Numerical Study on the Axial Compressive Behavior of Steel-Tube-Confined Concrete-Filled Steel Tubes
Abstract
:1. Introduction
2. FE Modelling
2.1. General Description
2.2. Material Models
2.2.1. Steel Material
2.2.2. Concrete and Sandwich Material
2.3. Elements and Meshing
2.4. Interfacial Properties and Boundaries
3. Verification
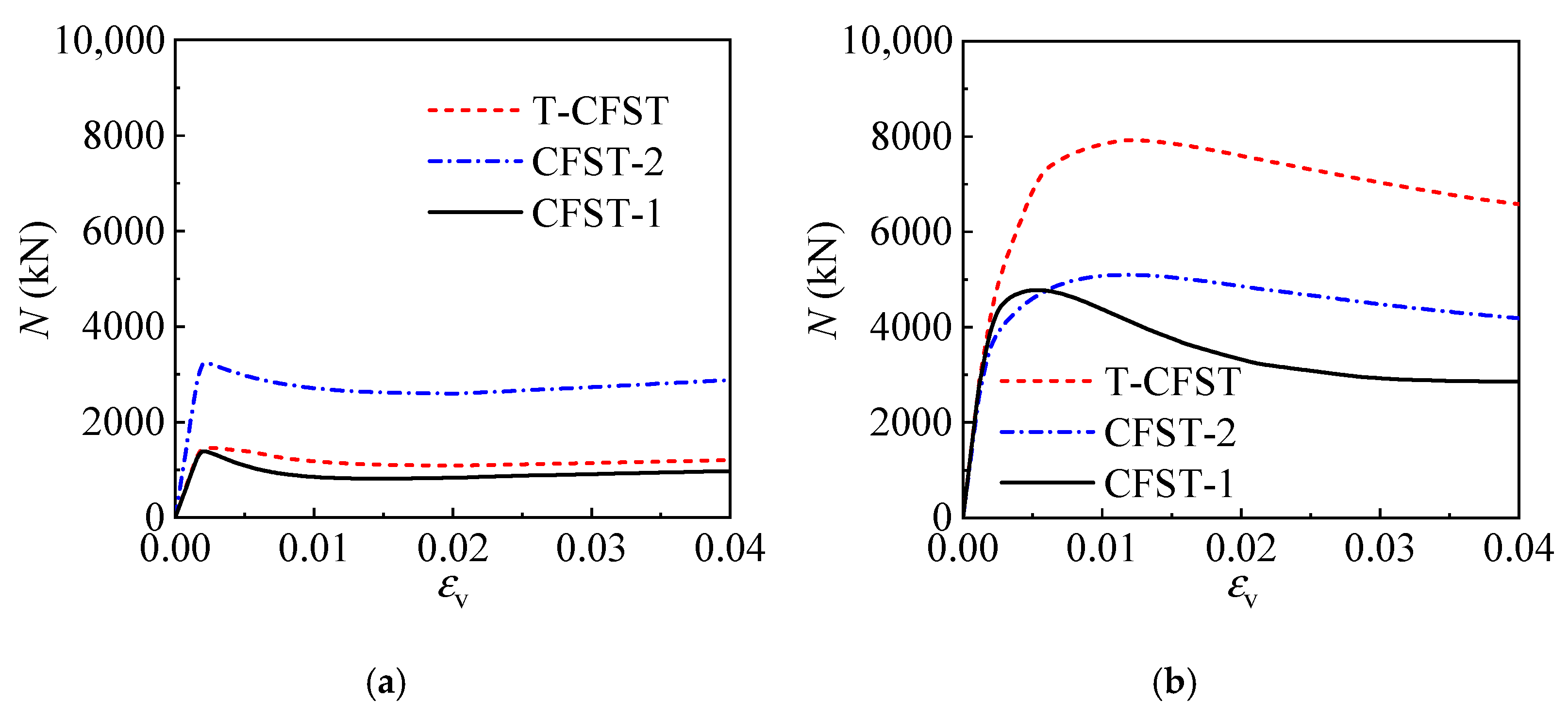
3.1. Load–Longitudinal Strain Curve
3.2. Strain and Stress Development
4. Confinement Mechanism
4.1. Cross-Sectional FE Model
4.1.1. Overall Deformation
4.1.2. Confining Process
4.1.3. Stress Development
4.2. Stub Column FE Model
5. Mechanical Properties of the Cross-Sectional FE Model
5.1. Configuration
5.1.1. Sandwich Layer Thickness
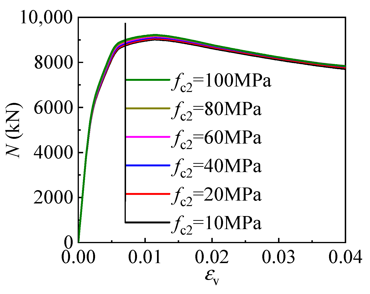
5.1.2. Sandwich Material Strength
5.2. Parameter Study
5.2.1. Outer Tube Thickness
5.2.2. Inner Tube Diameter-to-Thickness Ratio
5.2.3. Concrete Core Strength
5.2.4. Outer Tube Yield Strength
5.2.5. Inner Tube Yield Strength
5.3. Cross-Sectional Compressive Strength
6. Mechanical Properties of FE Model for Stub Column
6.1. Configuration
6.2. Parameter Study
6.2.1. Outer Tube Thickness
6.2.2. Inner Tube Diameter-to-Thickness Ratio
6.2.3. Concrete Strength
6.2.4. Outer Tube Yield Strength
6.2.5. Inner Tube Yield Strength
6.3. T-CFST Stub Column Compressive Strength
6.3.1. External Jacketing Bearing Capacity
6.3.2. Internal CFST Bearing Capacity
6.3.3. Compressive Strength of the T-CFST Stub Column
7. Conclusions
- (1)
- The development of concrete confinement by the inner and outer tubes in the T-CFST columns can be divided into the following stages: the internal CFST portion directly sustains the applied axial load while the outer tube does not; once the axial load is applied, the