Studying the Plastic Deformation of Cu-Ti-C-B Composites in a Favorable Stress State
Abstract
1. Introduction
2. Materials and Methods
3. Results
3.1. Microstructure, X-ray, and EBSD Analysis
3.2. Micromechanical Properties
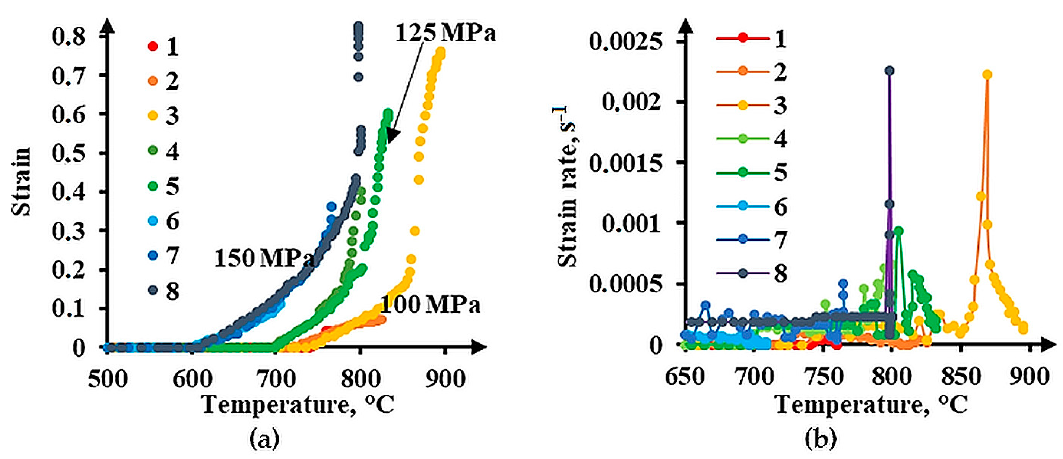
3.3. Uniaxial Deformation under Nonstationary Conditions
3.4. Deformation in a Favorable Stress State
4. Discussion
5. Conclusions
Author Contributions
Funding
Institutional Review Board Statement
Informed Consent Statement
Data Availability Statement
Acknowledgments
Conflicts of Interest
References
- Borisov, A.A.; De Luca, L.; Merzhanov, A.G. Self-Propagating High-Temperature Synthesis of Materials. Combust. Sci. Technol. Book Ser. 2002, 5, 303. [Google Scholar]
- Merzhanov, A.G.; Borovinskaya, I.P. Historical retrospective of SHS: An autoreview. Int. J. SHS 2008, 4, 242–265. [Google Scholar] [CrossRef]
- Kharatyan, S.L.; Merzhanov, A.G. Coupled SHS reactions as a useful tool for synthesis of materials: An Overview. Int. J. SHS 2012, 21, 59–73. [Google Scholar] [CrossRef]
- Levashov, E.A.; Mukasyan, A.S.; Rogachev, A.S.; Shtansky, D.V. Self-propagating high-temperature synthesis of advanced materials and coatings. Int. Mater. Rev. 2017, 62, 203–239. [Google Scholar] [CrossRef]
- Zhang, K.; Yin, D.; Kai Xu, K.; Zhang, H. Self-propagating synthesis and characterization studies of Gd-Bearing Hf-Zirconolite ceramic waste formsl. Materials 2019, 12, 178. [Google Scholar] [CrossRef]
- Heiligers, C.; Neethling, J.H. Crystal structure of the binder phase in a model HfC-TiC-Ni material. J. Alloys Compd. 2008, 453, 222–228. [Google Scholar] [CrossRef]
- Cao, G.; Orrù, R.; Licheri, R.; Cincotti, A.; Locci, A.M. SHS in Italy: An overview. Int. J. SHS 2008, 17, 76. [Google Scholar]
- Bertolino, N.; Monagheddu, M.; Tacca, A.; Giuliani, P.; Zanotti, C.; Maglia, F.; Anselmi Tamburini, U. Self-propagating high-temperature synthesis of functionally graded materials as thermal protection systems for high-temperature applications. J. Mater. Res. 2003, 18, 448–455. [Google Scholar] [CrossRef]
- Zhang, X.; Liu, N. Effects of ZrC on microstructure, mechanical properties and thermal shock resistance of TiC-ZrC-Co-Ni cermets. Mater. Sci. Eng. A 2013, 561, 270–276. [Google Scholar] [CrossRef]
- LaSalvia, J.C.; Kim, D.K.; Meyers, M.A. Effect of Mo on microstructure and mechanical properties of TiC-Ni-based cermets produced by combustion synthesis—Impact forging technique. Mater. Sci. Eng. A 1996, 26, 71–80. [Google Scholar] [CrossRef]
- Zhang, X.; Liu, N.; Rong, C.; Zhou, J. Microstructure and mechanical properties of TiC-TiN-Zr-WC-Ni-Co cermets. Ceram. Int. 2009, 35, 1187–1193. [Google Scholar] [CrossRef]
