. Influence of fiber orientation and adhesion properties on tailored fiber-reinforced elastomers. Appl. Compos. Mater. 2020, 27, 149–164. [Google Scholar] [CrossRef]
- Ma, L.; Liu, F.; Liu, D.; Liu, Y. Review of strain rate effects of fiber-reinforced polymer composites. Polymers 2021, 13, 2839. [Google Scholar] [CrossRef] [PubMed]
- Paudel, A.; Kuchena, S.; Wang, Y. A full metal-free battery operating under cold condition enabled by an antisolvent. Electrochim. Acta 2023, 469, 143227. [Google Scholar] [CrossRef]
- Gültekin, O.; Dal, H.; Holzapfel, G.A. On the quasi-incompressible finite element analysis of anisotropic hyperelastic materials. Comput. Mech. 2019, 63, 443–453. [Google Scholar] [CrossRef]
- Yang, B.; Kim, B.; Lee, H.K. Predictions of viscoelastic strain rate dependent behavior of fiber-reinforced polymeric composites. Compos. Struct. 2012, 94, 1420–1429. [Google Scholar] [CrossRef]
- Li, Y.; Li, W.; Tao, Y.; Shao, J.; Deng, Y.; Kou, H.; Zhang, X.; Chen, L. Theoretical model for the temperature dependent longitudinal tensile strength of unidirectional fiber reinforced polymer composites. Compos. Part B Eng. 2019, 161, 121–127. [Google Scholar] [CrossRef]
- He, G.; Liu, Y.; Deng, X.; Fan, L. Constitutive modeling of viscoelastic–viscoplastic behavior of short fiber reinforced polymers coupled with anisotropic damage and moisture effects. Acta Mech. Sin. 2019, 35, 495–506. [Google Scholar] [CrossRef]
- Holzapfel, G.A.; Gasser, T.C. A viscoelastic model for fiber-reinforced composites at finite strains: Continuum basis, computational aspects and applications. Comput. Methods Appl. Mech. Eng. 2001, 190, 4379–4403. [Google Scholar] [CrossRef]
- Pena, E.; Calvo, B.; Martínez, M.; Doblaré, M. An anisotropic visco-hyperelastic model for ligaments at finite strains. Formul. Comput. Asp. Int. J. Solids Struct. 2007, 44, 760–778. [Google Scholar] [CrossRef]
- Limbert, G.; Middleton, J. A transversely isotropic viscohyperelastic material: Application to the modeling of biological soft connective tissues. Int. J. Solids Struct. 2004, 41, 4237–4260. [Google Scholar] [CrossRef]
- Amar, M.B. Nonlinear visco-elasticity of soft tissues under cyclic deformations. Int. J. Non-Linear Mech. 2018, 106, 238–244. [Google Scholar] [CrossRef]
- Charlebois, M.; Motallebzadeh, H.; Funnell, W.R.J. Visco-hyperelastic law for finite deformations: A frequency analysis. Biomech. Model. Mechanobiol. 2013, 12, 705–715. [Google Scholar] [CrossRef] [PubMed]
- Huang, Y.; Oterkus, S.; Hou, H.; Oterkus, E.; Wei, Z.; Zhang, S. Peridynamic model for visco-hyperelastic material deformation in different strain rates. Contin. Mech. Thermodyn. 2019, 1–35. [Google Scholar] [CrossRef]
- Tobajas, R.; Elduque, D.; Ibarz, E.; Javierre, C.; Canteli, A.F.; Gracia, L. Visco-hyperelastic model with damage for simulating cyclic thermoplastic elastomers behavior applied to an industrial component. Polymers 2018, 10, 668. [Google Scholar] [CrossRef]
- Diani, J.; Brieu, M.; Gilormini, P. Observation and modeling of the anisotropic visco-hyperelastic behavior of a rubberlike material. Int. J. Solids Struct. 2006, 43, 3044–3056. [Google Scholar] [CrossRef]
- Nguyen, T.; Jones, R.; Boyce, B. Modeling the anisotropic finite-deformation viscoelastic behavior of soft fiber-reinforced composites. Int. J. Solids Struct. 2007, 44, 8366–8389. [Google Scholar] [CrossRef]
