Analysis of Vibration, Deflection Angle and Surface Roughness in Water-Jet Cutting of AZ91D Magnesium Alloy and Simulation of Selected Surface Roughness Parameters Using ANN
Abstract
1. Introduction
2. Materials and Methods
2.1. Materials and Machining Method
2.2. Measurement Methods
2.2.1. Vibration
2.2.2. Surface Roughness
2.2.3. Deflection Angle of the Jet Vibration
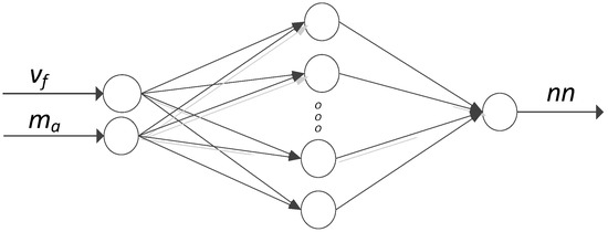
2.3. Artificial Neural Network
3. Results and Discussion
3.1. Vibration
3.2. Surface Roughness
3.3. Deflection Angle of Abrasive Water Jet
3.4. Numerical Modelling of Surface Roughness Parameters by Artificial Neural Networks
4. Conclusions
- Greater skewness (jet deflection) was obtained at a lower abrasive flow rate of ma = 4 g/s (50%), while higher values of the α1 angle (in the stream exit area) were also obtained for an abrasive flow rate of ma = 4 g/s (50%), which can be explained by a weaker impact of the abrasive water jet on the machined surface.
- In the range of 60–140 mm/min, higher average values of the Sku roughness parameter were obtained at ma = 8 g/s (100%), which means that this range of technological parameters should be applied to obtain low values of the friction coefficient.
- It is difficult to establish a clear trend for the Ssk parameter—although some results take positive values, most are negative, which may indicate a plateau-like nature of the hills.
- For most cases, higher average values of the Rku roughness parameter were obtained for the surfaces machined with a higher abrasive flow rate of ma= 8 g/s (100%) in the vf range of 40–140 mm/min, which means that this range of technological parameters should be applied to reduce the coefficient of friction.
- The Rku kurtosis values exceeding and around 3 indicate sharper vertices, which reduces the coefficient of friction for the mating surfaces.
- It is difficult to establish a clear trend for the Rsk parameter (analysis of average values) for a given abrasive output; however, negative values of the Rsk parameter indicate a plateau-like nature of the hills.
- Regarding the range of vibration, it can be assumed, with simplification, that the parameters describing vibration (a, Aa, rms) increase with cutting speed vf.
- For most cases, higher vibration values were observed at ma= 8 g/s (100%), which can be explained by a greater impact of the abrasive water jet and a greater intensity of the cutting process.
- The input parameters for the modeling and prediction of selected 2D (Rku) and 3D (Sku) roughness parameters using artificial neural networks were variable technological parameters, i.e., the cutting speed vf and the mass flow rate ma.
- Regarding the Rku parameter, the best parameters were obtained with the network with 10 neurons in the hidden layer for which MSE was 0.0252 and R = 0.89539; as for the 3D roughness parameter Sku, the best parameters were obtained with the network with 6 neurons in the hidden layer for which MSE was 0.0095 and R = 0.97767.
- The trained networks show a satisfactory ability to effectively model 2D and 3D surface roughness parameters of the AZ91D magnesium alloy.
