Effect of Working Temperature Conditions on the Autogenous Deformation of High-Performance Concrete Mixed with MgO Expansive Agent
Abstract
:1. Introduction
2. Materials and Methods
2.1. Materials
2.2. Tools for Simulating the Temperature of Working Conditions
2.3. Preparation of Concrete


2.4. Test Methods
2.4.1. Mechanical Properties
2.4.2. Autogenous Deformation
2.4.3. Thermal Analysis
2.4.4. SEM Morphology
3. Results and Discussion
3.1. Mechanical Properties
3.2. Autogenous Deformation
3.3. Hydration Degree of MgO
3.4. Morphology
3.5. Discussion
4. Conclusions
- The effects of three different temperature conditions on the mechanical properties, autogenous shrinkage, and microstructure of high-strength concrete with MEA were studied. The main conclusions are as follows:
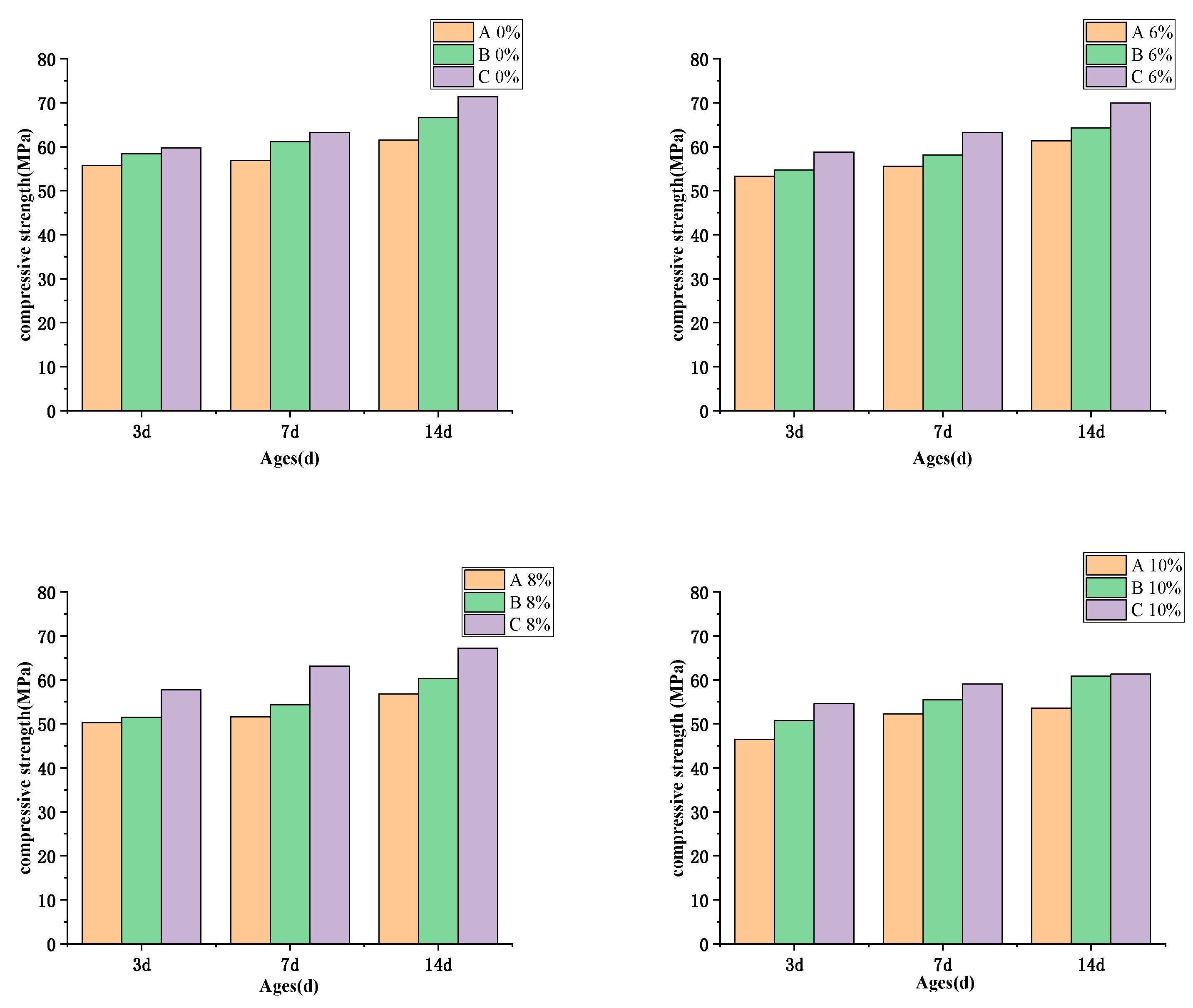
- This investigation examined the impact of MEA incorporation on concrete’s compressive strength under different temperature conditions. The results demonstrate that the addition of MEA to concrete at different levels results in a decrease in compressive strength, and this reduction becomes more significant with increased MEA content. Notably, the decline in compressive strength at a higher temperature C is less pronounced than that observed in temperatures A and B. This outcome is attributed to the rapid hydration of cement at high temperatures, which offsets the detrimental effects of MEA on the compressive strength of concrete. This suggests that adding a higher amount of MEA could be considered in engineering processes where higher temperatures are involved.