- Rajagopal, K.; Wineman, A. Response of anisotropic nonlinearly viscoelastic solids. Math. Mech. Solids 2009, 14, 490–501. [Google Scholar] [CrossRef]
- Kulkarni, S.; Gao, X.; Horner, S.; Mortlock, R.; Zheng, J. A transversely isotropic visco-hyperelastic constitutive model for soft tissues. Math. Mech. Solids 2016, 21, 747–770. [Google Scholar] [CrossRef]
- Anani, Y.; Rahimi, G. Modeling of visco-hyperelastic behavior of transversely isotropic functionally graded rubbers. Polym. Eng. Sci. 2016, 56, 342–347. [Google Scholar] [CrossRef]
- Yang, H.; Yao, X.F.; Yan, H.; Yuan, Y.N.; Dong, Y.F.; Liu, Y.H. Anisotropic hyper-viscoelastic behaviors of fabric reinforced rubber composites. Compos. Struct. 2018, 187, 116–121. [Google Scholar] [CrossRef]
- Fard, A.M.Z.; Vakili-Tahami, F. Fibrous soft tissues damage evaluation with a coupled thermo-visco-hyperelastic model. Int. J. Non-Linear Mech. 2020, 118, 103260. [Google Scholar] [CrossRef]
- Rivlin, R.S. Large elastic deformations of isotropic materials VI. Further results in the theory of torsion, shear and flexure. Philos. Trans. R. Soc. Lond. Ser. A Math. Phys. Sci. 1949, 242, 173–195. [Google Scholar]
- Rivlin, R. Large elastic deformations of isotropic materials. V. The problem of flexure. Proc. R. Soc. London. Ser. A Math. Phys. Sci. 1949, 195, 463–473. [Google Scholar]
- Taber, L.A. Nonlinear Theory of Elasticity: Applications in Biomechanics; World Scientific: Singapore, 2004. [Google Scholar]
- Kanner, L.M.; Horgan, C.O. Plane strain bending of strain-stiffening rubber-like rectangular beams. Int. J. Solids Struct. 2008, 45, 1713–1729. [Google Scholar] [CrossRef]
- Shojaeifard, M.; Sheikhi, S.; Baniassadi, M.; Baghani, M. On finite bending of visco-hyperelastic materials: A novel analytical solution and FEM. Acta Mech. 2020, 231, 3435–3450. [Google Scholar] [CrossRef]
- Pashazadeh, J.; Amiri, A.; Taheri, A.; Baghani, M. A Finite Strain Analytical Solution for Stress-Softening of Hyperelastic Materials Under Cyclic Bending. Int. J. Appl. Mech. 2021, 13, 2150014. [Google Scholar] [CrossRef]
- Bakhtiyari, A.; Baniasadi, M.; Baghani, M. Development of a large strain formulation for multiple shape-memory-effect of polymers under bending. Int. J. Mech. Sci. 2021, 204, 106560. [Google Scholar] [CrossRef]
- Schröder, J.; Neff, P.; Balzani, D. A variational approach for materially stable anisotropic hyperelasticity. Int. J. Solids Struct. 2005, 42, 4352–4371. [Google Scholar] [CrossRef]
- Topol, H.; A1-Chlaihawi, M.J.; Demirkoparan, H.; Merodio, J. Bulging initiation and propagation in fiber-reinforced swellable Mooney–Rivlin membranes. J. Eng. Math. 2021, 128, 1–15. [Google Scholar] [CrossRef]
- Holzapfel, A.G. Nonlinear solid mechanics. In A Continuum Approach for Engineering; Wiley: Chichester, UK, 2000. [Google Scholar]
- Merodio, J.; Ogden, R. Mechanical response of fiber-reinforced incompressible non-linearly elastic solids. Int. J. Non-Linear Mech. 2005, 40, 213–227. [Google Scholar] [CrossRef]
- Peña, E.; Pena, J.; Doblaré, M. On modelling nonlinear viscoelastic effects in ligaments. J. Biomech. 2008, 41, 2659–2666. [Google Scholar] [CrossRef] [PubMed]
- Lin, H.T.; Dorfmann, A.L.; Trimmer, B.A. Soft-cuticle biomechanics: A constitutive model of anisotropy for caterpillar integument. J. Theor. Biol. 2009, 256, 447–457. [Google Scholar] [CrossRef] [PubMed]