- Kim, Y.K.; Shim, J.H.; Cho, Y.W.; Yang, H.S.; Park, J.K. Mechanochemical synthesis of nanocomposite powder for ultrafine (Ti,Mo)C-Ni cermet without core-rim structure. Int. J. Refract. Met. Hard Mater. 2004, 22, 193–196. [Google Scholar] [CrossRef]
- Levashov, E.A.; Vyushkov, B.V.; Egorychev, K.N.; Borovinskaya, I.P. Technological aspects of manufacturing new synthetic nitanium and molybdenum carbide-based nool materials. Int. J. SHS 1996, 5, 293. [Google Scholar]
- Zhao, Z.M.; Zhang, L.; Liu, W.Y.; Yin, Y.J. Bulk ultrahard composites in the eutectic TiB2-TiC system by SHS under high gravity. Int. J. SHS 2009, 18, 186. [Google Scholar] [CrossRef]
- Liang, Y.H.; Wang, H.Y.; Yang, Y.F.; Wang, Y.Y.; Jiang, Q.C. Evolution process of synthesis of TiC in the Cu-Ti-C system. J. Alloys Compd. 2008, 452, 293–303. [Google Scholar] [CrossRef]
- Kim, J.S.; Dudina, D.V.; Kim, J.C.; Kwon, Y.S.; Park, J.J.; Rhee, C.K. Propertes of Cu-based nanocomposites produced by mechanically-activated self-propagating high-temperature synthesis and spark-plasma sintering. J. Nanosci. Nanotechnol. 2010, 10, 252–257. [Google Scholar] [CrossRef]
- Hoang, O.N.T.; Hoang, V.N.; Kim, J.S.; Dudina, D.V. Structural investigations of TiC–Cu nanocomposites prepared by ball milling and spark plasma sintering. Metals 2017, 7, 123. [Google Scholar] [CrossRef]
- Drits, M.E.; Bochvar, N.R.; Guzei, L.S.; Lysova, E.V. Double and Multicomponent Copper-Based Systems; Reference Book; Nauka: Moscow, Russia, 1979; p. 248. [Google Scholar]
- Velikanova, T.; Turchanin, M. Chromium-Copper-Iron. In Iron Systems Part 3; Springer: Berlin/Heidelberg, Germany, 2008; pp. 88–128. [Google Scholar]
- Martinez Pacheco, M.; Bouma, R.H.B.; Garcia-Ruiz, M.; Stuivinga, M.; Katgerman, L. Combustion synthesis of electrical contact materials. Int. J. SHS 2007, 16, 184–188. [Google Scholar] [CrossRef]
- Guerioune, M.; Amiour, Y.; Bounour, W.; Guellati, O.; Benaldjia, A.; Amara, A.; Chakri, N.E.; Ali-Rachedi, M.; Vrel, D. SHS of shape memory CuZnAl alloys. Int. J. SHS 2008, 17, 41–48. [Google Scholar] [CrossRef]
- Schilde, C.; Burmeister, C.F.; Kwade, A. Measurement and simulation of micromechanical properties of nanostructured aggregates via nanoindentation and DEM-simulation. Powder Technol. 2014, 259, 1–13. [Google Scholar] [CrossRef]
- Moisy, F.; Gueydan, A.; Sauvage, X.; Guillet, A.; Keller, C.; Guilmeau, E.; Hug, E. Influence of intermetallic compounds on the electrical resistivity of architectured copper clad aluminum composites elaborated by a restacking drawing method. Mater. Des. 2018, 155, 366–374. [Google Scholar] [CrossRef]
- Grünberger, W.; Heilmaier, M.; Schultz, L. Microstructure and mechanical properties of Cu-Ag microcomposites for conductor wires in pulsed high-field magnets. Z. Met. 2002, 93, 58–65. [Google Scholar] [CrossRef]