- In comparison to temperature condition A, which exhibits a lower temperature peak value, the use of MEA in concrete mixtures under temperature conditions B and C resulted in significantly greater expansion values. Under temperature condition A, the addition of 6% MEA failed to fully offset early autogenous shrinkage in the concrete. When 6% of MEA was used in mixtures under temperature conditions B and C, significant expansion was observed. While mixtures containing 6%, 8%, and 10% of MEA exhibited minimal differences in expansion values under temperature condition A, there were substantial differences in expansion values observed under temperature conditions B and C for mixtures containing varying amounts of MEA. In previous construction projects, the addition of 8% MEA has been a common approach to mitigate the impact of shrinkage on concrete stability. However, this study suggests that a lower concentration of 6% MEA is sufficient to compensate for the shrinkage in two out of three tested temperature conditions. Therefore, it may be worthwhile to reduce the amount of MEA in order to maintain the stability and strength of concrete.
- MEA hydration is more complete at elevated temperatures, which accounts for the greater expansion of concrete at temperature C compared to temperatures A and B. At temperature A, MEA achieves only 30% hydration, while at temperature B, it achieves more than 60%. The degree of hydration for MEA after 7 days at temperature C is approximately 80%. MEA undergoes rapid hydration at temperatures exceeding 60 °C, and the rate of hydration is not directly proportional to temperature. Furthermore, the enhancing effect of temperature on the hydration of MEA is relatively weak before 60 °C.
- This paper investigated the compressive strength and autogenous deformation of MEA concrete under three temperature conditions. However, the actual temperature rise of mass concrete in engineering applications is diverse. More temperature conditions should be studied. In addition, this study only used one type of MEA, and more types of MEA can be investigated in the future.
