From Electronic Waste to 3D-Printed Product, How Multiple Recycling Affects High-Impact Polystyrene (HIPS) Filament Performances
Abstract
1. Introduction
2. Materials and Methods
2.1. Raw Materials and Preparation
2.2. Filament Extrusion
2.3. 3D Printing Process
2.4. Density Test
2.5. Melt Flow Rate Test
2.6. Gel Permeation Chromatography (GPC)
2.7. Fourier Transform Infrared Spectroscopy (FTIR)
2.8. Tensile Test
2.9. Bending Test
2.10. Izod Impact Test
2.11. Visual Inspection
3. Results
3.1. The Effects of Reprocessing Steps on Density, Melt Flow Rate, and Molecular Weight
3.2. The Effects of Reprocessing Steps on FTIR Spectroscopy
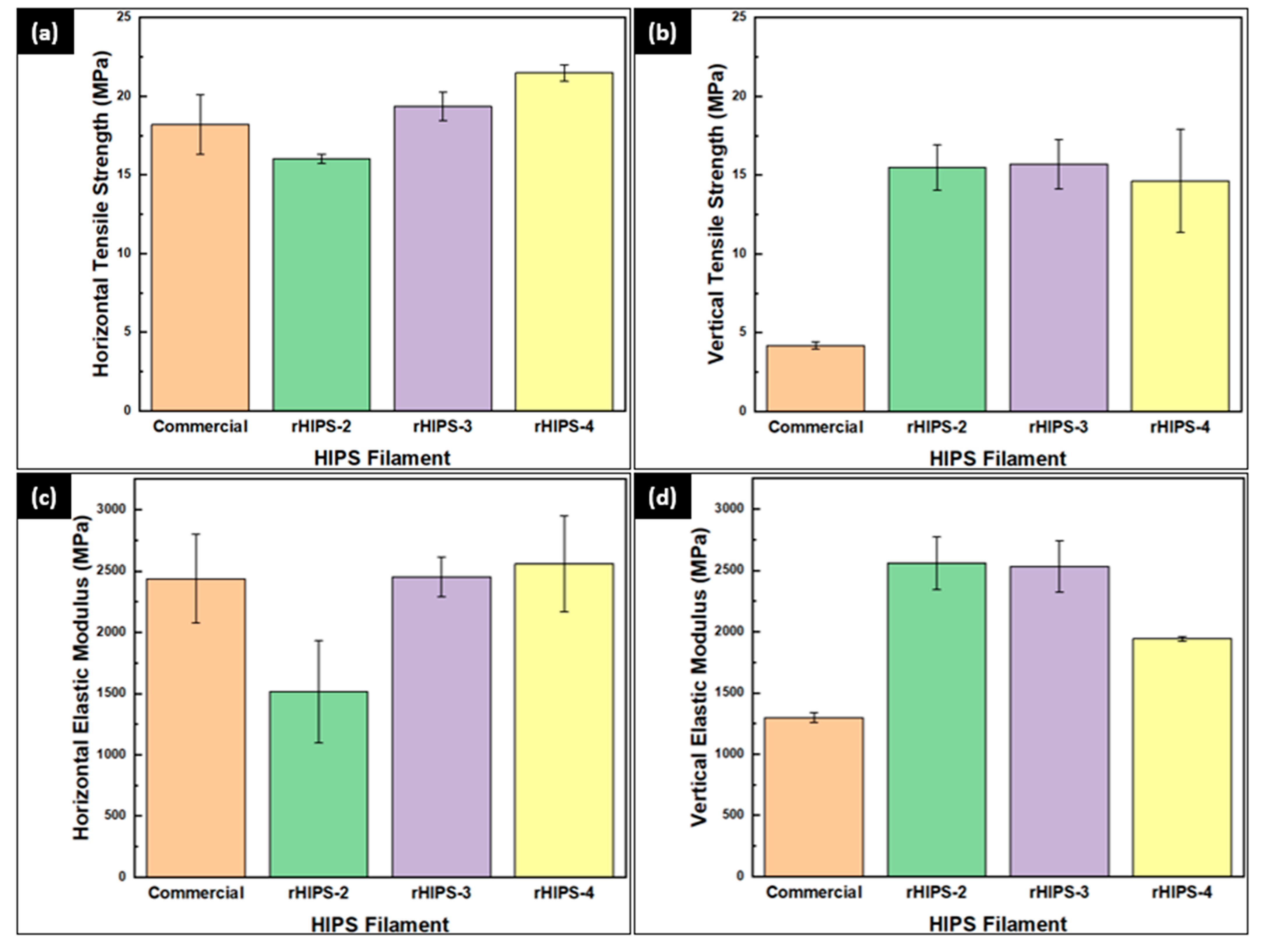
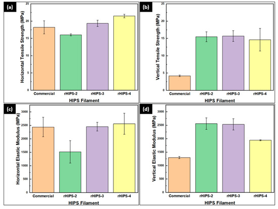
3.3. The Effects of Reprocessing Steps on Horizontal and Vertical rHIPS Tensile Properties
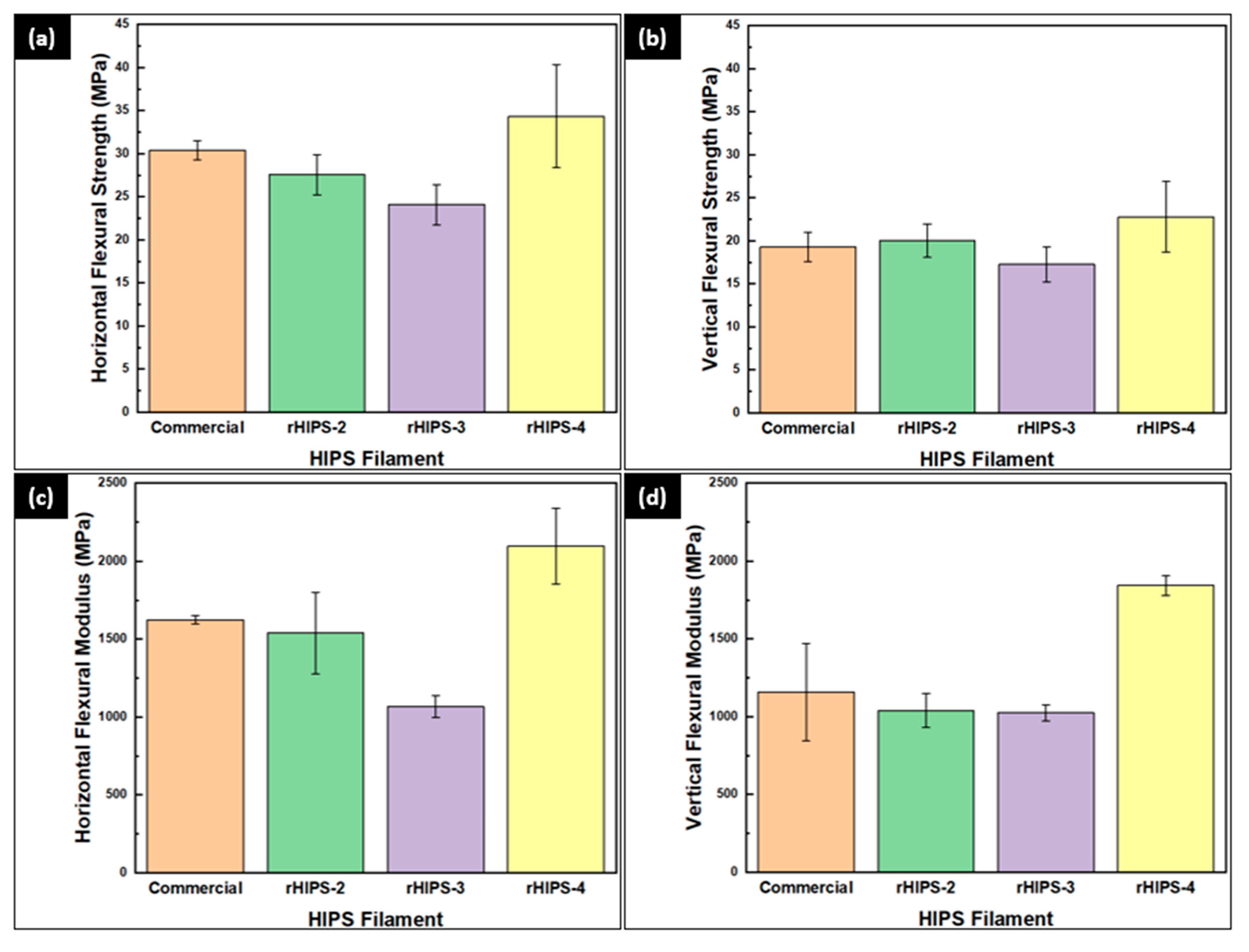
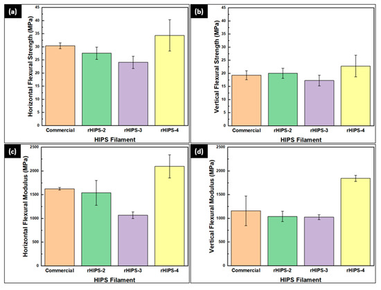
3.4. The Effects of Reprocessing Steps on Horizontal and Vertical rHIPS Flexural Properties
3.5. The Effects of Reprocessing Steps on Horizontal and Vertical rHIPS Impact Properties
3.6. The Effects of Reprocessing Steps on the Visual of 3D-Printed HIPS Product
4. Conclusions
Author Contributions
Funding
Institutional Review Board Statement
Informed Consent Statement
Data Availability Statement
Acknowledgments
Conflicts of Interest
References