- Liping, D.; Ke, H.; Karl, T.H.; Theo, M.S.; Lianyang, D.; Zeyuan, S.; Xiaofang, Y.; Qing, L. Hardness, electrical resistivity, and modeling of in situ Cu–Nb microcomposites. J. Alloys Compd. 2014, 602, 331–338. [Google Scholar]
- Volkov, A.Y.; Kalonov, A.A.; Komkova, D.A.; Glukhov, A.V. Structure and properties of Cu/Mg composites produced by hydrostatic extrusion. Phys. Met. Metallogr. 2018, 119, 946–955. [Google Scholar] [CrossRef]
- Volkov, A.Y.; Antonov, B.D.; Patrakov, E.I.; Volkova, E.G.; Komkova, D.A.; Kalonov, A.A.; Glukhov, A.V. Abnormally high strength and low electrical resistivity of the deformed Cu/Mg-composite with a big number of Mg-filaments. Mater. Des. 2020, 185, 108276. [Google Scholar] [CrossRef]
- Volkov, A.Y.; Kalonov, A.A.; Komkova, D.A. Effect of annealing on the structure, mechanical and electrical properties of Cu/Mg-composite wires. Mater. Charact. 2022, 183, 111606. [Google Scholar] [CrossRef]
- Pugacheva, N.B.; Kryuchkov, D.I.; Nesterenko, A.V.; Smirnov, S.V.; Shveikin, V.P. Studying the shot-term high-temperature creep in the Al-6Zn-2.5Mg-1Cu/10SiCp aluminum matrix composite. Phys. Met. Met. 2021, 122, 1112–1118. [Google Scholar]
- Kryuchkov, D.I.; Nesterenko, A.V.; Smirnov, S.V.; Pugacheva, N.B.; Vichuzhanin, D.I.; Bykova, T.M. Influence of all-round frging under short-term creep conditions on the structure and mechanical properties of the Al7075/10SiCp composite with an aluminum matrix. Phys. Met. Met. 2021, 122, 1054–1064. [Google Scholar]
- Huang, K.; Logé, R.E. A review of dynamic recrystallization phenomena in metallic materials. Mater. Des. 2016, 111, 548–574. [Google Scholar] [CrossRef]
- Zhu, J.; Liu, S.; Yuan, X.; Qing Liu, Q. Comparing the through-thickness gradient of the deformed and recrystallized microstructure in nantalum with unidirectional and clock rolling. Materials 2019, 12, 169. [Google Scholar] [CrossRef]
- Pugacheva, N.B.; Senaeva, E.I.; Malygina, I.Y.; Nikolin, Y.V. Structure of Fe-Ni-Ti-C-B SHS composites. Phys. Met. Metallogr. 2019, 120, 1078–1084. [Google Scholar] [CrossRef]
- Pugacheva, N.B.; Nikolin, Y.V.; Bykova, T.M.; Senaeva, E.I. The influences of matrix chemical composition to the structure and properties of monolithic SHS-compounds. Obrab. Met./Met. Work. Mater. Sci. 2021, 23, 124–138. [Google Scholar]
- Neymark, B.E. Physical Properties of Steels and Alloys Used in Pwer Endineering, Handbook; Leningrad Energy: Leningrad, Russia, 1967; p. 240. [Google Scholar]
- Goldschmidt, H.J. Interstitial Alloys; Butterworth-Heinemann: London, UK, 1967; p. 640. [Google Scholar]
- ISO 6508-1986; Metallic Materials–Hardness Test–Rockwell Test (ScalesA–B–C–D–E–G–H–K). ISO: Geneva, Switzerland, 1986.
- ISO 14577-2:2015; Metallic Materials—Instrumented Indentation Test for Hardness and Materials Parameters—Part 1: Test Method Metallic Materials. ISO: Geneva, Switzerland, 2015.