outer tube begins to offer lateral confinement to the internal CFST while the inner tube is compressed horizontally; the horizontal expansion of the core concrete develops quickly with the increase in axial load, leading to an increasing confinement by the outer tube, and the inner tube is still under compression laterally; after the outer tube yields, the confinement by the outer tube stays unchanged, and the inner tube hoop stress gradually turns from compression to tension, leading to continuously increasing concrete confinement.
- (2)
- The lateral confinement by the outer tube is determined by the outer tube steel ratio and yield strength. The variation of the confining pressure by the outer tube along the column height is illustrated through the consideration of the interfacial friction over the interface between the external jacketing and the internal CFST portion. The prediction method considering the confinement by the outer tube is proposed to determine the inner tube hoop stress, and the inner tube longitudinal stress can thus be given based on Mises yielding criterion. The strength and deformation ability of the core concrete is enhanced significantly by the effective confinement of the outer and inner tubes, and a calculating equation is also proposed to determine the strength of the core concrete at the compressive strength of the T-CFST columns.
- (3)
- Considering the distribution of the interfacial friction and its transferring length, the axial load carried by the external jacketing can be determined; based on the composite action between the external jacketing, inner tube, and the core concrete, a suitable calculation method is proposed to determine the compressive strength of the T-CFST columns.