- Jaidev, K.; Biswal, M.; Mohanty, S.; Nayak, S.K. Sustainable Waste Management of Engineering Plastics Generated from E-Waste: A Critical Evaluation of Mechanical, Thermal and Morphological Properties. J. Polym. Environ. 2021, 29, 1763–1776. [Google Scholar] [CrossRef]
- Baldé, C.P.; Forti, V.; Gray, V.; Kuehr, R.; Stegmann, P. The Global E-Waste Monitor 2017: Quantities, Flows, and Resources; International Telecommunication Union: Geneva, Switzerland, 2017. [Google Scholar]
- Gramatyka, P.; Nowosielski, R.; Sakiewicz, P. Recycling of waste electrical and electronic equipment. J. Achiev. Mater. Manuf. Eng. 2007, 20, 535–538. [Google Scholar]
- Martinho, G.; Pires, A.; Saraiva, L.; Ribeiro, R. Composition of plastics from waste electrical and electronic equipment (WEEE) by direct sampling. Waste Manag. 2012, 32, 1213–1217. [Google Scholar] [CrossRef] [PubMed]
- Fico, D.; Rizzo, D.; Casciaro, R.; Corcione, C.E. A Review of Polymer-Based Materials for Fused Filament Fabrication (FFF): Focus on Sustainability and Recycled Materials. Polymers 2022, 14, 465. [Google Scholar] [CrossRef]
- Javaid, M.; Haleem, A.; Singh, R.; Suman, R.; Rab, S. Role of additive manufacturing applications towards environmental sustainability. Adv. Ind. Eng. Polym. Res. 2021, 4, 312–322. [Google Scholar] [CrossRef]
