Fe- and S-Modified BiOI as Catalysts to Oxygen Evolution and Hydrogen Evolution Reactions in Overall Photoelectrochemical Water Splitting
Abstract
:1. Introduction
2. Experimental Procedure
2.1. Preparation of Catalysts
2.2. Physical Characterizations
2.3. Photoelectrochemical Catalysis Measurements
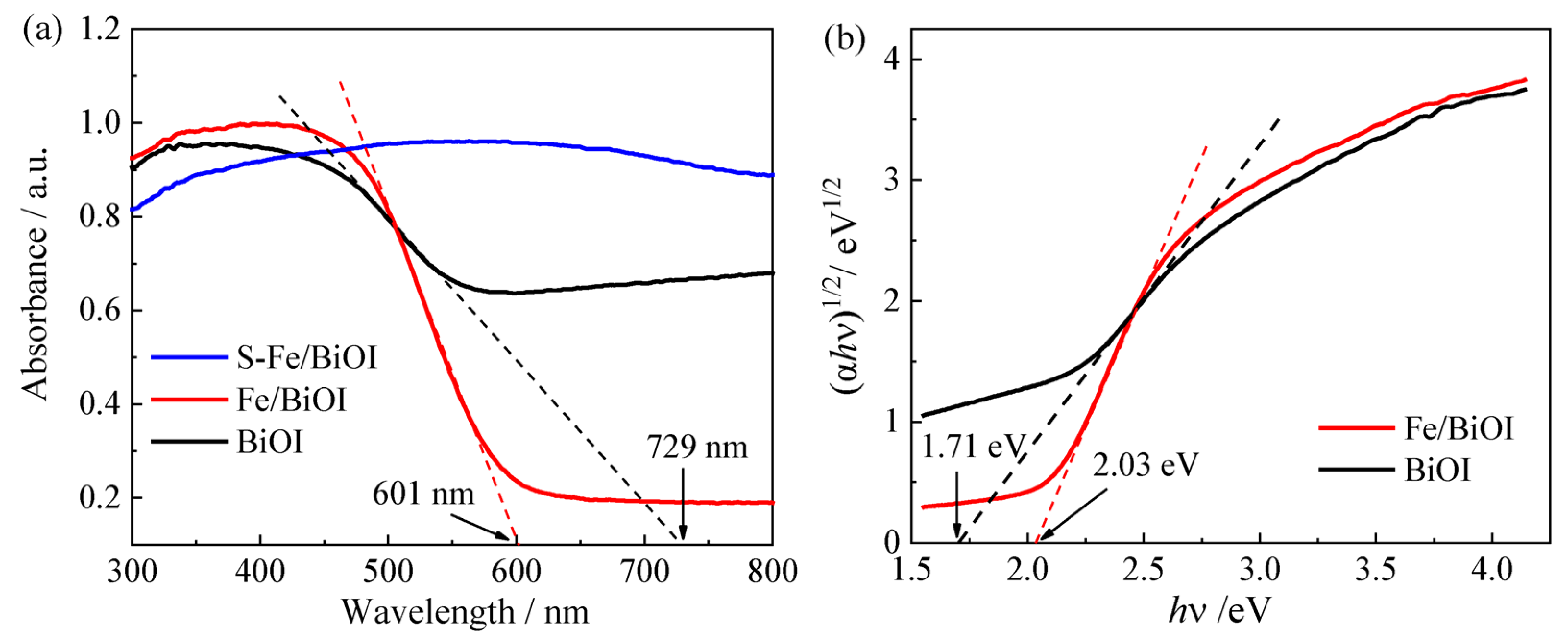
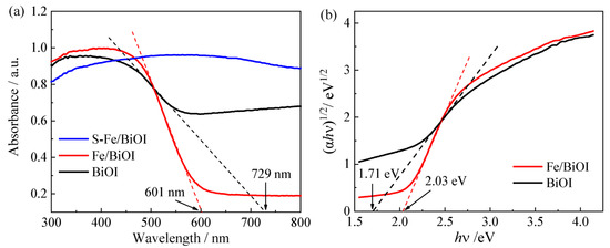
3. Results and Discussion
4. Conclusions
Author Contributions
Funding
Data Availability Statement
Conflicts of Interest
References
- Ye, S.; Shi, W.; Liu, Y.; Li, D.; Yin, H.; Chi, H.; Luo, Y.; Ta, N.; Fan, F.; Wang, X.; et al. Unassisted photoelectrochemical cell with multimediator modulation for solar water splitting exceeding 4% solar-to-hydrogen efficiency. J. Am. Chem. Soc. 2021, 143, 12499–12508. [Google Scholar] [CrossRef]
- Cao, H.; Wang, T.; Li, J.; Wu, J.; Du, P. A molecular cobaloxime cocatalyst and ultrathin FeOOH nanolayers co-modified BiVO4 photoanode for efficient photoelectrochemical water oxidation. J. Energy Chem. 2022, 69, 497–505. [Google Scholar] [CrossRef]
- Reddy, A.S.; Kim, J. An efficient g-C3N4-decorated CdS-nanoparticle-doped Fe3O4 hybrid catalyst for an enhanced H2 evolution through photoelectrochemical water splitting. Appl. Surf. Sci. 2020, 513, 145836. [Google Scholar] [CrossRef]
- El Rouby, W.M.; Aboubakr, A.E.A.; Khan, M.D.; Farghali, A.A.; Millet, P.; Revaprasadu, N. Synthesis and characterization of Bi-doped g-C3N4 for photoelectrochemical water oxidation. Sol. Energy 2020, 211, 478–487. [Google Scholar] [CrossRef]
- Fang, G.; Liu, Z.; Han, C.; Wang, P.; Ma, X.; Lv, H.; Huang, C.; Cheng, Z.; Tong, Z. Promising CoFe-NiOOH ternary polymetallic cocatalyst for BiVO4-based photoanodes in photoelectrochemical water splitting. ACS Appl. Energy Mater. 2021, 4, 3842–3850. [Google Scholar] [CrossRef]
- Wang, H.F.; Chen, L.; Pang, H.; Kaskel, S.; Xu, Q. MOF-derived electrocatalysts for oxygen reduction, oxygen evolution and hydrogen evolution reactions. Chem. Soc. Rev. 2020, 49, 1414–1448. [Google Scholar] [CrossRef]
- Tang, Y.; Lei, Y.; Li, G.; Fu, T.; Xiang, Y.; Sha, J.; Yang, H.; Yu, P.; Si, Y.; Guo, C. Positive regulation of active sites for oxygen evolution reactions by encapsulating NiFe2O4 nanoparticles in N-doped carbon nanotubes in situ to construct efficient bifunctional oxygen catalysts for rechargeable Zn–air batteries. J. Mater. Chem. A 2022, 10, 5305–5316. [Google Scholar] [CrossRef]
- Wang, P.; Wan, L.; Lin, Y.; Wang, B. MoS2 supported CoS2 on carbon cloth as a high-performance electrode for hydrogen evolution reaction. Int. J. Hydrogen Energy 2019, 44, 16566–16574. [Google Scholar] [CrossRef]