Author Contributions
Funding
Institutional Review Board Statement
Informed Consent Statement
Data Availability Statement
Conflicts of Interest
References
- Han, L.; Li, W.; Bjorhovde, R. Developments and advanced applications of concrete-filled steel tubular (CFST) structures: Members. J. Constr. Steel Res. 2014, 100, 211–228. [Google Scholar] [CrossRef]
- Shanmugam, N.E.; Lakshmi, B. State of the art report on steel-concrete composite columns. J. Constr. Steel Res. 2001, 57, 1041–1080. [Google Scholar] [CrossRef]
- Gardner, N.J.; Ronald, J.E. Structural behavior of concrete filled steel tubes. ACI Struct. J. 1967, 64, 404–413. [Google Scholar]
- Zhang, S.; Guo, L.; Ye, Z.; Wang, Y. Behavior of Steel Tube and Confined High Strength Concrete for Concrete-Filled RHS Tubes. Adv. Struct. Eng. 2005, 8, 101–116. [Google Scholar] [CrossRef]
- Peter, M.; Bonacci, J.F.; Lachemi, M. Composite response of high-strength concrete confined by circular steel tube. ACI Struct. J. 2004, 101, 466–474. [Google Scholar]
- Johansson, M.; Gylltoft, K. Mechanical Behavior of Circular Steel-Concrete Composite Stub Columns. J. Struct. Eng. 2002, 128, 1073–1081. [Google Scholar] [CrossRef]
- Fam, A.; Qie, F.S.; Rizkalla, S. Concrete-filled steel tubes subjected to axial compression and lateral cyclic loads. J. Struct. Eng. 2004, 130, 631–640. [Google Scholar] [CrossRef]
- Liu, J.; Zhang, S.; Zhang, X.; Guo, L. Behavior and strength of circular tube confined reinforced-concrete (CTRC) columns. J. Constr. Steel Res. 2009, 65, 1447–1458. [Google Scholar] [CrossRef]
- Liu, J.; Zhou, X. Behavior and strength of tubed RC stub columns under axial compression. J. Constr. Steel Res. 2010, 66, 28–36. [Google Scholar] [CrossRef]
- Liu, J.; Zhou, X.; Gan, D. Effect of friction on axially loaded stub circular tubed columns. Adv. Struct. Eng. 2016, 19, 546–559. [Google Scholar] [CrossRef]
- Wang, J.; Cheng, L.; Sun, M.; Jia, J. Axial load behavior and strength of tube-confined steel-reinforced short columns with ultra-high-strength concrete. Adv. Struct. Eng. 2017, 21, 428–444. [Google Scholar]
- Qi, H.; Guo, L.; Liu, J.; Gan, D.; Zhang, S. Axial load behavior and strength of tubed steel reinforced-concrete (SRC) stub columns. Thin-Walled Struct. 2011, 49, 1141–1150. [Google Scholar] [CrossRef]
- Zhang, S.; Li, X.; Li, J.; Lu, W.; Chen, J. Behavior comparison of seven-types of steel–concrete composite stub columns under axial compression. Eng. Struct. 2022, 252, 113637. [Google Scholar] [CrossRef]
- Ekmekyapar, T.; Al-Eliwi, B.J.M. Concrete filled double circular steel tube (CFDCST) stub columns. Eng. Struct. 2017, 135, 68–80. [Google Scholar] [CrossRef]
- Ahmed, M.; Liang, Q.Q.; Patel, V.I. Behavior of circular concrete-filled double steel tubular slender beam-columns including preload effects. Eng. Struct. 2020, 220, 111010. [Google Scholar] [CrossRef]
- Wang, F.; Young, B.; Gardner, L. Compressive behaviour and design of CFDST cross-sections with stainless steel outer tubes. J. Constr. Steel Res. 2020, 170, 105942. [Google Scholar] [CrossRef]
- Ahmed, M.; Liang, Q.Q.; Patel, V.I.; Hadi, M.N.S. Numerical analysis of axially loaded circular high strength concrete-filled double steel tubular short columns. Thin-Walled Struct. 2019, 138, 105–116. [Google Scholar] [CrossRef]
- Hassanein, M.F.; Kharoob, O.F. Compressive strength of circular concrete-filled double skin tubular short columns. Thin-Walled Struct. 2014, 77, 165–173. [Google Scholar] [CrossRef]