- Pakkanen, J.; Manfredi, D.; Minetola, P.; Iuliano, L. About the use of recycled or biodegradable filaments for sustainability of 3D printing: State of the art and research opportunities. Smart Innov. Syst. Technol. 2017, 68, 776–785. [Google Scholar] [CrossRef]
- Ahmad, M.N.; Ishak, M.R.; Taha, M.M.; Mustapha, F.; Leman, Z. Mechanical, thermal and physical characteristics of oil palm (Elaeis Guineensis) fiber reinforced thermoplastic composites for FDM—Type 3D printer. Polym. Test. 2023, 120, 107972. [Google Scholar] [CrossRef]
- Sandhu, K.; Singh, G.; Singh, S.; Kumar, R.; Prakash, C.; Ramakrishna, S.; Królczyk, G.; Pruncu, C.I. Surface characteristics of machined polystyrene with 3D printed thermoplastic tool. Materials 2020, 13, 2729. [Google Scholar] [CrossRef]
- Alghamdi, S.S.; John, S.; Choudhury, N.R.; Dutta, N.K. Additive manufacturing of polymer materials: Progress, promise and challenges. Polymers 2021, 13, 753. [Google Scholar] [CrossRef]
- Yang, C.; Tian, X.; Li, D.; Cao, Y.; Zhao, F.; Shi, C. Influence of thermal processing conditions in 3D printing on the crystallinity and mechanical properties of PEEK material. J. Mater. Process. Technol. 2017, 248, 1–7. [Google Scholar] [CrossRef]
- Xu, A.; Langefeld, B.; Erharter, M.; Kourkejian, V. Polymer additive manufacturing—Market today and in the future | Roland Berger. Available online: https://www.rolandberger.com/en/Insights/Publications/Polymer-additive-manufacturing-Market-today-and-in-the-future.html (accessed on 3 October 2022).