- Liu, B.; Zhang, M.; Wang, Y.; Chen, Z.; Yan, K. Facile synthesis of defect-rich ultrathin NiCo-LDHs, NiMn-LDHs and NiCoMn-LDHs nanosheets on Ni foam for enhanced oxygen evolution reaction performance. J. Alloys Compd. 2021, 852, 156949. [Google Scholar] [CrossRef]
- Li, T.; Lv, Y.; Su, J.; Wang, Y.; Yang, Q.; Zhang, Y.; Zhou, J.; Xu, L.; Sun, D.; Tang, Y. Anchoring CoFe2O4 nanoparticles on N-doped carbon nanofibers for high-performance oxygen evolution reaction. Adv. Sci. 2017, 4, 1700226. [Google Scholar] [CrossRef]
- Wang, A.; Dou, Y.; Yang, X.; Wang, Q.; Sudi, M.S.; Zhao, L.; Shang, D.; Zhu, W.; Ren, J. Efficient oxygen evolution reaction from iron-molybdenum nitride/molybdenum oxide heterostructured composites. Dalton Trans. 2023, 52, 11234–11242. [Google Scholar] [CrossRef] [PubMed]
- Zhang, Y.; Zhao, M.; Huang, J.; Zhao, N.; Yu, H. Controllable synthesis, photocatalytic property, and mechanism of a novel POM-based direct Z-scheme nano-heterojunction α-Fe2O3/P2Mo18. Molecules 2023, 28, 6671. [Google Scholar] [CrossRef] [PubMed]
- Zhao, D.; Dai, J.; Zhou, N.; Wang, N.; Xinwen, P.; Qu, Y.; Li, L. Prussian blue analogues-derived carbon composite with cobalt nanoparticles as an efficient bifunctional electrocatalyst for oxygen reduction and hydrogen evolution. Carbon 2019, 142, 196–205. [Google Scholar] [CrossRef]
- Jia, Y.; Liu, P.; Wang, Q.; Wu, Y.; Cao, D.; Qiao, Q.A. Construction of Bi2S3-BiOBr nanosheets on TiO2 nta as the effective photocatalysts: Pollutant removal, photoelectric conversion and hydrogen generation. J. Colloid Interface Sci. 2021, 585, 459–469. [Google Scholar] [CrossRef]
- Dileepkumar, V.; Pratapkumar, C.; Viswanatha, R.; Basavaraja, B.M.; Maphanga, R.R.; Chennabasappa, M.; Srinivasa, N.; Ashoka, S.; Chen, Z.; Rtimi, S.; et al. Nanostructured NaFeS2 as a cost-effective and robust electrocatalyst for hydrogen and oxygen evolution with reduced overpotentials. Chem. Eng. J. 2021, 426, 131315. [Google Scholar] [CrossRef]
- Qiu, Y.; Pan, Z.; Chen, H.; Ye, D.; Guo, L.; Fan, Z.; Yang, S. Current progress in developing metal oxide nanoarrays-based photoanodes for photoelectrochemical water splitting. Sci. Bull. 2019, 64, 1348–1380. [Google Scholar] [CrossRef]
- Abe, R. Recent progress on photocatalytic and photoelectrochemical water splitting under visible light irradiation. J. Photochem. Photobiol. C Photochem. Rev. 2010, 11, 179–209. [Google Scholar] [CrossRef]
- Feng, X.; Sun, L.; Wang, W.; Zhao, Y.; Shi, J.W. Construction of CdS@ZnO core–shell nanorod arrays by atomic layer deposition for effcient photoelectrochemical H2 evolution. Sep. Purifcation Technol. 2023, 324, 124520. [Google Scholar] [CrossRef]