Author Contributions
Funding
Institutional Review Board Statement
Informed Consent Statement
Data Availability Statement
Acknowledgments
Conflicts of Interest
References
- Lu, X.; Chen, B.; Tian, B.; Li, Y.; Lv, C.; Xiong, B. A New Method for Hydraulic Mass Concrete Temperature Control: De-sign and Experiment. Constr. Build. Mater. 2021, 302, 124167. [Google Scholar] [CrossRef]
- Zhou, H.; Zhou, Y.; Zhao, C.; Wang, F.; Liang, Z. Feedback Design of Temperature Control Measures for Concrete Dams Based On Real-Time Temperature Monitoring and Construction Process Simulation. KSCE J. Civ. Eng. 2018, 22, 1584–1592. [Google Scholar] [CrossRef]
- Zhang, J. Concrete Science; Harbin Institute of Technology Press: Harbin, China, 2017. [Google Scholar]
- Holt, E. Contribution of Mixture Design to Chemical and Autogenous Shrinkage of Concrete at Early Ages. Cem. Concr. Res. 2005, 35, 464–472. [Google Scholar] [CrossRef]
- Li, Z.; Delsaute, B.; Lu, T.; Kostiuchenko, A.; Staquet, S.; Ye, G. A Comparative Study On the Mechanical Properties, Au-togenous Shrinkage and Cracking Proneness of Alkali-Activated Concrete and Ordinary Portland Cement Concrete. Constr. Build. Mater. 2021, 292, 1–11. [Google Scholar] [CrossRef]
- Lee, K.M.; Lee, H.K.; Lee, S.H.; Kim, G.Y. Autogenous Shrinkage of Concrete Containing Granulated Blast-Furnace Slag. Cem. Concr. Res. 2006, 36, 1279–1285. [Google Scholar] [CrossRef]
- Darquennes, A.; Staquet, S.; Delplancke-Ogletree, M.; Espion, B. Effect of Autogenous Deformation On the Cracking Risk of Slag Cement Concretes. Cem. Concr. Compos. 2011, 33, 368–379. [Google Scholar] [CrossRef]
- Barcelo, L.; Moranville, M.; Clavaud, B. Autogenous Shrinkage of Concrete: A Balance Between Autogenous Swelling and Self-Desiccation. Cem. Concr. Res. 2005, 35, 177–183. [Google Scholar] [CrossRef]
- EI, T. Chemical Shrinkage and Autogenous Shrinkage of Hydrating Cement Paste. Cem. Concr. Res. 1995, 25, 288–292. [Google Scholar]
- Radocea, A. Autogenous Volume Change of Concrete at Very Early Age. Mag. Concr. Res. 1998, 50, 107–113. [Google Scholar] [CrossRef]
- Lepage, S. Early Shrinkage Development in a High Performance Concrete. Cem. Concr. Aggreag. 1999, 21, 31–35. [Google Scholar]
- Gao, P.; Lu, X.; Geng, F.; Li, X.; Hou, J.; Lin, H.; Shi, N. Production of MgO-type Expansive Agent in Dam Concrete by Use of Industrial By-Products. Build. Environ. 2008, 43, 453–457. [Google Scholar] [CrossRef]
- Shen, D.; Liu, C.; Wen, C.; Kang, J.; Li, M.; Jiang, H. Restrained Cracking Failure Behavior of Concrete Containing MgO Compound Expansive Agent Under Adiabatic Condition at Early Age. Cem. Concr. Compos. 2023, 135, 104825. [Google Scholar] [CrossRef]
- Mo, L.; Deng, M.; Tang, M.; Al-Tabbaa, A. MgO Expansive Cement and Concrete in China: Past, Present and Future. Cem. Concr. Res. 2014, 57, 1–12. [Google Scholar] [CrossRef]
- Cao, F.; Miao, M.; Yan, P. Effects of Reactivity of MgO Expansive Agent On its Performance in Cement-Based Materials and an Improvement of the Evaluating Method of MEA Reactivity. Constr. Build. Mater. 2018, 187, 257–266. [Google Scholar] [CrossRef]
- Mo, L.; Deng, M.; Tang, M. Effects of Calcination Condition On Expansion Property of MgO-type Expansive Agent Used in Cement-Based Materials. Cem. Concr. Res. 2010, 40, 437–446. [Google Scholar] [CrossRef]