- Turner, B.N.; Strong, R.; Gold, S.A. A review of melt extrusion additive manufacturing processes: I. Process design and modeling. Rapid Prototyp. J. 2014, 20, 192–204. [Google Scholar] [CrossRef]
- Mikula, K.; Skrzypczak, D.; Izydorczyk, G.; Warchoł, J.; Moustakas, K.; Chojnacka, K.; Witek-Krowiak, A. 3D printing filament as a second life of waste plastics—A review. Environ. Sci. Pollut. Res. 2021, 28, 12321–12333. [Google Scholar] [CrossRef]
- Kumar, R.; Singh, R.; Farina, I. On the 3D printing of recycled ABS, PLA and HIPS thermoplastics for structural applications. PSU Res. Rev. 2018, 2, 115–137. [Google Scholar] [CrossRef]
- Dong, X.; Dong, M.; Li, Y.; Li, Z.; Wang, W.; Cao, N.; Mahmoud, K.H.; El-Bahy, S.M.; El-Bahy, Z.M.; Huang, M.; et al. Building blend from recycling acrylonitrile–butadiene–styrene and high impact-resistance polystyrene through dextro-glucose. React. Funct. Polym. 2022, 175, 105287. [Google Scholar] [CrossRef]
- Taib, N.-A.A.B.; Rahman, R.; Huda, D.; Kuok, K.K.; Hamdan, S.; Bin Bakri, M.K.; Bin Julaihi, M.R.M.; Khan, A. A review on poly lactic acid (PLA) as a biodegradable polymer. Polym. Bull. 2022, 80, 1179–1213. [Google Scholar] [CrossRef]
- Galve, J.E.; Elduque, D.; Pina, C.; Clavería, I.; Acero, R.; Fernández, Á.; Javierre, C. Dimensional stability and process capability of an industrial component injected with recycled polypropylene. Polymers 2019, 11, 1063. [Google Scholar] [CrossRef] [PubMed]
- Gall, M.; Freudenthaler, J.; Fischer, J.; Lang, R.W. Characterization of composition and structure–property relationships of commercial post-consumer polyethylene and polypropylene recyclates. Polymers 2021, 13, 1574. [Google Scholar] [CrossRef] [PubMed]
- Cruz, F.; Lanza, S.; Boudaoud, H.; Hoppe, S.; Camargo, M. Polymer Recycling and Additive Manufacturing in an Open Source Context: Optimization of Processes and Methods; University of Texas: Austin, TX, USA, 2015. [Google Scholar]
- Pérez, J.; Vilas, J.L.; Laza, J.; Arnaiz, S.; Mijangos, F.; Bilbao, E.; Rodríguez, M.; León, L. Effect of reprocessing and accelerated ageing on thermal and mechanical polycarbonate properties. J. Mater. Process. Technol. 2010, 210, 727–733. [Google Scholar] [CrossRef]
- Vilaplana, F.; Ribes-Greus, A.; Karlsson, S. Degradation of recycled high-impact polystyrene. Simulation by reprocessing and thermo-oxidation. Polym. Degrad. Stab. 2006, 91, 2163–2170. [Google Scholar] [CrossRef]
- El Bhilat, H.; El Had, K.; Salmi, H.; Hachim, A. Thermo-mechanical characterization of post-consumer recycled high impact polystyrene from disposable cups: Influence of the number of processing cycles. J. Comput. Appl. Res. Mech. Eng. 2021, 10, 427–436. [Google Scholar]
- Terashima, T. Encyclopedia of Polymeric Nanomaterials. Encycl. Polym. Nanomater. 2014, 1–15. [Google Scholar] [CrossRef]
- Singh, R.; Raj, R.A.; Prasad, A.V.; Sivaram, S.; Lacoste, J.; Lemaire, J. Chain-scission and yellowing in high impact polystyrene. Polym. Int. 1995, 36, 309–313. [Google Scholar] [CrossRef]
- Scaffaro, R.; Botta, L.; Di Benedetto, G. Physical properties of virgin-recycled ABS blends: Effect of post-consumer content and of reprocessing cycles. Eur. Polym. J. 2012, 48, 637–648. [Google Scholar] [CrossRef]
- Pielichowski, K.; Njuguna, J. Thermal Degradation of Polymeric Materials; Elsevier: Amsterdam, The Netherlands, 2022. [Google Scholar]
- Jang, B.N.; Wilkie, C.A. The thermal degradation of polystyrene nanocomposite. Polymer 2005, 46, 2933–2942. [Google Scholar] [CrossRef]
- Cornell, S.W.; Koenig, J.L. The Raman spectra of polybutadiene rubbers. Macromolecules 1969, 2, 540–545. [Google Scholar] [CrossRef]