- Alashker, Y.; Raza, A. Seismic performance of recycled aggregate geopolymer concrete-filled double skin tubular columns with internal steel and external FRP tube. Polymers 2022, 14, 5204. [Google Scholar] [CrossRef]
- Choi, K.; Xiao, Y. Analytical model of circular CFRP confined concrete-filled steel tubular columns under axial compression. Thin-Walled Struct. 2010, 14, 125–133. [Google Scholar] [CrossRef]
- Dong, C.X.; Kwam, A.K.H.; Ho, J.C.M. Axial and lateral stress-strain model for concrete-filled steel tubes with FRP jackets. Eng. Struct. 2016, 126, 365–378. [Google Scholar] [CrossRef]
- Liu, J.; Ma, D.; Dong, F.; Liu, Z. Experimental study on the impact of using FRP sheets on the axial compressive performance of short-circular composite columns. Materials 2023, 16, 6373. [Google Scholar] [CrossRef] [PubMed]
- Wang, Q.; Zhang, H.; Kuan, P. Torsional behavior of concrete-filled circular steel tubes strengthened with CFRP. Materials 2023, 16, 6964. [Google Scholar]
- Shakir, A.S.; Guan, Z.W.; Jones, S.W. Lateral impact response of the concrete filled steel tube columns with and without CFRP strengthening. Eng. Struct. 2016, 126, 148–162. [Google Scholar] [CrossRef]
- Guneyisi, E.M.; Nour, A.I. Axial compression capacity of circular CFSTcolumns transversely strengthened by FRP. Eng. Struct. 2019, 121, 417–431. [Google Scholar] [CrossRef]
- Tahmasebinia, F.; Zhang, L.; Park, S.; Sepasgozar, S. Numerically evaluation of FRP-strengthened members under dynamic impact loading. Buildings 2021, 11, 14. [Google Scholar] [CrossRef]
- Ganesh Prabhu, G.; Sundarraja, M.C.; Kim, Y.Y. Compressive behavior of circular CFST columns externally reinforced using CFRP composites. Thin-Walled Struct. 2015, 87, 139–148. [Google Scholar] [CrossRef]
- Zeng, J.; Zheng, Y.; Liu, F.; Guo, Y.; Hou, C. Behavior of FRP Ring-Confined CFST columns under axial compression. Compos. Struct. 2021, 257, 113166. [Google Scholar] [CrossRef]
- Kwan, A.K.H.; Dong, C.X.; Ho, J.C.M. Axial and lateral stress-strain model for circular concrete-filled steel tubes with external steel confinement. Eng. Struct. 2016, 117, 528–541. [Google Scholar] [CrossRef]
- Lai, M.H.; Ho, J.C.M. Axial strengthening of thin-walled concrete-filled-steel-tube columns by circular steel jackets. Thin-Walled Struct. 2015, 97, 11–21. [Google Scholar] [CrossRef]
- Lai, M.H.; Ho, J.C.M. Confinement effect of ring-confined concrete-filled-steel-tube columns under uni-axial load. Eng. Struct. 2014, 67, 123–141. [Google Scholar] [CrossRef]
- Lai, M.H.; Ho, J.C.M. Confining and hoop stresses in ring-confined thin-walled concrete-filled steel tube columns. Mag. Concr. Res. 2016, 68, 916–935. [Google Scholar] [CrossRef]
- Lai, M.H.; Ho, J.C.M. Effect of continuous spirals on uni-axial strength and ductility of CFST columns. J. Constr. Steel. Res. 2015, 104, 235–249. [Google Scholar] [CrossRef]
- Ho, J.C.M.; Lai, M.H. Optimal design of external rings for confined CFST columns. Mag. Concr. Res. 2015, 67, 1017–1032. [Google Scholar]
- Alatshan, F.; Osman, S.A.; Mashiri, F.; Hamid, R. Explicit simulation of circular CFST stub columns with eternal steel confinement under axial compression. Materials 2020, 13, 23. [Google Scholar]
- Gunawardena, Y.; Aslani, F. Finite element modelling of concrete-filled spiral-welded mild-steel and stainless-steel tubes in flexure. Structures 2021, 32, 792–816. [Google Scholar] [CrossRef]