- Yang, J.; Zhang, C.; Niu, Y.; Huang, J.; Qian, X.; Wong, K.-Y. N-doped C-CoS2@CoS2/MoS2 nano polyhedrons with hierarchical yolk-shelled structures as bifunctional catalysts for enhanced photovoltaics and hydrogen evolution. Chem. Eng. J. 2021, 409, 128293. [Google Scholar] [CrossRef]
- Geng, H.; Ying, P.; Zhao, Y.; Gu, X. Cactus shaped FeOOH/Au/BiVO4 photoanodes for efficient photoelectrochemical water splitting. Int. J. Hydrogen Energy 2021, 46, 35280–35289. [Google Scholar] [CrossRef]
- Yang, J.; Su, H.; Wu, Y.; Li, D.; Zhang, D.; Sun, H.; Yin, S. Facile synthesis of kermesinus BiOI with oxygen vacancy for efficient hydrogen generation. Chem. Eng. J. 2021, 420, 127607. [Google Scholar] [CrossRef]
- Chang, C.-J.; Lin, Y.-G.; Chao, P.-Y.; Chen, J.-K. AgI-BiOI-graphene composite photocatalysts with enhanced interfacial charge transfer and photocatalytic H2 production activity. Appl. Surf. Sci. 2019, 469, 703–712. [Google Scholar] [CrossRef]
- Xiong, J.; Song, P.; Di, J.; Li, H. Bismuth-rich bismuth oxyhalides: A new opportunity to trigger high-efficiency photocatalysis. J. Mater. Chem. A 2020, 8, 21434–21454. [Google Scholar] [CrossRef]
- Sun, J.; Wen, J.; Wu, G.; Zhang, Z.; Chen, X.; Wang, G.; Liu, M. Harmonizing the Electronic Structures on BiOI with Active Oxygen Vacancies toward Facet-Dependent Antibacterial Photodynamic Therapy. Adv. Funct. Mater. 2020, 30, 2004108. [Google Scholar] [CrossRef]
- Hsu, C.L.; Li, Y.J.; Jian, H.J.; Harroun, S.G.; Wei, S.C.; Ravindranath, R.; Lai, J.Y.; Huang, C.C.; Chang, H.T. Green synthesis of catalytic gold/bismuth oxyiodide nanocomposites with oxygen vacancies for treatment of bacterial infections. Nanoscale 2018, 10, 11808–11819. [Google Scholar] [CrossRef]
- Long, M.; Hu, P.; Wu, H.; Cai, J.; Tan, B.; Zhou, B. Efficient visible light photocatalytic heterostructure of nonstoichiometric bismuth oxyiodide and iodine intercalated Bi2O2CO3. Appl. Catal. B Environ. 2016, 184, 20–27. [Google Scholar] [CrossRef]
- Zhao, Y.; Cao, Z.; Zuh, A.A.; Jia, Y.; Wang, Q.; Cheng, H. Synthesis of bismuth oxyiodide/kaolinite composite with enhanced photocatalytic activity. J. Phys. Chem. Solids 2022, 161, 110424. [Google Scholar] [CrossRef]
- Li, D.; Xu, K.; Zhang, C. Improvement of Photocatalytic Performance by Building Multiple Heterojunction Structures of Anatase–Rutile/BiOI Composite Fibers. Nanomaterials 2022, 12, 3906. [Google Scholar] [CrossRef]
- Dai, Y.-M.; Wu, W.-T.; Lin, Y.-Y.; Wu, H.-L.; Chen, S.-H.; Jehng, J.-M.; Lin, J.-H.; Liu, F.-Y.; Chen, C.-C. Photocatalytic CO2 reduction to CH4 and dye degradation using bismuth oxychloride/bismuth oxyiodide/graphitic carbon nitride (BiOmCln/BiOpIq/g-C3N4) nanocomposite with enhanced visible-light photocatalytic activity. Catalysts 2023, 13, 522. [Google Scholar] [CrossRef]