Author Contributions
Funding
Institutional Review Board Statement
Informed Consent Statement
Data Availability Statement
Conflicts of Interest
References
- Gziut, O.; Kuczmaszewski, J.; Zagórski, I. Analysis of Chip Fragmentation in AZ91HP Alloy Milling with Respect to Reducing the Risk of Chip Ignition. Ekspolatacja Niezawodn. Maint. Reliab. 2016, 18, 73–79. [Google Scholar] [CrossRef]
- Prasad, S.V.S.; Prasad, S.B.; Verma, K.; Mishra, R.K.; Kumar, V.; Singh, S. The Role and Significance of Magnesium in Modern Day Research-A Review. J. Magnes. Alloys 2022, 10, 1–61. [Google Scholar] [CrossRef]
- Śliwa, R.E. Metal Forming of Magnesium Alloys for Various Applications. In Magnesium Alloys Structure and Properties; IntechOpen: London, UK, 2022. [Google Scholar] [CrossRef]
- Friemuth, T.; Winkler, J. Machining of Magnesium Workpieces. Adv. Eng. Mater. 1999, 1, 183–186. [Google Scholar] [CrossRef]
- Yalcin, B.; Ozileri, E.D. Experimental Investigation on Turning of Casted Magnesium Alloy Used in Manufacturing Automotive Parts. In Proceedings of the Advances in Material & Processing Technologies Conference, Madrid, Spain, 14–17 December 2015. [Google Scholar]
- Kayir, Y. Optimization of the Cutting Parameters for Drilling Magnesium Alloy AZ 91. Mater. Test. 2014, 56, 47–53. [Google Scholar] [CrossRef]
- Dias, L.D.; Brandão, L.C.; Ribeiro Filho, S.L.M.; Coelho, R.T. Processing of Threads on a Magnesium Alloy Using a Special Process. Mater. Manuf. Process. 2014, 29, 748–753. [Google Scholar] [CrossRef]
- Kulisz, M.; Zagórski, I.; Józwik, J. 2D Geometric Surface Structure ANN Modeling after Milling of the AZ91D Magnesium Alloy. Adv. Sci. Technol. Res. J. 2022, 16, 131–140. [Google Scholar] [CrossRef]
- Niranjan, C.A.; Srinivas, S.M.R. An Experimental Study on Depth of Cut of AZ91 Magnesium Alloy in Abrasive Water Jet Cutting. Mater. Today Proc. 2018, 5, 2884–2890. [Google Scholar] [CrossRef]
- Gupta, M. Magnesium—The Wonder Element for Engineering/Biomedical Applications; IntechOpen: London, UK, 2020. [Google Scholar] [CrossRef]
- Zagórski, I.; Kłonica, M.; Kulisz, M.; Łoza, K. Effect of the AWJM Method on the Machined Surface Layer of AZ91D Magnesium Alloy and Simulation of Roughness Parameters Using Neural Networks. Materials 2018, 11, 2111. [Google Scholar] [CrossRef]
- Kolli, M.; Ram Prasad, A.V.S.; Naresh, D.S. Multi-Objective Optimization of AAJM Process Parameters for Cutting of B4C/Gr Particles Reinforced Al 7075 Composites Using RSM-TOPSIS Approach. SN Appl. Sci. 2021, 3, 711. [Google Scholar] [CrossRef]
- Khudhir, W.; Abbood, M.; Shukur, J. Multi-Criteria Decision Making of Abrasive Water Jet Machining Process for 2024-T3 Alloy Using Hybrid Approach. Adv. Sci. Technol. Res. J. 2022, 16, 155–162. [Google Scholar] [CrossRef]
- Maneiah, D.; Shunmugasundaram, M.; Raji Reddy, A.; Begum, Z. Optimization of Machining Parameters for Surface Roughness during Abrasive Water Jet Machining of Aluminium/Magnesium Hybrid Metal Matrix Composites. Mater. Today Proc. 2020, 27, 1293–1298. [Google Scholar] [CrossRef]
- Bere, P.; Krolczyk, J.B. Determination of Mechanical Properties of Carbon/Epoxy Plates by Tensile Stress Test. E3S Web Conf. 2017, 19, 3018. [Google Scholar] [CrossRef]
- Ozcan, Y.; Tunc, L.T.; Kopacka, J.; Cetin, B.; Sulitka, M. Modelling and Simulation of Controlled Depth Abrasive Water Jet Machining (AWJM) for Roughing Passes of Free-Form Surfaces. Int. J. Adv. Manuf. Technol. 2021, 114, 3581–3596. [Google Scholar] [CrossRef]
- Li, M.; Lin, X.; Yang, X.; Wu, H.; Meng, X. Study on Kerf Characteristics and Surface Integrity Based on Physical Energy Model during Abrasive Waterjet Cutting of Thick CFRP Laminates. Int. J. Adv. Manuf. Technol. 2021, 113, 73–85. [Google Scholar] [CrossRef]