- Chen, X.; Yang, H.; Li, W. Factors Analysis On Autogenous Volume Deformation of MgO Concrete and Early Thermal Cracking Evaluation. Constr. Build. Mater. 2016, 118, 276–285. [Google Scholar] [CrossRef]
- Ferrini, V.; De Vito, C.; Mignardi, S. Synthesis of Nesquehonite by Reaction of Gaseous CO2 with Mg Chloride Solution: Its Potential Role in the Sequestration of Carbon Dioxide. J. Hazard. Mater. 2009, 168, 832–837. [Google Scholar] [CrossRef]
- Liu, J.P.; Wang, Y.J.; Tian, Q.; Zhang, S.Z. Modeling Hydration Process of Magnesia Based On Nucleation and Growth Theory: The Isothermal Calorimetry Study. Thermochim. Acta 2012, 550, 27–32. [Google Scholar] [CrossRef]
- Li, H.; Tian, Q.; Zhao, H.; Lu, A.; Liu, J. Temperature Sensitivity of MgO Expansive Agent and its Application in Temper-ature Crack Mitigation in Shiplock Mass Concrete. Constr. Build. Mater. 2018, 170, 613–618. [Google Scholar] [CrossRef]
- Sant, G. The Influence of Temperature On Autogenous Volume Changes in Cementitious Materials Containing Shrinkage Reducing Admixtures. Cem. Concr. Compos. 2012, 34, 855–865. [Google Scholar] [CrossRef]
- Al, T.Q.T.Y. Temperature Sensitivity Analysis On Expansion Property of MgO Composite Expansion Agent. Water Power 2010, 36, 49–51. [Google Scholar]
- Liu Jiaping, W.Y. Temperature Sensitivity of Light Calcined Magnesia Expansion Agent and its Mechanism Analysis. J. Southeast Univ. (Nat. Sci. Ed.) 2011, 41, 359–364. [Google Scholar]
- Yang Dongyang, C.H. Effect of MgO Expansive Agent on Shrinkage Performance of Ultra-High Performance Concrete. Bull. Chin. Ceram. Soc. 2022, 41, 3420–3427. [Google Scholar]
- GB/T 50081-2019; Standard for Test Methods of Concrete Physical and Mechanical Properties. Standards Press of China: Beijing, China, 2019.
- GB/T 22314-2008; Plastics—Epoxide Resins—Determination of Viscosity. Standards Press of China: Beijing, China, 2008.
- Gao, P.; Wu, S.; Lu, X.; Deng, M.; Lin, P.; Wu, Z.; Tang, M. Soundness Evaluation of Concrete with MgO. Constr. Build. Mater. 2007, 21, 132–138. [Google Scholar] [CrossRef]
- Li, Y.; Deng, M.; Mo, L.; Tang, M. Strength and Expansive Stresses of Concrete with MgO-type Expansive Agent Under Restrain Conditions. J. Build. Mater. 2012, 15, 446–450. [Google Scholar]
- Wang, L.; Li, G.; Li, X.; Guo, F.; Tang, S.; Lu, X.; Hanif, A. Influence of Reactivity and Dosage of MgO Expansive Agent On Shrinkage and Crack Resistance of Face Slab Concrete. Cem. Concr. Compos. 2022, 126, 104333. [Google Scholar] [CrossRef]
- Zhang, J. Recent Advance of MgO Expansive Agent in Cement and Concrete. J. Build. Eng. 2022, 45, 103633. [Google Scholar] [CrossRef]
- Yin, C.; Zong, W.; Wang, S.; Li, G.; Li, Q.; Lu, L. Effect of MgO On Composition, Structure and Properties of Alite-Calcium Strontium Sulphoalminate Cement. J. Chin. Ceram. Soc. 2011, 39, 20–24. [Google Scholar]
- Yao, F.; Deng, M.; Mo, L. Expanion of Three- Graded Concrete Containing MgO Expansive Agent Cured by 80 °C Steam. Concrete 2012, 08, 34–40. [Google Scholar]
- Mo, L.; Fang, J.; Huang, B.; Wang, A.; Deng, M. Combined Effects of Biochar and MgO Expansive Additive On the Au-togenous Shrinkage, Internal Relative Humidity and Compressive Strength of Cement Pastes. Constr. Build. Mater. 2019, 229, 116877. [Google Scholar] [CrossRef]