- Sieradzka, M.; Fabia, J.; Biniaś, D.; Graczyk, T.; Fryczkowski, R. High-impact polystyrene reinforced with reduced graphene oxide as a filament for fused filament fabrication 3D printing. Materials 2021, 14, 7008. [Google Scholar] [CrossRef]
- Tanoto, Y.Y.; Anggono, J. Optimization of fused deposition modeling parameters for hips flexural strength with Taguchi method. IOP Conf. Ser. Mater. Sci. Eng. 2021, 1034, 012094. [Google Scholar] [CrossRef]
- Patterson, A.E.; Pereira, T.R.; Allison, J.T.; Messimer, S.L. IZOD impact properties of full-density fused deposition modeling polymer materials with respect to raster angle and print orientation. Proc. Inst. Mech. Eng. Part C J. Mech. Eng. Sci. 2021, 235, 1891–1908. [Google Scholar] [CrossRef]
- Rousseau, M.; Medini, K.; Romero, D.; Wuest, T. Configurators as a means to Leverage Customer-Centric Sustainable Systems—Evidence from the 3D-Printing Domain. Procedia CIRP 2020, 96, 103–108. [Google Scholar] [CrossRef]
- Novak, J.I. 500 days of Thingiverse: A longitudinal study of 30 popular things for 3D printing. Rapid Prototyp. J. 2020, 26, 1723–1731. [Google Scholar] [CrossRef]


















| 3D-Printing Filament | Sample Name |
|---|---|
| ESun HIPS | Commercial |
| Second-cycle HIPS | rHIPS-2 |
| Third-cycle HIPS | rHIPS-3 |
| Fourth-cycle HIPS | rHIPS-4 |
| Parameters | 3Dbenchy | Horizontal Infill | Vertical Infill |
|---|---|---|---|
| Nozzle temperature | 230 °C | 230 °C | 230 °C |
| Bed temperature | 100 °C | 100 °C | 100 °C |
| Print speed | 50 mm/s | 50 mm/s | 50 mm/s |
| Layer height | 0.18 mm | 0.18 mm | 0.18 mm |
| Infill density | 15% | 100% | 100% |
| Infill pattern | Hexagon | Line | Line |
| Start angle | - | 90° | 0° |
| Cross angle | - | 0° | 0° |
| Results | rHIPS-2 | rHIPS-3 | rHIPS-4 |
|---|---|---|---|
| Mw (g/mol) | 141,223 | 144,029 | 141,833 |
| Mn (g/mol) | 1691 | 1813 | 1321 |
| PDI | 83.5 | 79.45 | 107.4 |
| Visual Defect | Commercial | rHIPS-2 | rHIPS-3 | rHIPS-4 |
|---|---|---|---|---|
| Ringing | ✓ | ✓ | ✓ | ✓ |
| Blobs and Zits | ✓ | ✓ | ✓ | ✓ |
| Overhang | ✓ | ✓ | ✓ | ✓ |
| Stringing | ✘ | ✘ | ✘ | ✘ |
Disclaimer/Publisher’s Note: The statements, opinions and data contained in all publications are solely those of the individual author(s) and contributor(s) and not of MDPI and/or the editor(s). MDPI and/or the editor(s) disclaim responsibility for any injury to people or property resulting from any ideas, methods, instructions or products referred to in the content. |
© 2023 by the authors. Licensee MDPI, Basel, Switzerland. This article is an open access article distributed under the terms and conditions of the Creative Commons Attribution (CC BY) license (https://creativecommons.org/licenses/by/4.0/).
Share and Cite
Hanitio, E.W.; Lutfhyansyah, N.R.; Efendi, B.M.; Mardiyati, Y.; Steven, S. From Electronic Waste to 3D-Printed Product, How Multiple Recycling Affects High-Impact Polystyrene (HIPS) Filament Performances. Materials 2023, 16, 3412. https://doi.org/10.3390/ma16093412
Hanitio EW, Lutfhyansyah NR, Efendi BM, Mardiyati Y, Steven S. From Electronic Waste to 3D-Printed Product, How Multiple Recycling Affects High-Impact Polystyrene (HIPS) Filament Performances. Materials. 2023; 16(9):3412. https://doi.org/10.3390/ma16093412
Chicago/Turabian StyleHanitio, Edbert Wing, Novan Rifky Lutfhyansyah, Balqis Mentari Efendi, Yati Mardiyati, and Steven Steven. 2023. "From Electronic Waste to 3D-Printed Product, How Multiple Recycling Affects High-Impact Polystyrene (HIPS) Filament Performances" Materials 16, no. 9: 3412. https://doi.org/10.3390/ma16093412
APA StyleHanitio, E. W., Lutfhyansyah, N. R., Efendi, B. M., Mardiyati, Y., & Steven, S. (2023). From Electronic Waste to 3D-Printed Product, How Multiple Recycling Affects High-Impact Polystyrene (HIPS) Filament Performances. Materials, 16(9), 3412. https://doi.org/10.3390/ma16093412

