The Anatomy of Amorphous, Heterogeneous Catalyst Pellets
Abstract
1. Introduction

2. Void Space Descriptors
2.1. Porosity
2.2. Pore Size
2.3. Tortuosity Parameter
3. Representations of the Void Space
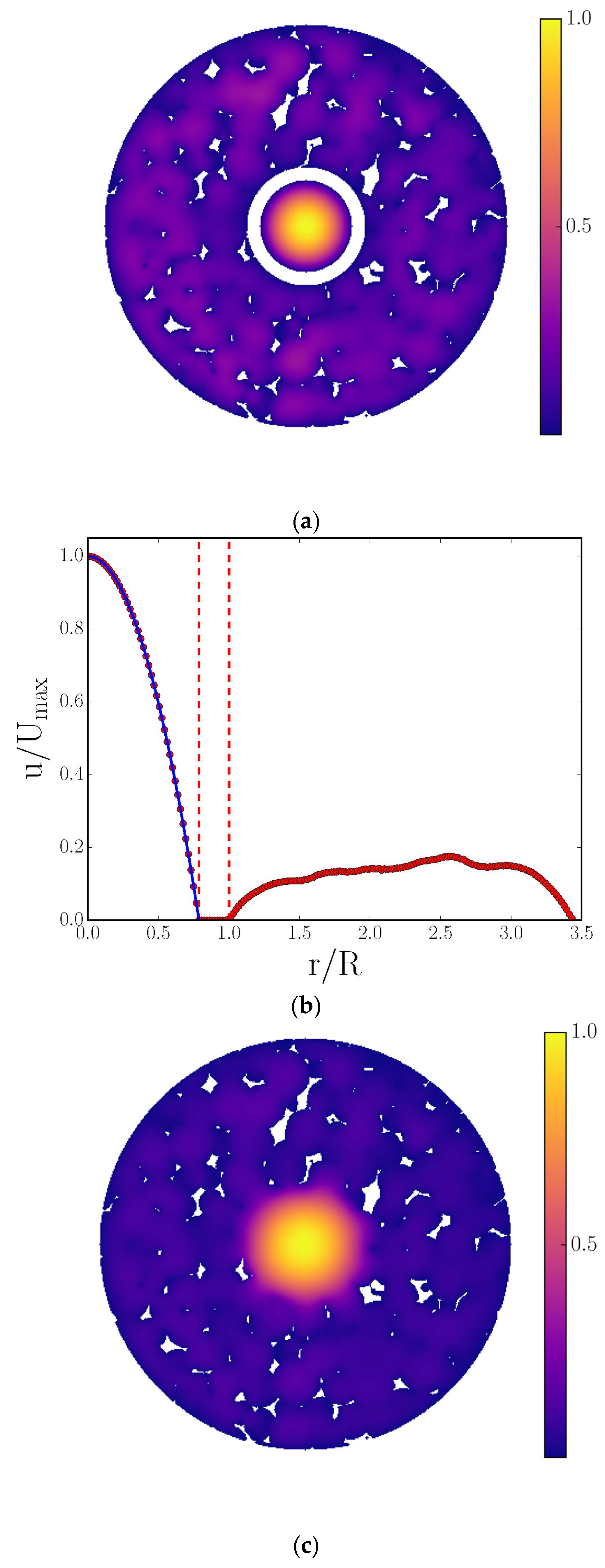
3.1. Imaging
3.2. Pore Models

4. Outlook
5. Conclusions
Funding
Institutional Review Board Statement
Informed Consent Statement
Data Availability Statement
Conflicts of Interest
References
- Twigg, M.V. The Catalyst Handbook, 2nd ed.; CRC Press: Boca Raton, FL, USA, 2014. [Google Scholar]
- Bukowski, B.C.; Keil, F.J.; Ravikovitch, P.I.; Sastre, G.; Schnurr, R.; Coppens, M.-O. Connecting theory and simulation with experiment for the study of diffusion in nanoporous solids. Adsorption 2021, 27, 683–760. [Google Scholar] [CrossRef]
- Rigby, S.P. Structural Characterisation of Natural and Industrial Porous Materials: A Manual; Springer International Publishing: Cham, Switzerland, 2020. [Google Scholar]
- King, A.G. Ceramic Technology and Processing; Noyes Publications/William Andrew Publishing: Norwich, NY, USA, 2002. [Google Scholar]
- Boschi, A.O.; Gilbart, E. Wet forming processes as a potential solution to agglomeration problems. In Advanced Ceramic Processing and Technology; Binner, J.G.P., Ed.; Noyes Publications: Park Ridge, NJ, USA, 1990; pp. 73–78. [Google Scholar]
- Tariq, F.; Haswell, R.; Lee, P.D.; McComb, D.W. Characterization of hierarchical pore structures in ceramics using multiscale tomography. Acta Mater. 2011, 59, 2109–2120. [Google Scholar] [CrossRef]
- Tariq, F.; Lee, P.D.; Haswell, R.; McComb, D.W. The influence of nanoscale microstructural variations on the pellet scale flow properties of hierarchical porous catalytic structures using multiscale 3D imaging. Chem. Eng. Sci. 2011, 66, 5804–5812. [Google Scholar] [CrossRef]
- van den Berg, R.; Zecevic, J.; Sehested, J.; Helveg, S.; de Jongh, S.; de Jong, K.P. Impact of the synthesis route of supported copper catalysts on the performance in the methanol synthesis reaction. Catal. Today 2016, 272, 87–93. [Google Scholar] [CrossRef]
- Venkatesh, A.M.; Bouvard, D.; Lhuissier, P.; Villanova, J. 3D analysis of ceramic powder sintering by synchrotron X-ray nano-tomography. J. Eur. Ceram. Soc. 2023, 43, 2553–2563. [Google Scholar] [CrossRef]
- Froment, G.F.; Bischoff, K.B. Chemical Reactor Analysis and Design, 3rd ed.; Wiley: Hoboken, NJ, USA, 2011. [Google Scholar]
- Fogler, H.S. Elements of Chemical Reaction Engineering, 4th ed.; Prentice-Hall: Hoboken, NJ, USA, 2006. [Google Scholar]
- Froment, G.F. Modeling of catalyst deactivation. Appl. Catal. A Gen. 2001, 212, 117–128. [Google Scholar] [CrossRef]
- Radon, J. Uber die Bestimmung von Funktionen durch ihre Integralwerte Langs Gewisser Mannigfaltigkeiten [On the determination of functions from their integrals along certain manifolds]. Ber. Saechsische Akad. Wiss. 1917, 29, 262. [Google Scholar]
- Washburn, E.W. The dynamics of capillary flow. Phys. Rev. 1921, 17, 273. [Google Scholar] [CrossRef]
- Brunauer, S.; Emmett, P.H.; Teller, E. Adsorption of Gases in Multimolecular Layers. J. Am. Chem. Soc. 1938, 60, 309–319. [Google Scholar] [CrossRef]
- Barrett, E.P.; Joyner, L.G.; Halenda, P.P. The Determination of Pore Volume and Area Distributions in Porous Substances. I. Computations from Nitrogen Isotherms. J. Am. Chem. Soc. 1951, 73, 373–380. [Google Scholar] [CrossRef]
- Fatt, I. The network model of porous media: I Capillary pressure characterization. Trans. Am. Inst. Min. Met. Eng. 1956, 207, 144–159. [Google Scholar]
- Callaghan, P.T. Principles of Nuclear Magnetic Resonance Microscopy; Oxford University Press: Oxford, UK, 1991. [Google Scholar]
- Gregg, S.J.; Sing, K.S.W. Adsorption, Surface Area and Porosity; Academic Press Inc.: London, UK, 1982. [Google Scholar]
