Investigations on Thermal Conductivity of Two-Phase WC-Co-Ni Cemented Carbides through a Novel Model and Key Experiments
Abstract
1. Introduction
2. Materials and Methods
2.1. The Preparation of Two-Phase WC-Co-Ni Samples
2.2. Measurement of Thermal Conductivity
3. Models
3.1. The Model for (Co, Ni) Binder Phase
3.2. The Model for Two-Phase Composites
4. Results and Discussion
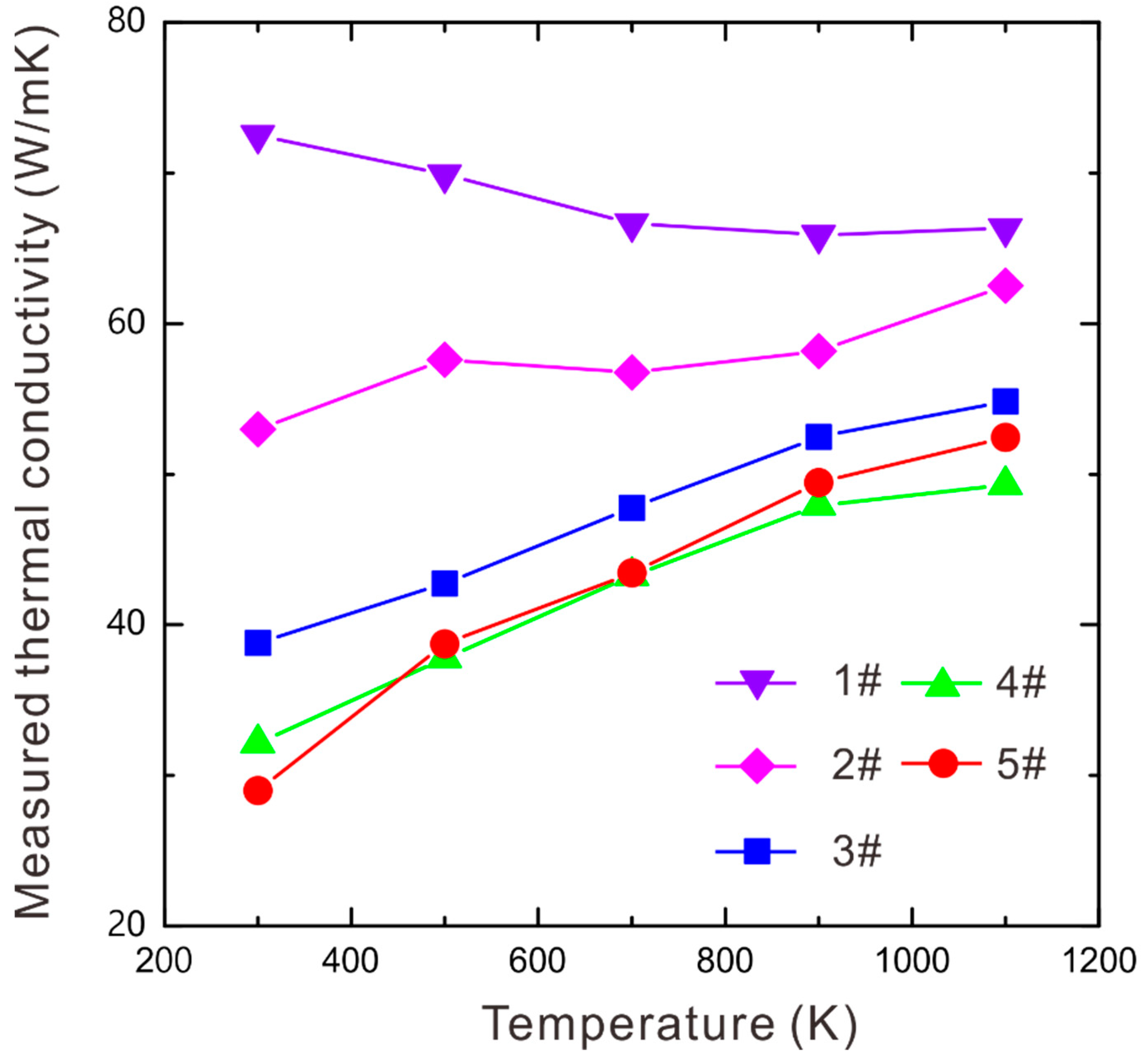
4.1. Experimental Results
4.2. Establishment of Thermal Conductivity Model for Two-Phase WC-Co-Ni System
5. Conclusions
- In total, five WC-Co-Ni samples were prepared based on the thermodynamic calculations and liquid sintering experiments. All the samples were verified to be two-phase WC + fcc (Co, Ni) through XRD and SEM measurements. Additionally, thermal conductivity values of these samples were obtained from the measured thermal diffusivity, heat capacity and density via the LFA method.