- Li, Y.; Rao, F.; Zhong, J.; Li, J. In-situ fabrication of Bi2S3/g-C3N4 heterojunctions with boosted H2 production rate under visible light irradiation. Fuel 2023, 341, 127629. [Google Scholar] [CrossRef]
- Lv, P.; Fu, W.; Yang, H.; Sun, H.; Chen, Y.; Ma, J.; Zhou, X.; Tian, L.; Zhang, W.; Li, M.; et al. Simple synthesis method of Bi2S3/CdS quantum dots cosensitized TiO2 nanotubes array with enhanced photoelectrochemical and photocatalytic activity. CrystEngComm 2013, 15, 7548. [Google Scholar] [CrossRef]
- Luo, L.; Shen, X.; Song, L.; Zhang, Y.; Zhu, B.; Liu, J.; Chen, Q.; Chen, Z.; Zhang, L. MoS2/Bi2S3 heterojunctions-decorated carbon-fiber cloth as flexible and filter-membrane-shaped photocatalyst for the efficient degradation of flowing wastewater. J. Alloys Compd. 2019, 779, 599–608. [Google Scholar] [CrossRef]
- Arumugam, M.; Lee, S.J.; Begildayeva, T.; Naik, S.S.; Yu, Y.; Lee, H.; Theerthagiri, J.; Choi, M.Y. Enhanced photocatalytic activity at multidimensional interface of 1D-Bi2S3@2D-GO/3D-BiOI ternary nanocomposites for tetracycline degradation under visible-light. J. Hazard Mater. 2021, 404, 123868. [Google Scholar] [CrossRef]
- Yang, Y.; Liu, L.; Wu, J.; Qian, X. Hierarchical Bi2S3@CoS2/MoS2 core-shelled microspheres as bifunctional electrode catalysts for efficient triiodide reduction and alkaline hydrogen evolution reactions. J. Alloys Compd. 2022, 924, 166548. [Google Scholar] [CrossRef]
- Chemelewski, W.D.; Lee, H.C.; Lin, J.F.; Bard, A.J.; Mullins, C.B. Amorphous FeOOH oxygen evolution reaction catalyst for photoelectrochemical water splitting. J. Am. Chem. Soc. 2014, 136, 2843–2850. [Google Scholar] [CrossRef] [PubMed]
- Liu, J.; Qian, G.; Zhang, H.; Chen, J.; Wang, Y.; He, H.; Luo, L.; Yin, S. Amorphous FeOOH coating stabilizes WO2-NaxWO3 for accelerating oxygen evolution reaction. Chem. Eng. J. 2021, 426, 131253. [Google Scholar] [CrossRef]
- Sun, Y.; Liao, J.; Dong, F.; Wu, S.; Sun, L. A Bi/BiOI/(BiO)2CO3 heterostructure for enhanced photocatalytic no removal under visible light. Chin. J. Catal. 2019, 40, 362–370. [Google Scholar] [CrossRef]
- Douka, A.I.; Xu, Y.; Yang, H.; Zaman, S.; Yan, Y.; Liu, H.; Salam, M.A.; Xia, B.Y. A zeolitic-imidazole frameworks-derived interconnected macroporous carbon matrix for efficient oxygen electrocatalysis in rechargeable zinc-air batteries. Adv. Mater. 2020, 32, e2002170. [Google Scholar] [CrossRef] [PubMed]
- Li, X.; Gao, K.; Mo, B.; Tang, J.; Wu, J.; Hou, H. BiOI Particles Confined into Metal–Organic Framework NU-1000 for Valid Photocatalytic Hydrogen Evolution under Visible-Light Irradiation. Inorg. Chem. 2021, 60, 1352–1358. [Google Scholar] [CrossRef]