- Lowell, S.; Shields, J.E. Powder Surface Area and Porosity; Springer: Dordrecht, The Netherlands, 2011. [Google Scholar]
- Rouquerol, F.; Rouquerol, J.; Sing, K. Adsorption by Powders and Porous Solids: Principles, Methodology and Applications; Academic Press: London, UK, 1999. [Google Scholar]
- Thommes, M.; Katsumi, K.; Neimark, A.V.; Olivier, J.P.; Rodriguez-Reinoso, F.; Rouquerol, J.; Sing, K.S.W. Physisorption of gases, with special reference to the evaluation of surface area and pore size distribution (IUPAC Technical Report). Pure Appl. Chem. 2015, 87, 1051–1069. [Google Scholar] [CrossRef]
- Giesche, H. Mercury Porosimetry: A General (Practical) Overview. Part. Part. Syst. Charact. 2006, 23, 9–19. [Google Scholar] [CrossRef]
- Rigby, S.P.; Cheah, K.-Y.; Gladden, L.F. NMR imaging studies of transport heterogeneity and anisotropic diffusion in porous alumina pellets. Appl. Catal. A 1996, 144, 377–388. [Google Scholar] [CrossRef]
- Pini, R.; Joss, L.; Hejazi, S.A.H. Quantitative imaging of gas adsorption equilibrium and dynamics by X-ray computed tomography. Adsorption 2021, 27, 801–818. [Google Scholar] [CrossRef]
- Pini, R. Multidimensional quantitative imaging of gas adsorption in nanoporous solids. Langmuir 2014, 30, 10984–10989. [Google Scholar] [CrossRef]
- Fan, X.; Ou, X.; Xing, F.; Turley, G.A.; Denissenko, P.; Williams, M.A.; Batail, N.; Pham, C.; Lapkin, A.A. Microtomography-based numerical simulations of heat transfer and fluid flow through β-SiC open-cell foams for catalysis. Catal. Today 2016, 278, 350–360. [Google Scholar] [CrossRef]
- Pavlovskaya, G.P.; Meersmann, T.; Jin, C.; Rigby, S.P. Fluid flow in a porous medium with transverse permeability discontinuity. Phys. Rev. Fluids 2018, 3, 044102. [Google Scholar] [CrossRef]
- Arif, M.; Mahmoud, Y.; Zhang, S.; Iglauer, S. X-ray tomography imaging of shale microstructures: A review in the context of multiscale correlative imaging. Int. J. Coal Geol. 2020, 233, 103641. [Google Scholar] [CrossRef]
- Raistrick, J. X-ray imaging in its element. Mater. World 2001, 9, 11–13. [Google Scholar]
- Ebadi, M.; Orlov, D.; Alekseev, V.; Burukhin, A.; Krutko, V.; Koroteev, D. Lift the veil of secrecy in sub-resolved pores by Xe-enhanced computed tomography. Fuel 2022, 328, 125274. [Google Scholar] [CrossRef]
- Rigby, S.P.; Watt-Smith, M.J.; Chigada, P.; Chudek, J.A.; Fletcher, R.S.; Wood, J.; Bakalis, S.; Miri, T. Studies of the entrapment of non-wetting fluid within nanoporous media using a synergistic combination of MRI and micro-computed X-ray tomography. Chem. Eng. Sci. 2006, 61, 7579–7592. [Google Scholar] [CrossRef]
- Weber, S.; Diaz, A.; Holler, M.; Schropp, A.; Lyubomirskiy, M.; Abel, K.L.; Kahnt, M.; Jeromin, A.; Kulkarni, S.; Keller, T.F.; et al. Evolution of hierarchically porous nickel alumina catalysts studied by X-ray ptychography. Adv. Sci. 2022, 9, 2105432. [Google Scholar] [CrossRef]
- Hollewand, M.P.; Gladden, L.F. Heterogeneities in Structure and Diffusion within Porous Catalyst Support Pellets Observed by NMR Imaging. J. Catal. 1993, 144, 254–272. [Google Scholar] [CrossRef]
- Hollewand, M.P.; Gladden, L.F. Transport heterogeneity in porous pellets-I. PGSE NMR studies. Chem. Eng. Sci. 1995, 50, 309–326. [Google Scholar] [CrossRef]
- Hollewand, M.P.; Gladden, L.F. Transport heterogeneity in porous pellets-II. NMR imaging studies under transient and steady-state conditions. Chem. Eng. Sci. 1995, 50, 327–344. [Google Scholar] [CrossRef]
- Timonen, J.; Alvila, L.; Hirva, P.; Pakkanen, T.T.; Gross, D.; Lehmann, V. NMR imaging of aluminium oxide catalyst spheres. Appl. Catal. A 1995, 129, 117–123. [Google Scholar] [CrossRef]