- Leyland, A.; Matthews, A. On the significance of the H/E ratio in wear control: A nanocomposite coating approach to optimized tribological behavior. Wear 2000, 246, 1–11. [Google Scholar] [CrossRef]
- Cheng, Y.T.; Cheng, C.M. Relationships between hardness, elastic modulus, and the work of indentation. Appl. Phys. Let. 1998, 73, 614–616. [Google Scholar] [CrossRef]
- Petrzhik, M.I.; Levashov, E.A. Modern methods for investigating functional surfaces of advanced materials by mechanical contact testing. Cryst. Rep. 2007, 52, 966–974. [Google Scholar] [CrossRef]
- Pugacheva, N.B.; Orishich, A.M.; Volkova, E.G.; Makarov, A.V.; Senaeva, E.I.; Malikov, A.G. Role of ultra-fine intermetallic particles and martensite in strengthening of AISI 321/Cu/Ti laser welded joint. Mater. Charact. 2022, 185, 111702. [Google Scholar] [CrossRef]
- Pugacheva, N.B.; Nikolin, Y.V.; Bykova, T.M.; Senaeva, E.I. Structure and properties of the SHS-compounds by system Cu-Ti-C-B. Phys. Met. Metallogr. 2022, 123, 43–49. [Google Scholar] [CrossRef]
- Kolmogorov, V.L.; Shishmintsev, V.F. Dependence of steel plasticity on hydrostatic pressure. Phys. Met. Metallogr. 1996, 21, 910–914. [Google Scholar]
- Stolin, A.M.; Bazhin, P.M. Manufacture of multipurpose composite and ceramic materials in the combustion regime and high-temperature deformation (SHS extrusion). Theor. Found. Chem. Eng. 2014, 48, 751–763. [Google Scholar] [CrossRef]
- Cao, T.S. Models for ductile damage and fracture prediction in cold bulk metal forming processes: A review. Int. J Mater. Form. 2015, 10, 139–171. [Google Scholar] [CrossRef]
- Smirnov, S.V.; Pugacheva, N.B.; Soloshenko, A.N.; Tropotov, A.V. Plastic deformation of a high-alloy brass. Phys. Met. Metallogr. 2002, 93, 584–593. [Google Scholar]
- Bai, Y.; Wierzbicki, T. A new model of metal plasticity and fracture with pressure and Lode dependence. Int. J. Plast. 2008, 24, 1071–1096. [Google Scholar] [CrossRef]
- Malcher, L.; Mamiya, E.N. An improved damage evolution law based on continuum damage mechanics and its dependence on both stress triaxiality and the third invariant. Int. J. Plast. 2014, 56, 232–261. [Google Scholar] [CrossRef]
- Smirnov, S.V. Accumulation and healing of damage during plastic metal forming: Simulation and experiment. Key Eng. Mater. 2013, 528, 61–69. [Google Scholar] [CrossRef]
- Pugacheva, N.B.; Veretennikova, I.A.; Khalevitsky, Y.V.; Smirnova, E.O. Numerical simulation of elastic-plastic deformation of AISI 321/Cu/Ti laser welded joint under tension and compression. Mater. Charact. 2022, 189, 111984. [Google Scholar] [CrossRef]
- Sorokin, V.G.; Gervasiev, M.A.; Paleev, V.S.; Gervasieva, I.V. Steels and Alloys; Grade Guide; Intermet Inzhiniring: Moscow, Russia, 2003; p. 589. [Google Scholar]

















| Components | Lattice Type | Space Group | Lattice Parameters, Å | Density, g/sm3 | Specific Electrical Resistivity, 106 Ohm∙m | Thermal Conductivity, W/m∙° | HV | ||
|---|---|---|---|---|---|---|---|---|---|
| a | b | c | |||||||
| Cu | FCC | Fm3m | 3.62 | 3.62 | 3.62 | 8.96 | 1.72 | 399 | 35–37 |