- Li, X.; Zhang, S.; Lu, W.; Li, J. Axial compressive behavior of steel-tube-confined concrete-filled-steel-tubes. Thin-Walled Struct. 2022, 181, 110138. [Google Scholar] [CrossRef]
- Zhang, S.M.; Li, X.Z.; Lu, W.; Chen, J. Experimental study on behavior of steel-tube-confined CFST short columns under axial compression. J. Build. Struct. 2022, 43, 21–33. (In Chinese) [Google Scholar]
- Han, L.; Zhao, X.; Tao, Z. Tests and mechanics model for concrete-filled SHS stub columns, columns and beam-columns. Steel Compos. Struct. 2001, 1, 51–74. [Google Scholar] [CrossRef]
- Tao, Z.; Wang, Z.; Yu, Q. Finite element modelling of concrete-filled steel stub columns under axial compression. J. Constr. Steel Res. 2013, 89, 121–131. [Google Scholar] [CrossRef]
- Baltay, P.; Gjelsvik, A. Coefficient of friction for steel on concrete at high normal stress. J. Mater. Civ. Eng. 1990, 2, 46–49. [Google Scholar] [CrossRef]
- Rabbat, B.G.; Russell, H.G. Friction Coefficient of Steel on Concrete or Grout. J. Struct. Eng. 1985, 111, 505–515. [Google Scholar] [CrossRef]
- Olofsson, U.; Holmgren, M. Friction Measurement at Low Sliding Speed Using a Servo hydraulic Tension-torsion Machine. Exp. Mech. 1994, 34, 202–207. [Google Scholar] [CrossRef]





























| FE Model | D1 (mm) | D1/t1 | D2 (mm) | D2/t2 | fy1 (MPa) | fy2 (MPa) | fc1 (MPa) | fc2 (MPa) | α1 (%) | α2 (%) | α (%) | ξ |
|---|---|---|---|---|---|---|---|---|---|---|---|---|
| T-CFST | 300 | 50 | 350 | 100 | 355 | 355 | 60 | 40 | 8.5 | 5.8 | 14.4 | 0.85 |
| CFST-1 | 300 | 50 | — | — | 355 | 355 | 60 | 40 | 8.5 | — | 8.5 | 0.50 |
| CFST-2 | 300 | 30 | — | — | 355 | 355 | 60 | 40 | 14.8 | — | 14.8 | 0.88 |
| Parameter | Value |
|---|---|
| Outer tube thickness t2 (mm) | 5, 7.5, 10, 12.5, 15 |
| Inner tube diameter-to-thickness ratio D1/t1 | 20, 30, 50, 70, 100 |
| Concrete strength fc1 (MPa) | 20, 40, 60, 80, 100 |
| Outer tube yield strength fy2 (MPa) | 235, 355, 420 |
| Inner tube yield strength fy1 (MPa) | 235, 355, 420 |
Disclaimer/Publisher’s Note: The statements, opinions and data contained in all publications are solely those of the individual author(s) and contributor(s) and not of MDPI and/or the editor(s). MDPI and/or the editor(s) disclaim responsibility for any injury to people or property resulting from any ideas, methods, instructions or products referred to in the content. |
© 2023 by the authors. Licensee MDPI, Basel, Switzerland. This article is an open access article distributed under the terms and conditions of the Creative Commons Attribution (CC BY) license (https://creativecommons.org/licenses/by/4.0/).
Share and Cite
Li, X.; Zhang, S.; Tao, Y.; Zhang, B. Numerical Study on the Axial Compressive Behavior of Steel-Tube-Confined Concrete-Filled Steel Tubes. Materials 2024, 17, 155. https://doi.org/10.3390/ma17010155
Li X, Zhang S, Tao Y, Zhang B. Numerical Study on the Axial Compressive Behavior of Steel-Tube-Confined Concrete-Filled Steel Tubes. Materials. 2024; 17(1):155. https://doi.org/10.3390/ma17010155
Chicago/Turabian StyleLi, Xiaozhong, Sumei Zhang, Yu Tao, and Bing Zhang. 2024. "Numerical Study on the Axial Compressive Behavior of Steel-Tube-Confined Concrete-Filled Steel Tubes" Materials 17, no. 1: 155. https://doi.org/10.3390/ma17010155
APA StyleLi, X., Zhang, S., Tao, Y., & Zhang, B. (2024). Numerical Study on the Axial Compressive Behavior of Steel-Tube-Confined Concrete-Filled Steel Tubes. Materials, 17(1), 155. https://doi.org/10.3390/ma17010155