- Khan, A.M.; Gupta, K. Machinability Studies on Abrasive Water Jet Machining of Low Alloy Steel for Different Thickness. IOP Conf. Ser. Mater. Sci. Eng. 2020, 709, 044099. [Google Scholar] [CrossRef]
- Alsoufi, M.S.; Suker, D.K.; Alhazmi, M.W.; Azam, S. Abrasive WaterJet Machining of Thick Carrara Marble: Cutting Performance vs. Profile, Lagging and WaterJet Angle Assessments. Mater. Sci. Appl. 2017, 8, 361–375. [Google Scholar] [CrossRef]
- Hreha, P.; Radvanská, A.; Hloch, S.; Peržel, V.; Królczyk, G.; Monková, K. Determination of Vibration Frequency Depending on Abrasive Mass Flow Rate during Abrasive Water Jet Cutting. Int. J. Adv. Manuf. Technol. 2015, 77, 763–774. [Google Scholar] [CrossRef]
- Peržel, V.; Hreha, P.; Hloch, S.; Tozan, H.; Valíček, J. Vibration Emission as a Potential Source of Information for Abrasive Waterjet Quality Process Control. Int. J. Adv. Manuf. Technol. 2012, 61, 285–294. [Google Scholar] [CrossRef]
- Tyč, M.; Hlaváčová, I.M.; Barták, P. Analyses of Vibration Signals Generated in W. Nr. 1.0038 Steel during Abrasive Water Jet Cutting Aimed to Process Control. Materials 2022, 15, 345. [Google Scholar] [CrossRef]
- Krenický, T.; Rimár, M. Monitoring of Vibrations in the Technology of AWJ. Key Eng. Mater. 2011, 496, 229–234. [Google Scholar] [CrossRef]
- Karmiris-Obratański, P.; Karkalos, N.E.; Kudelski, R.; Papazoglou, E.L.; Markopoulos, A.P. Experimental Study on the Correlation of Cutting Head Vibrations and Kerf Characteristics during Abrasive Waterjet Cutting of Titanium Alloy. Procedia CIRP 2021, 101, 226–229. [Google Scholar] [CrossRef]
- Zagórski, I.; Korpysa, J. Surface Quality Assessment after Milling AZ91D Magnesium Alloy Using PCD Tool. Materials 2020, 13, 617. [Google Scholar] [CrossRef] [PubMed]
- Grzesik, W. Effect of the Machine Parts Surface Topography Features on the Machine Service. Mechanik 2015, 94, 587–593. [Google Scholar] [CrossRef]
- Löschner, P.; Jarosz, K.; Niesłony, P. Investigation of the Effect of Cutting Speed on Surface Quality in Abrasive Water Jet Cutting of 316L Stainless Steel. Procedia Eng. 2016, 149, 276–282. [Google Scholar] [CrossRef]
- Skoczylas, A.; Zaleski, K.; Kowalczyk, H. Badania porównawcze chropowatości powierzchni stali, stopu aluminium i stopu tytanu po cięciu strumieniem wodno-ściernym. In Innowacyjne Procesy Wytwórcze; Politechnika Lubelska: Lublin, Poland, 2013. (In Polish) [Google Scholar]
- Deaconescu, A.; Deaconescu, T. Response Surface Methods Used for Optimization of Abrasive Waterjet Machining of the Stainless Steel X2 CrNiMo 17-12-2. Materials 2021, 14, 2475. [Google Scholar] [CrossRef]
- Opela, P.; Schindler, I.; Kawulok, P.; Kawulok, R.; Rusz, S.; Sauer, M. Shallow and deep learning of an artificial neural network model describing a hot flow stress Evolution: A comparative study. Mater. Des. 2022, 220, 110880. [Google Scholar] [CrossRef]
- Churyumov, A.; Kazakova, A.; Churyumova, T. Modelling of the Steel High-Temperature Deformation Behaviour Using Artificial Neural Network. Metals 2022, 12, 447. [Google Scholar] [CrossRef]
- Honysz, R. Modeling the Chemical Composition of Ferritic Stainless Steels with the Use of Artificial Neural Networks. Metals 2021, 11, 724. [Google Scholar] [CrossRef]
- Kłosowski, G.; Rymarczyk, T.; Niderla, K.; Rzemieniak, M.; Dmowski, A.; Maj, M. Comparison of machine learning methods for image reconstruction using the LSTM classifier in industrial electrical tomography. Energies 2021, 14, 7269. [Google Scholar] [CrossRef]
- Rymarczyk, T.; Kozłowski, E.; Kłosowski, G. Electrical impedance tomography in 3D flood embankments testing–elastic net approach. Trans. Inst. Meas. Control. 2020, 42, 680–690. [Google Scholar] [CrossRef]