- Mantle, M.D.; Bardsley, M.H.; Gladden, L.F.; Bridgwater, J. Laminations in ceramic forming-mechanisms revealed by MRI. Acta Mater. 2004, 52, 899–909. [Google Scholar] [CrossRef]
- Hill-Casey, F.; Hotchkiss, T.; Hardstone, K.A.; Hitchcock, I.; Novak, V.; Schlepütz, C.M.; Meersmann, T.; Pavlovskaya, G.E.; Rigby, S.P. Hyperpolarised xenon MRI and time-resolved X-ray computed tomography studies of structure-transport relationships in hierarchical porous media. Chem. Eng. J. 2021, 405, 126750. [Google Scholar] [CrossRef]
- Sorbier, L.; Poncet, H.; Lecocq, V.; Maillet, G.; Moula, M.; Le Corre, V. Local Porosity Measurement from Scanning Electron Microscopy Images in the Backscattered Electrons Mode. Microsc. Microanal. 2021, 27, 20–27. [Google Scholar] [CrossRef] [PubMed]
- Dullien, F.A.L. Porous Media: Fluid Transport and Pore Structure, 2nd ed.; Academic Press: San Diego, CA, USA, 1992. [Google Scholar]
- Baldwin, C.A.; Sederman, A.J.; Mantle, M.D.; Alexander, P.; Gladden, L.F. Determination and characterization of the structure of a pore space from 3D volume images. J. Colloid Interface Sci. 1996, 181, 79–92. [Google Scholar] [CrossRef]
- Wang, H.S.; Jeulin, D.; Willot, F.; Sorbier, L.; Moreaud, M. Modelling of the microstructure of mesoporous alumina constrained by morphological simulation of nitrogen porosimetry. Colloids Surf. A 2018, 553, 378–396. [Google Scholar] [CrossRef]
- Hammoumi, A.; Moreaud, M.; Jeulin, D.; Jolimaitre, E.; Chevalier, T.; Sorbier, L.; Klotz, M.; Novikov, A. A novel physisorption model based on mathematical morphology operators preserving exact pore morphology and connectivity. Micropor. Mesopor. Mater. 2022, 337, 111847. [Google Scholar] [CrossRef]
- Seely, R.; Liddy, T.J.; Rochelle, C.A.; Fletcher, R.S.; Rigby, S.P. Evolution of the mineralogy, pore structure and transport properties of Nordland Shale following exposure to supercritical carbon dioxide. J. Pet. Sci. Eng. 2022, 213, 110466. [Google Scholar] [CrossRef]
- Hitchcock, I.; Lunel, M.; Bakalis, S.; Fletcher, R.S.; Holt, E.M.; Rigby, S.P. Improving sensitivity and accuracy of pore structural characterisation using scanning curves in integrated gas sorption and mercury porosimetry experiments. J. Colloid Interface Sci. 2014, 417, 88–99. [Google Scholar] [CrossRef]
- Petrov, O.; Furó, I. Curvature-dependent metastability of the solid phase and the freezing-melting hysteresis in pores. Phys. Rev. E 2006, 73, 011608. [Google Scholar] [CrossRef]
- Perkins, E.L.; Lowe, J.P.; Edler, K.J.; Tanko, N.; Rigby, S.P. Determination of the percolation properties and pore connectivity for mesoporous solids using NMR cryodiffusometry. Chem. Eng. Sci. 2008, 63, 1929–1940. [Google Scholar] [CrossRef]
- Rigby, S.P.; Chigada, P.I. Interpretation of integrated gas sorption and mercury porosimetry studies of adsorption in disordered networks using mean-field DFT. Adsorption 2009, 15, 31–41. [Google Scholar] [CrossRef]
- Gelb, L.D. The ins and outs of capillary condensation in cylindrical pores. Mol. Phys. 2002, 100, 2049–2057. [Google Scholar] [CrossRef]
- Rigby, S.P.; Fletcher, R.S.; Riley, S.N. Characterisation of porous solids using integrated nitrogen sorption and mercury porosimetry. Chem. Eng. Sci. 2004, 59, 41–51. [Google Scholar] [CrossRef]
- Seaton, N.A. Determination of the connectivity of porous solids from nitrogen sorption measurements. Chem. Eng. Sci. 1991, 46, 1895–1909. [Google Scholar] [CrossRef]
- Liu, H.L.; Zhang, L.; Seaton, N.A. Determination of the connectivity of porous solids from nitrogen sorption measurements. 2. Generalization. Chem. Eng. Sci. 1992, 47, 4393–4404. [Google Scholar] [CrossRef]
- Liu, H.L.; Zhang, L.; Seaton, N.A. Sorption hysteresis as a probe of pore structure. Langmuir 1993, 9, 2576–2582. [Google Scholar] [CrossRef]