- Murphy, J. Transversely isotropic biological, soft tissue must be modelled using both anisotropic invariants. Eur. J. Mech.-A/Solids 2013, 42, 90–96. [Google Scholar] [CrossRef]
- Holzapfel, G.A. On large strain viscoelasticity: Continuum formulation and finite element applications to elastomeric structures. Int. J. Numer. Methods Eng. 1996, 39, 3903–3926. [Google Scholar] [CrossRef]
- Holzapfel, G.A.; Gasser, T.C.; Stadler, M. A structural model for the viscoelastic behavior of arterial walls: Continuum formulation and finite element analysis. Eur. J. Mech.-A/Solids 2002, 21, 441–463. [Google Scholar] [CrossRef]
- Ahmadi, A.; Asgari, M. Nonlinear coupled electro-mechanical behavior of a novel anisotropic fiber-reinforced dielectric elastomer. Int. J. Non-Linear Mech. 2020, 119, 103364. [Google Scholar] [CrossRef]
- Roccabianca, S.; Gei, M.; Bigoni, D. Plane strain bifurcations of elastic layered structures subject to finite bending: Theory versus experiments. IMA J. Appl. Math. 2010, 75, 525–548. [Google Scholar] [CrossRef]
- Allahyari, E.; Asgari, M. Fiber reinforcement characteristics of anisotropic dielectric elastomers: A constitutive modeling development. Mech. Adv. Mater. Struct. 2022, 29, 5542–5556. [Google Scholar] [CrossRef]












| Mooney–Rivlin Strain Energy Function Parameters | |||
|---|---|---|---|
| 315,000 | 17,200 | 150,000 | 0.2 |
| Viscoelastic parameters | |||
| 0.8 | 20 | ||
| Maximum Error (%) | |||||||
|---|---|---|---|---|---|---|---|
| (Outer surface) | 0.8 | 2.4 | 2.9 | 1.5 | 1.7 | 2.0 | 0.7 |
| (Inner surface) | 1.1 | 3.4 | 3.8 | 2.5 | 1.7 | 2.2 | 1.3 |
| (Outer surface) | 1.5 | 2.9 | 3.7 | 3.2 | 1.9 | 1.4 | 1.1 |
| (Inner surface) | 1.0 | 2.6 | 3.0 | 2.8 | 2.5 | 1.7 | 0.8 |
| (Neutral axis) | 0.9 | 2.0 | 2.4 | 0.6 | 5.6 | 5.2 | 1.9 |
| (Outer surface) | 0 | 2.1 | 3.0 | 0.3 | 3.6 | 2.9 | 0 |
| (Inner surface) | 0 | 1.8 | 2.6 | 0.4 | 3.2 | 2.8 | 0 |
Disclaimer/Publisher’s Note: The statements, opinions and data contained in all publications are solely those of the individual author(s) and contributor(s) and not of MDPI and/or the editor(s). MDPI and/or the editor(s) disclaim responsibility for any injury to people or property resulting from any ideas, methods, instructions or products referred to in the content. |
© 2023 by the authors. Licensee MDPI, Basel, Switzerland. This article is an open access article distributed under the terms and conditions of the Creative Commons Attribution (CC BY) license (https://creativecommons.org/licenses/by/4.0/).
Share and Cite
Pashazadeh, J.; Ostadrahimi, A.; Baghani, M.; Choi, E. Finite Bending of Fiber-Reinforced Visco-Hyperelastic Material: Analytical Approach and FEM. Materials 2024, 17, 5. https://doi.org/10.3390/ma17010005
Pashazadeh J, Ostadrahimi A, Baghani M, Choi E. Finite Bending of Fiber-Reinforced Visco-Hyperelastic Material: Analytical Approach and FEM. Materials. 2024; 17(1):5. https://doi.org/10.3390/ma17010005
Chicago/Turabian StylePashazadeh, Jafar, Alireza Ostadrahimi, Mostafa Baghani, and Eunsoo Choi. 2024. "Finite Bending of Fiber-Reinforced Visco-Hyperelastic Material: Analytical Approach and FEM" Materials 17, no. 1: 5. https://doi.org/10.3390/ma17010005
APA StylePashazadeh, J., Ostadrahimi, A., Baghani, M., & Choi, E. (2024). Finite Bending of Fiber-Reinforced Visco-Hyperelastic Material: Analytical Approach and FEM. Materials, 17(1), 5. https://doi.org/10.3390/ma17010005