- Ganovska, B.; Molitoris, M.; Hosovsky, A.; Pitel, J.; Krolczyk, J.B. Design of the Model for the On-Line Controlof the AWJ Technology Based on Neural Networks. Indian J. Eng. Mater. Sci. 2016, 23, 279–287. [Google Scholar]
- Ficko, M.; Begic-Hajdarevic, D.; Cohodar Husic, M.; Berus, L.; Cekic, A.; Klancnik, S. Prediction of Surface Roughness of an Abrasive Water Jet Cut Using an Artificial Neural Network. Materials 2021, 14, 3108. [Google Scholar] [CrossRef] [PubMed]
- Biruk-Urban, K.; Bere, P.; Józwik, J.; Leleń, M. Experimental Study and Artificial Neural Network Simulation of Cutting Forces and Delamination Analysis in GFRP Drilling. Materials 2022, 15, 8597. [Google Scholar] [CrossRef] [PubMed]



















| Constant Technological Parameters | |
| Abrasive | Garnet 80 mesh |
| Nozzle length | 100 mm |
| Nozzle width | 60 mm |
| Stand-off distance | 3 mm |
| Pressure | 350 MPa |
| Variable Technological Parameters | |
| Cutting speed vf | 5, 20, 40, 60, 80, 100, 120, 140, 160, 180 mm/min |
| Abrasive flow rate ma | 4 and 8 g/s |
| Sample Number | vf (mm/min) | ma (g/s) | α1 | α2 |
|---|---|---|---|---|
| 1 | 5 | 4 | 0 | 0 |
| 2 | 20 | 1 | 1 | |
| 3 | 40 | 7 | 3 | |
| 4 | 60 | 8 | 3 | |
| 5 | 80 | 11 | 5 | |
| 6 | 100 | 17 | 7 | |
| 7 | 120 | 21 | 10 | |
| 8 | 140 | 23 | 12 | |
| 9 | 160 | 25 | 16 | |
| 10 | 180 | 27 | 16 | |
| 11 | 5 | 8 | 0 | 0 |
| 12 | 20 | 1 | 1 | |
| 13 | 40 | 10 | 5 | |
| 14 | 60 | 12 | 7 | |
| 15 | 80 | 14 | 10 | |
| 16 | 100 | 25 | 16 | |
| 17 | 120 | 29 | 20 | |
| 18 | 140 | 31 | 22 | |
| 19 | 160 | 36 | 24 | |
| 20 | 180 | 38 | 26 |
| Model Number | Roughness Parameter | MSE | RMSE | R Training Data Set | R Validation Data Set | R All Data Set |
|---|---|---|---|---|---|---|
| 1 | Rku | 0.0252 | 0.1586 | 0.99999 | 0.88494 | 0.89539 |
| 2 | Sku | 0.0095 | 0.0975 | 0.99999 | 0.90932 | 0.97767 |
Disclaimer/Publisher’s Note: The statements, opinions and data contained in all publications are solely those of the individual author(s) and contributor(s) and not of MDPI and/or the editor(s). MDPI and/or the editor(s) disclaim responsibility for any injury to people or property resulting from any ideas, methods, instructions or products referred to in the content. |
© 2023 by the authors. Licensee MDPI, Basel, Switzerland. This article is an open access article distributed under the terms and conditions of the Creative Commons Attribution (CC BY) license (https://creativecommons.org/licenses/by/4.0/).
Share and Cite
Biruk-Urban, K.; Zagórski, I.; Kulisz, M.; Leleń, M. Analysis of Vibration, Deflection Angle and Surface Roughness in Water-Jet Cutting of AZ91D Magnesium Alloy and Simulation of Selected Surface Roughness Parameters Using ANN. Materials 2023, 16, 3384. https://doi.org/10.3390/ma16093384
Biruk-Urban K, Zagórski I, Kulisz M, Leleń M. Analysis of Vibration, Deflection Angle and Surface Roughness in Water-Jet Cutting of AZ91D Magnesium Alloy and Simulation of Selected Surface Roughness Parameters Using ANN. Materials. 2023; 16(9):3384. https://doi.org/10.3390/ma16093384
Chicago/Turabian StyleBiruk-Urban, Katarzyna, Ireneusz Zagórski, Monika Kulisz, and Michał Leleń. 2023. "Analysis of Vibration, Deflection Angle and Surface Roughness in Water-Jet Cutting of AZ91D Magnesium Alloy and Simulation of Selected Surface Roughness Parameters Using ANN" Materials 16, no. 9: 3384. https://doi.org/10.3390/ma16093384
APA StyleBiruk-Urban, K., Zagórski, I., Kulisz, M., & Leleń, M. (2023). Analysis of Vibration, Deflection Angle and Surface Roughness in Water-Jet Cutting of AZ91D Magnesium Alloy and Simulation of Selected Surface Roughness Parameters Using ANN. Materials, 16(9), 3384. https://doi.org/10.3390/ma16093384