- Liu, H.L.; Seaton, N.A. Determination of the connectivity of porous solids from nitrogen sorption measurements. 3. Solids containing large mesopores. Chem. Eng. Sci. 1994, 49, 1869–1878. [Google Scholar] [CrossRef]
- Liu, H.L.; Zhang, L.; Seaton, N.A. Analysis of sorption hysteresis in mesoporous solids using a pore network model. J. Colloid Interface Sci. 1993, 156, 285–293. [Google Scholar] [CrossRef]
- Murray, K.L.; Seaton, N.A.; Day, M.A. An Adsorption-Based Method for the Characterization of Pore Networks Containing Both Mesopores and Macropores. Langmuir 1999, 15, 6728–6737. [Google Scholar] [CrossRef]
- Rigby, S.P.; Watt-Smith, M.J.; Fletcher, R.S. Simultaneous determination of the pore-length distribution and pore connectivity for porous catalyst supports using integrated nitrogen sorption and mercury porosimetry. J. Catal. 2004, 227, 68–76. [Google Scholar] [CrossRef]
- Rigby, S.P.; Watt-Smith, M.J.; Fletcher, R.S. Integrating Gas Sorption with Mercury Porosimetry. Adsorption 2005, 11 (Suppl. S1), 201–206. [Google Scholar] [CrossRef]
- Portsmouth, R.L.; Gladden, L.F. Determination of pore connectivity by mercury porosimetry. Chem. Eng. Sci. 1991, 46, 3023–3036. [Google Scholar] [CrossRef]
- Portsmouth, R.L.; Gladden, L.F. Mercury porosimetry as a probe of pore connectivity. Chem. Eng. Res. Des. 1992, 70, 63–70. [Google Scholar]
- Wardlaw, N.C.; McKellar, M. Mercury porosimetry and the interpretation of pore geometry in sedimentary rocks and artificial models. Powder Technol. 1981, 29, 127–143. [Google Scholar] [CrossRef]
- Pomonis, P.J.; Armatas, G.S. A Method for the Estimation of Pore Anisotropy in Porous Solids. Langmuir 2004, 20, 6719–6726. [Google Scholar] [CrossRef] [PubMed]
- Pomonis, P.J.; Margellou, A. The pore length, the pore number and the pore anisotropy distributions in porous materials. Micropor. Mesopor. Mater. 2018, 271, 41–51. [Google Scholar] [CrossRef]
- Tsakiroglou, C.D.; Payatakes, A.C. Characterization of the pore structure of reservoir rocks with the aid of serial sectioning analysis, mercury porosimetry and network simulation. Adv. Wat. Resour. 2000, 23, 773–789. [Google Scholar] [CrossRef]
- Ghanbarian, B.; Hunt, A.G.; Ewing, R.P.; Sahimi, M. Tortuosity in Porous Media: A Critical Review. Soil Sci. Soc. Am. J. 2013, 77, 1461–1477. [Google Scholar] [CrossRef]
- Fu, J.; Thomas, H.R.; Li, C. Tortuosity of porous media: Image analysis and physical simulation. Earth-Sci. Rev. 2021, 212, 103439. [Google Scholar] [CrossRef]
- Morgado Lopes, A.; Wernert, V.; Sorbier, L.; Lecocq, V.; Antoni, M.; Denoyel, R. Transport in multiscale porous extrudates. Micropor. Mesopor. Mater. 2021, 310, 110640. [Google Scholar] [CrossRef]
- Mann, R.; Sharratt, P.N. Diffusion and consecutive reactions in stochastic pore networks. Chem. Eng. Sci. 1988, 43, 1875–1880. [Google Scholar] [CrossRef]
- Sharratt, P.N.; Mann, R. Some observations on the variation of tortuosity with Thiele modulus and pore size distribution. Chem. Eng. Sci. 1987, 42, 1565–1576. [Google Scholar] [CrossRef]
- Mann, R.; Sharratt, P.N.; Thomson, G. Deactivation of a supported zeolitic catalyst—Diffusion, reaction and coke deposition in stochastic pore networks. Chem. Eng. Sci. 1986, 41, 711–718. [Google Scholar] [CrossRef]
- Hollewand, M.P.; Gladden, L.F. Modelling of diffusion and reaction in porous catalysts using a random three-dimensional network model. Chem. Eng. Sci. 1992, 47, 1761–1770. [Google Scholar] [CrossRef]
- Hollewand, M.P.; Gladden, L.F. Representation of porous catalysts using random pore networks. Chem. Eng. Sci. 1992, 47, 2757–2762. [Google Scholar] [CrossRef]