| TiC | FCC | Fm3m | 4.34 | 4.34 | 4.34 | 4.93 | 2.0 | 6.80 | 12–25 |
| TiB2 | 40 | P6/mmm | 3.03 | 3.03 | 3.23 | 4.52 | 0.09 | 66.4 | 33–34 |
| Constituents (Figure 5a) | Cu | Ti | С | B |
|---|---|---|---|---|
| 1 | 73 | 14 | 11 | 2 |
| 2 | 49 | 24 | 20 | 7 |
| 3 | 40 | 25 | 6 | 32 |
| No. in Figure 5a | HIT, GPa (±1.5) | HV 0.1 (±1.4) | E*, GPa (±18) | Wt, nJ (±7.3) | Wе, nJ (±1.2) | hmax, μm (±0.2) | Re, % | HIT/E* | φ, % | CIT, % |
|---|---|---|---|---|---|---|---|---|---|---|
| 1 | 4.8 | 450 | 243 | 100 | 16.5 | 3.1 | 16 | 0.02 | 84 | 14.8 |
| 2 | 8.1 | 760 | 278 | 80.8 | 19.1 | 2.5 | 24 | 0.03 | 77 | 13.6 |
| 3 | 11.0 | 1050 | 293 | 74.5 | 21.9 | 2.2 | 32 | 0.04 | 71 | 4.7 |
| No. | T, °C | P, MPa | e | |
|---|---|---|---|---|
| 1 | 765 | 100 | 0.04 | 7.9 × 10−6 |
| 2 | 825 | 100 | 0.07 | 1.5 × 10−5 |
| 3 | 900 | 100 | 0.76 | 1.5 × 10−4 |
| 4 | 800 | 125 | 0.40 | 8.2 × 10−5 |
| 5 | 825 | 125 | 0.60 | 1.2 × 10−4 |
| 6 | 700 | 150 | 0.10 | 3.0 × 10−5 |
| 7 | 765 | 150 | 0.36 | 7.5 × 10−5 |
| 8 | 800 | 150 | 0.83 | 1.7 × 10−4 |
| Т, °С | 100 | 200 | 300 | 400 | 500 | 600 | 700 | 800 | 900 |
|---|---|---|---|---|---|---|---|---|---|
| Composite | 3.44 | 5.94 | 8.7 | 11.46 | 14.46 | 17.5 | 21.37 | 26.81 | 31.81 |
| Steel [52] | 11.9 | 12.8 | 13.5 | 14.1 | 14.6 | 14.9 | 15.2 | 12.5 | 13.5 |
| Diameter, mm | 4 | 5 | 6 | 7 | 8 | 9 | 10 | 12 | 15 |
|---|---|---|---|---|---|---|---|---|---|
| Kav | −4.08 | −5.83 | −7.14 | −7.83 | −8.24 | −8.51 | −8.72 | −8.99 | −9.23 |
| kmax − kmin | 2.57 | 2.91 | 0.96 | 0.60 | 0.59 | 0.58 | 0.58 | 0.58 | 0.57 |
Disclaimer/Publisher’s Note: The statements, opinions and data contained in all publications are solely those of the individual author(s) and contributor(s) and not of MDPI and/or the editor(s). MDPI and/or the editor(s) disclaim responsibility for any injury to people or property resulting from any ideas, methods, instructions or products referred to in the content. |
© 2023 by the authors. Licensee MDPI, Basel, Switzerland. This article is an open access article distributed under the terms and conditions of the Creative Commons Attribution (CC BY) license (https://creativecommons.org/licenses/by/4.0/).
Share and Cite
Pugacheva, N.; Kryuchkov, D.; Bykova, T.; Vichuzhanin, D. Studying the Plastic Deformation of Cu-Ti-C-B Composites in a Favorable Stress State. Materials 2023, 16, 3204. https://doi.org/10.3390/ma16083204
Pugacheva N, Kryuchkov D, Bykova T, Vichuzhanin D. Studying the Plastic Deformation of Cu-Ti-C-B Composites in a Favorable Stress State. Materials. 2023; 16(8):3204. https://doi.org/10.3390/ma16083204
Chicago/Turabian StylePugacheva, Nataliya, Denis Kryuchkov, Tatiana Bykova, and Dmitry Vichuzhanin. 2023. "Studying the Plastic Deformation of Cu-Ti-C-B Composites in a Favorable Stress State" Materials 16, no. 8: 3204. https://doi.org/10.3390/ma16083204
APA StylePugacheva, N., Kryuchkov, D., Bykova, T., & Vichuzhanin, D. (2023). Studying the Plastic Deformation of Cu-Ti-C-B Composites in a Favorable Stress State. Materials, 16(8), 3204. https://doi.org/10.3390/ma16083204