- Yang, Y.; Zeng, Z.; Zhang, C.; Huang, D.; Zeng, G.; Xiao, R.; Lai, C.; Zhou, C.; Guo, H.; Xue, W.; et al. Construction of iodine vacancy-rich BiOI/Ag@AgI z-scheme heterojunction photocatalysts for visible-light-driven tetracycline degradation: Transformation pathways and mechanism insight. Chem. Eng. J. 2018, 349, 808–821. [Google Scholar] [CrossRef]
- Kandi, D.; Behera, A.; Sahoo, S.; Parida, K. CdS QDs modified BiOI/Bi2MoO6 nanocomposite for degradation of quinolone and tetracycline types of antibiotics towards environmental remediation. Sep. Purif. Technol. 2020, 253, 117523. [Google Scholar] [CrossRef]
- Malik, J.; Kumar, S.; Mandal, T.K. Reactive species specific RhB assisted collective photocatalytic degradation of tetracycline antibiotics with triple-layer Aurivillius perovskites. Catal. Sci. Technol. 2022, 12, 6704–6716. [Google Scholar] [CrossRef]
- Malik, J.; Kumar, S.; Srivastava, P.; Bag, M.; Mandal, T.K. Cation disorder and octahedral distortion control of internal electric field, band bending and carrier lifetime in Aurivillius perovskite solid solutions for enhanced photocatalytic activity. Mater. Adv. 2021, 2, 4832–4842. [Google Scholar] [CrossRef]









Disclaimer/Publisher’s Note: The statements, opinions and data contained in all publications are solely those of the individual author(s) and contributor(s) and not of MDPI and/or the editor(s). MDPI and/or the editor(s) disclaim responsibility for any injury to people or property resulting from any ideas, methods, instructions or products referred to in the content. |
© 2023 by the authors. Licensee MDPI, Basel, Switzerland. This article is an open access article distributed under the terms and conditions of the Creative Commons Attribution (CC BY) license (https://creativecommons.org/licenses/by/4.0/).
Share and Cite
Lei, Y.; Chen, H.; Shu, C.; Chen, C. Fe- and S-Modified BiOI as Catalysts to Oxygen Evolution and Hydrogen Evolution Reactions in Overall Photoelectrochemical Water Splitting. Materials 2024, 17, 6. https://doi.org/10.3390/ma17010006
Lei Y, Chen H, Shu C, Chen C. Fe- and S-Modified BiOI as Catalysts to Oxygen Evolution and Hydrogen Evolution Reactions in Overall Photoelectrochemical Water Splitting. Materials. 2024; 17(1):6. https://doi.org/10.3390/ma17010006
Chicago/Turabian StyleLei, Yu, Hongdian Chen, Chenyang Shu, and Changguo Chen. 2024. "Fe- and S-Modified BiOI as Catalysts to Oxygen Evolution and Hydrogen Evolution Reactions in Overall Photoelectrochemical Water Splitting" Materials 17, no. 1: 6. https://doi.org/10.3390/ma17010006
APA StyleLei, Y., Chen, H., Shu, C., & Chen, C. (2024). Fe- and S-Modified BiOI as Catalysts to Oxygen Evolution and Hydrogen Evolution Reactions in Overall Photoelectrochemical Water Splitting. Materials, 17(1), 6. https://doi.org/10.3390/ma17010006