- Yamada, H.; Tagawa, T.; Nagao, S.; Kato, S. Investigation of gas diffusion phenomena in porous catalyst support pellets based on microstructure. Catal. Today 2021, 375, 30–35. [Google Scholar] [CrossRef]
- Becker, H.; Güttel, R.; Turek, T. Optimization of catalysts for Fischer-Tropsch synthesis by introduction of transport pores. Chem. Ing. Tech. 2014, 86, 544–549. [Google Scholar] [CrossRef]
- D’Agostino, C.; Mitchell, J.; Gladden, L.F.; Mantle, M.D. Hydrogen Bonding Network Disruption in Mesoporous Catalyst Supports Probed by PFG-NMR Diffusometry and NMR Relaxometry. J. Phys. Chem. C 2012, 116, 8975–8982. [Google Scholar] [CrossRef]
- Cnudde, V.; Boone, M.; Dewanckele, J.; Dierick, M.; Van Hoorebeke, L.; Jacobs, P. 3D characterization of sandstone by means of X-ray computed tomography. Geosphere 2011, 7, 54–61. [Google Scholar] [CrossRef]
- Bultreys, T.; De Boever, W.; Cnudde, V. Imaging and image-based fluid transport modeling at the pore scale in geological materials: A practical introduction to the current state-of-the-art. Earth Sci. Rev. 2016, 155, 93–128. [Google Scholar] [CrossRef]
- Guibert, R.; Nazarova, M.; Voltolini, M.; Beretta, T.; Debenest, G.; Creux, P. Influence of Standard Image Processing of 3D X-ray Microscopy on Morphology, Topology and Effective Properties. Energies 2022, 15, 7796. [Google Scholar] [CrossRef]
- Yoshida, K.; Makihara, M.; Tanaka, N.; Aoyagi, S.; Nishibori, E.; Sakata, M.; Boyes, E.D.; Gai, P. Specific Surface Area and Three-Dimensional Nanostructure Measurements of Porous Titania Photocatalysts by Electron Tomography and Their Relation to Photocatalytic Activity. Microsc. Microanal. 2011, 17, 264–273. [Google Scholar] [CrossRef]
- Zubiri, B.A.; Wirth, J.; Drobek, D.; Englisch, S.; Przybilla, T.; Weissenberger, T.; Schwieger, W.; Spiecker, E. Correlative Laboratory Nano-CT and 360° Electron Tomography of Macropore Structures in Hierarchical Zeolites. Adv. Mater. Interfaces 2021, 8, 2001154. [Google Scholar] [CrossRef]
- Wakao, W.; Smith, J.M. Diffusion in catalyst pellets. Chem. Eng. Sci. 1962, 17, 825–834. [Google Scholar] [CrossRef]
- Nepryahin, A.; Fletcher, R.; Holt, E.M.; Rigby, S.P. Structure-transport relationships in disordered solids using integrated rate of gas sorption and mercury porosimetry. Chem. Eng. Sci. 2016, 152, 663–673. [Google Scholar] [CrossRef]
- Hitchcock, I.; Chudek, J.A.; Holt, E.M.; Lowe, J.P.; Rigby, S.P. NMR Studies of Cooperative Effects in Adsorption. Langmuir 2010, 26, 18061–18070. [Google Scholar] [CrossRef]
- Shiko, E.; Edler, K.J.; Lowe, J.P.; Rigby, S.P. Probing the impact of advanced melting and advanced adsorption phenomena on the accuracy of pore size distributions from cryoporometry and adsorption using NMR relaxometry and diffusometry. J. Colloid Interface Sci. 2012, 385, 183–192. [Google Scholar] [CrossRef]
- Novák, V.; Dudák, M.; Kočí, P.; Marek, M. Understanding the gas transport in porous catalyst layers by using digital reconstruction techniques. Curr. Opin. Chem. Eng. 2015, 9, 16–26. [Google Scholar] [CrossRef]
- Naseri, A.T.; Peppley, B.A.; Pharoah, J.G.; Mandal, P.; Litster, S.; Abatzoglou, N. X-ray tomography-based analysis of transport and reaction in the catalyst coating of a reformer. Chem. Eng. Sci. 2015, 138, 499–500. [Google Scholar] [CrossRef]
- Ostadi, H.; Rama, P.; Liu, Y.; Chen, R.; Zhang, X.X.; Jiang, K. 3D reconstruction of a gas diffusion layer and a microporous layer. J. Membr. Sci. 2010, 351, 69–74. [Google Scholar] [CrossRef]
- Weisberg, M. Simulation and Similarity: Using Models to Understand the World; Oxford University Press: Oxford, UK, 2013. [Google Scholar]
- Androutsopoulos, G.P.; Mann, R. Evaluation of mercury porosimeter experiments using a network pore structure model. Chem. Eng. Sci. 1979, 34, 1203–1212. [Google Scholar] [CrossRef]