- Li, S.; Mo, L.; Deng, M.; Cheng, S. Mitigation On the Autogenous Shrinkage of Ultra-High Performance Concrete Via Using MgO Expansive Agent. Constr. Build. Mater. 2021, 312, 125422. [Google Scholar] [CrossRef]








| Chemical Composition | OPC | FA | SLAG | MEA |
|---|---|---|---|---|
| CaO (%) | 65.32 | 3.8 | 44.06 | 1.88 |
| SiO2 (%) | 18.55 | 44.06 | 42.06 | 4.07 |
| Al2O3 (%) | 3.95 | 42.06 | 3.8 | 0.86 |
| Fe2O3 (%) | 3.41 | 2.91 | 0.57 | 0.57 |
| MgO (%) | 1.01 | 0.4 | 2.91 | 90.45 |
| K2O (%) | 0.72 | 0.49 | 0.49 | / |
| Na2O (%) | 0.18 | / | 0.75 | / |
| SO3 (%) | 2.78 | 0.75 | / | / |
| LOI (%) | 2.88 | 2.48 | 2.28 | 1.53 |
| physical properties | ||||
| specific surface area (m2/g) | 1.24 | 0.973 | 1.46 | 1.28 |
| D50 (μm) | 16.083 | 24.438 | 12.428 | 22.762 |
| Tool A | Tool B | Tool C | |
|---|---|---|---|
| Concrete Vlome/m3 | 0.02 | 0.05 | 0.07 |
| Thickness of insulation layer/cm | 5 | 10 | 15 |
| OPC | FA | Slag | MEA | Fine Aggregate | Coarse Aggregate | Water | ||
|---|---|---|---|---|---|---|---|---|
| 5–10 mm | 10–20 mm | 20–30 mm | ||||||
| 310 | 90 | 40 | 50 | 136 | 220 | 550 | 330 | 157 |
| 320 | 90 | 40 | 40 | 136 | 220 | 550 | 330 | 157 |
| 330 | 90 | 40 | 30 | 136 | 220 | 550 | 330 | 157 |
| 360 | 90 | 40 | 0 | 136 | 220 | 550 | 330 | 157 |
| A 8% | A 10% | B 8% | B 10% | C 8% | C 10% | |||||||
|---|---|---|---|---|---|---|---|---|---|---|---|---|
| 3 d | 7 d | 3 d | 7 d | 3 d | 7 d | 3 d | 7 d | 3 d | 7 d | 3 d | 7 d | |
| Mass loss at 320–400 °C/wt% | 0.84 | 0.89 | 1.07 | 0.87 | 1.25 | 1.80 | 2.06 | 2.01 | 1.68 | 2.23 | 2.09 | 2.25 |
| Mass Mg(OH)2/% | 2.69 | 2.86 | 2.80 | 3.46 | 4.04 | 5.80 | 6.63 | 6.49 | 5.41 | 7.19 | 6.74 | 7.25 |
| H MgO | 30.44 | 32.41 | 31.29 | 38.19 | 44.54 | 65.71 | 67.17 | 74.98 | 74.76 | 84.34 | 79.48 | 84.40 |
Disclaimer/Publisher’s Note: The statements, opinions and data contained in all publications are solely those of the individual author(s) and contributor(s) and not of MDPI and/or the editor(s). MDPI and/or the editor(s) disclaim responsibility for any injury to people or property resulting from any ideas, methods, instructions or products referred to in the content. |
© 2023 by the authors. Licensee MDPI, Basel, Switzerland. This article is an open access article distributed under the terms and conditions of the Creative Commons Attribution (CC BY) license (https://creativecommons.org/licenses/by/4.0/).
Share and Cite
Cao, Z.; Mao, Z.; Gong, J.; Huang, X.; Deng, M. Effect of Working Temperature Conditions on the Autogenous Deformation of High-Performance Concrete Mixed with MgO Expansive Agent. Materials 2023, 16, 3006. https://doi.org/10.3390/ma16083006
Cao Z, Mao Z, Gong J, Huang X, Deng M. Effect of Working Temperature Conditions on the Autogenous Deformation of High-Performance Concrete Mixed with MgO Expansive Agent. Materials. 2023; 16(8):3006. https://doi.org/10.3390/ma16083006
Chicago/Turabian StyleCao, Zhe, Zhongyang Mao, Jiale Gong, Xiaojun Huang, and Min Deng. 2023. "Effect of Working Temperature Conditions on the Autogenous Deformation of High-Performance Concrete Mixed with MgO Expansive Agent" Materials 16, no. 8: 3006. https://doi.org/10.3390/ma16083006
APA StyleCao, Z., Mao, Z., Gong, J., Huang, X., & Deng, M. (2023). Effect of Working Temperature Conditions on the Autogenous Deformation of High-Performance Concrete Mixed with MgO Expansive Agent. Materials, 16(8), 3006. https://doi.org/10.3390/ma16083006