- Ledezma, G.; Verstraete, J.J.; Sorbier, L.; Leinekugel-Le-Cocq, D.; Jolimaitre, E.; Jallut, C. Computational characterization techniques applied to pore network models by using a fast percolation algorithm. Chem. Eng. Sci. 2022, 260, 117812. [Google Scholar] [CrossRef]
- Lopez, G.A.L.; Verstraete, J.J.; Sorbier, L.; Glowska, A.; Leinekugel-Le-Cocq, D.; Jolimaitre, E.; Jallut, C. Generation of γ-Alumina Digital Twins Using a Nitrogen Porosimetry Simulation. Ind. Eng. Chem. Res. 2021, 60, 16728–16738. [Google Scholar] [CrossRef]
- Matthews, G.P.; Ridgway, C.J.; Spearing, M.C. Void space modeling of mercury intrusion hysteresis in sandstone, paper coating and other porous media. J. Colloid Interface Sci. 1995, 171, 8–27. [Google Scholar] [CrossRef]
- Matthews, G.P.; Moss, A.K.; Spearing, M.C.; Voland, F. Network calculation of mercury intrusion and absolute permeability in sandstone and other porous media. Powder Technol. 1993, 76, 95–107. [Google Scholar] [CrossRef]
- Matthews, G.P.; Moss, A.K.; Ridgway, C.J. The effects of correlated networks on mercury intrusion simulations and permeabilities in sandstone and other porous media. Powder Technol. 1995, 83, 61–77. [Google Scholar] [CrossRef]
- Laudon, G.M.; Matthews, G.P.; Gane, P.A.C. Modelling diffusion from simulated porous structures. Chem. Eng. Sci. 2008, 63, 1987–1996. [Google Scholar] [CrossRef]
- Matadamas, J.; Alférez, R.; López, R.; Román, G.; Kornhauser, I.; Rojas, F. Advanced and delayed filling or emptying of pore entities by vapor sorption or liquid intrusion in simulated porous networks. Colloids Surf. A 2016, 39, 39–51. [Google Scholar] [CrossRef]
- Cruz, M.J.; Mayagoitia, V.; Rojas, F. Mechanistic studies of capillary processes in porous media. 2. Construction of porous networks by Monte-Carlo methods. J. Chem. Soc. Farad. Trans. 1989, 85, 2079–2086. [Google Scholar] [CrossRef]
- Zgrablich, G.; Mendiorez, S.; Daza, L.; Pajares, J.; Mayagoitia, V.; Rojas, F.; Conner, W.C. Effect of porous structure on the determination of pore size distribution by mercury porosimetry and nitrogen sorption. Langmuir 1991, 7, 779–785. [Google Scholar] [CrossRef]
- Vidales, A.M.; Miranda, E.; Nazzarro, M.; Mayagoitia, V.; Rojas, F.; Zgrablich, G. Invasion percolation in correlated porous media. Europhys. Lett. 1991, 36, 259–264. [Google Scholar] [CrossRef]
- Rojas, F.; Kornhauser, I.; Felipe, C.; Esparza, J.M.; Cordero, S.; Domínguez, A.; Riccardo, J.L. Capillary condensation in heterogeneous mesoporous networks consisting of variable connectivity and pore-size correlation. Phys. Chem. Chem. Phys. 2002, 4, 2346–2355. [Google Scholar] [CrossRef]
- Cordero, S.; Kornhauser, I.; Rojas, F.; Zgrablich, G. Review: Site-bond network modeling of disordered porous media. Part. Part. Syst. Charac. 2004, 21, 101–116. [Google Scholar] [CrossRef]
- Rieckmann, C.; Keil, F.J. Simulation and experiment of multicomponent diffusion and reaction in three-dimensional networks. Chem. Eng. Sci. 1999, 54, 3485–3493. [Google Scholar] [CrossRef]
- Rieckmann, C.; Duren, T.; Keil, F.J. Interaction of kinetics, diffusion and geometric structure of pore networks in catalyst supports—A percolation theoretical approach to hydrodemetalation. Hung. J. Ind. Chem. 1997, 25, 137–145. [Google Scholar]
- Rieckmann, C.; Keil, F.J. Multicomponent diffusion and reaction in three-dimensional networks: General kinetics. Ind. Eng. Chem. Res. 1997, 36, 3275–3281. [Google Scholar] [CrossRef]
- Rigby, S.P.; Hasan, M.; Hitchcock, I.; Fletcher, R.S. Detection of the delayed condensation effect and determination of its impact on the accuracy of gas adsorption pore size distributions. Colloids Surf A 2017, 517, 33–44. [Google Scholar] [CrossRef]
- Prachayawarakorn, S.; Mann, R. Effects of pore assembly architecture on catalyst particle tortuosity and reaction effectiveness. Catal Today 2007, 128, 88–99. [Google Scholar] [CrossRef]
- Wang, G.; Coppens, M.-O. Calculation of the optimal macropore size in nanoporous catalysts and its application to DeNO(x) catalysis. Ind. Eng. Chem. Res. 2008, 47, 3847–3855. [Google Scholar] [CrossRef]
- Pohlmann, F.; Kern, C.; Rossler, S.; Jess, A. Accumulation of liquid hydrocarbons in catalyst pores during cobalt-catalyzed Fischer-Tropsch synthesis. Catal. Sci. Tech. 2016, 6, 6593–6604. [Google Scholar] [CrossRef]
- Kikkinides, E.S.; Lappas, A.A.; Nalbadian, A.; Vasalos, I.A. Correlation of reactor performance with catalyst structural changes during coke formation in FCC processes. Chem. Eng. Sci. 2002, 57, 1011–1025. [Google Scholar] [CrossRef]
- Zhdanov, V.P. Kinetics and percolation: Coke in heterogeneous catalysts. J. Phys. A Math. Theor. 2002, 55, 174005. [Google Scholar] [CrossRef]
- Ye, G.; Wang, H.; Duan, X.; Sui, Z.; Zhou, X.; Coppens, M.-O. Pore network modeling of catalyst deactivation by coking, from single site to particle, during propane dehydrogenation. AIChE J. 2019, 65, 140–150. [Google Scholar] [CrossRef]
- Ye, G.; Wang, H.; Zhou, X.; Keil, F.J.; Coppens, M.-O. Optimizing catalyst pore network structure in the presence of deactivation by coking. AIChE J. 2019, 65, e16687. [Google Scholar] [CrossRef]
- Meakin, P. Simulation of the effects of fractal geometry on the selectivity of heterogeneous catalysts. Chem. Phys. Lett. 1986, 123, 428–432. [Google Scholar] [CrossRef]
- Tambe, S.S.; Badola, P.; Kulkarni, B.D. Selectivity behaviour of a multi-step reaction on a catalyst modelled as a DLA fractal surface. Chem. Phys. Lett. 1990, 173, 67–69. [Google Scholar] [CrossRef]
- Lee, C.-K.; Lee, S.-L. Multifractal scaling analysis of the selectivity behavior of a multi-step reaction over DLA surfaces. Chem. Phys. Lett. 1994, 226, 88–92. [Google Scholar] [CrossRef]
- Rigby, S.P.; Gladden, L.F. Influence of Structural Heterogeneity on Selectivity in Fractal Catalyst Structures. J. Catal. 1998, 180, 44–50. [Google Scholar] [CrossRef]
- Novák, V.; Kočí, P.; Marek, M.; Štěpánek, F.; Blanco-García, S.; Jones, G. Multi-scale modelling and measurements of diffusion through porous catalytic coatings: An application to exhaust gas oxidation. Catal. Today 2012, 188, 62–69. [Google Scholar] [CrossRef]
- Dudák, M.; Novák, V.; Kočí, P.; Marek, M.; Blanco-García, S.; Jones, G. Prediction of diffusivity and conversion of n-decane and CO in coated Pt/γ-Al2O3 catalyst depending on porous layer morphology. Appl. Catal. B Environ. 2014, 150–151, 446–458. [Google Scholar] [CrossRef]
- Rigby, S.P.; Gladden, L.F. The Use of Magnetic Resonance Images in the Simulation of Diffusion in Porous Catalyst Support Pellets. J. Catal. 1998, 173, 484–489. [Google Scholar] [CrossRef]
- Malek, K.; Coppens, M.-O. Knudsen self- and Fickian diffusion in rough nanoporous media. J. Chem. Phys. 2003, 119, 2801–2811. [Google Scholar] [CrossRef]
- Fey, T.; Betke, U.; Rannabauer, S.; Scheffler, M. Reticulated Replica Ceramic Foams: Processing, Functionalization, and Characterization. Adv. Eng. Mater. 2017, 19, 1700369. [Google Scholar] [CrossRef]
- Yeetsorn, R.; Tungkamani, S.; Tungkamani, S. Fabrication of a Ceramic Foam Catalyst Using Polymer Foam Scrap via the Replica Technique for Dry Reforming. ACS Omega 2022, 7, 4202–4213. [Google Scholar] [CrossRef] [PubMed]
- Kuznetzov, A.V. Analytical investigation of the fluid flow in the interface region between a porous medium and a clear fluid in channels partially filled with a porous medium. Appl. Sci. Res. 1996, 56, 53. [Google Scholar] [CrossRef]
- Botha, P.W.S.K.; Sheppard, A.P. Mapping permeability in low-resolution micro-CT images: A multiscale statistical approach. Water Resour. Res. 2016, 52, 4377–4398. [Google Scholar] [CrossRef]
- Mousa, S.; Novak, V.; Fletcher, R.S.; Garcia, M.; Mcleod, N.; Corfield, M.; Rigby, S.P. Integration of multi-scale porosimetry and multi-modal imaging in the study of structure-transport relationships in porous catalyst pellets. Chem. Eng. J. 2023, 452, 139122. [Google Scholar] [CrossRef]
- Keil, F.J. Molecular modelling for reactor design. Annu. Rev. Chem. Biomolec. Eng. 2018, 9, 201–227. [Google Scholar] [CrossRef]
- Ferreira, S.; Verstraete, J.; Jolimaitre, E.; Leinekugel-le-Cocq, D.; Jallut, C. Modelling textural and mass transfer properties for gamma alumina catalysts using randomly generated pore networks. Can. J. Chem. Eng. 2023, 101, 1068–1082. [Google Scholar] [CrossRef]
- Blykers, B.K.; Organista, C.; Boone, M.N.; Kagias, M.; Marone, F.; Stampanoni, M.; Bultreys, T.; Cnudde, V.; Aelterman, J. Tunable X-ray dark-field imaging for sub-resolution feature size quantification in porous media. Sci. Rep. 2021, 11, 18446. [Google Scholar] [CrossRef]
- Jackson, S.J.; Niu, Y.; Manoorkar, S.; Mostaghimi, P.; Armstrong, R.T. Deep Learning of Multiresolution X-Ray Micro-Computed-Tomography Images for Multiscale Modeling. Phys. Rev. Appl. 2022, 17, 054046. [Google Scholar] [CrossRef]
- Huang, Y.; Xiang, Z.; Qian, M. Deep-learning-based porous media microstructure quantitative characterization and reconstruction method. Phys. Rev. E 2022, 105, 015308. [Google Scholar] [CrossRef]
- Lydzba, D. Homogenisation theories applied to porous media. J. Theor. Appl. Mech. 1998, 36, 658–679. [Google Scholar]
- Fernandes, C.P.; Magnani, F.S.; Philippi, P.C.; Daïan, J.F. Multiscale geometrical reconstruction of porous structures. Phys. Rev. E 1996, 54, 1734. [Google Scholar] [CrossRef] [PubMed]
- Yao, J.; Song, W.; Wang, D.; Sun, H.; Li, Y. Multi-scale pore network modelling of fluid mass transfer in nano-micro porous media. Int. J. Heat Mass Trans. 2019, 141, 156–167. [Google Scholar] [CrossRef]
- Song, W.; Yao, J.; Zhang, K.; Sun, H.; Yang, Y. The impacts of pore structure and relative humidity on gas transport in shale: A numerical study by the image-based multi-scale pore network model. Transp. Porous Media 2021, 144, 229–253. [Google Scholar] [CrossRef]
- de Winter, D.A.M.; Meirer, B.; Weckhuysen, B.M. FIB-SEM Tomography Probes the Mesoscale Pore Space of an Individual Catalytic Cracking Particle. ACS Catal. 2016, 6, 3158–3167. [Google Scholar] [CrossRef] [PubMed]







Disclaimer/Publisher’s Note: The statements, opinions and data contained in all publications are solely those of the individual author(s) and contributor(s) and not of MDPI and/or the editor(s). MDPI and/or the editor(s) disclaim responsibility for any injury to people or property resulting from any ideas, methods, instructions or products referred to in the content. |
© 2023 by the author. Licensee MDPI, Basel, Switzerland. This article is an open access article distributed under the terms and conditions of the Creative Commons Attribution (CC BY) license (https://creativecommons.org/licenses/by/4.0/).
Share and Cite
Rigby, S.P. The Anatomy of Amorphous, Heterogeneous Catalyst Pellets. Materials 2023, 16, 3205. https://doi.org/10.3390/ma16083205
Rigby SP. The Anatomy of Amorphous, Heterogeneous Catalyst Pellets. Materials. 2023; 16(8):3205. https://doi.org/10.3390/ma16083205
Chicago/Turabian StyleRigby, Sean P. 2023. "The Anatomy of Amorphous, Heterogeneous Catalyst Pellets" Materials 16, no. 8: 3205. https://doi.org/10.3390/ma16083205
APA StyleRigby, S. P. (2023). The Anatomy of Amorphous, Heterogeneous Catalyst Pellets. Materials, 16(8), 3205. https://doi.org/10.3390/ma16083205