- The model for evaluating and predicting thermal conductivity for two-phase WC-Co-Ni was established, and its reliability was validated through key thermal conductivity measurements.
- Using this developed model, the thermal conductivity varying with temperature, phase fraction and WC grain size of two-phase WC-Co-Ni was predicted. It is concluded that thermal conductivity of two-phase WC-Co-Ni increases with the increase in WC composition.
- When WC grains are fine, thermal conductivity of WC-Co-Ni is observed to increase with temperature. However, when WC grains are coarse, thermal conductivity decreases with the increase in temperature.
Author Contributions
Funding
Institutional Review Board Statement
Informed Consent Statement
Data Availability Statement
Conflicts of Interest
References
- Fletcher, E. Cobalt in Cemented Carbides; Centre D’Information Du Cobalt: Brussels, Belgium, 1960; pp. 345–361. [Google Scholar]
- Santhanam, A.T. Application of transition metal carbides and nitrides in industrial tools. In The Chemistry of Transition Metal Carbides and Nitrides; Springer: Dordrecht, Netherlands, 1996; pp. 28–52. [Google Scholar]
- García, J.; Ciprés, V.C.; Blomqvist, A.; Kaplan, B. Cemented carbide microstructures: A review. Int. J. Refract. Met. Hard Mater. 2019, 80, 40–68. [Google Scholar] [CrossRef]
- Ginting, A.; Nouari, M. Experimental and numerical studies on the performance of alloyed carbide tool in dry milling of aerospace material. Int. J. Mach. Tools Manuf. 2006, 46, 758–768. [Google Scholar] [CrossRef]
- Bonache, V.; Salvador, M.; Busquets, D.; Burguete, P.; Martínez, E.; Sapiña, F.; Sánchez, E. Synthesis and processing of nanocrystalline tungsten carbide: Towards cemented carbides with optimal mechanical properties. Int. J. Refract. Met. Hard Mater. 2011, 29, 78–84. [Google Scholar] [CrossRef]
- Cha, S.; Hong, S.H.; Ha, G.H.; Kim, B.K. Microstructure and mechanical properties of nanocrystalline WC-10Co cemented carbides. Scr. Mater. 2001, 44, 1535–1539. [Google Scholar] [CrossRef]
- Correa, E.; Santos, J.; Klein, A. Microstructure and mechanical properties of WC Ni–Si based cemented carbides developed by powder metallurgy. Int. J. Refract. Met. Hard Mater. 2010, 28, 572–575. [Google Scholar] [CrossRef]
- Balbino, N.A.N.; Correa, E.O.; de Carvalho Valeriano, L.; Amâncio, D.A. Microstructure and mechanical properties of 90WC-8Ni-2Mo2C cemented carbide developed by conventional powder metallurgy. Int. J. Refract. Met. Hard Mater. 2017, 68, 49–53. [Google Scholar] [CrossRef]
- Ren, X.; Miao, H.; Peng, Z. A review of cemented carbides for rock drilling: An old but still tough challenge in geo-engineering. Int. J. Refract. Met. Hard Mater. 2013, 39, 61–77. [Google Scholar] [CrossRef]
- Ji, X.; Jian-Gao, Y.; Xing-Hua, G. Application of rare earth elements in cemented carbide inserts, drawing dies and mining tools. Mater. Sci. Eng. A 1996, 209, 287–293. [Google Scholar] [CrossRef]
- Sha, L. Study on rare-earth doped cemented carbides in China. Int. J. Refract. Met. Hard Mater. 2009, 27, 528–534. [Google Scholar] [CrossRef]
- Voitovich, V.B.; Sverdel, V.V.; Voitovich, R.F.; Golovko, E.I. Oxidation of WC-Co, WC-Ni and WC-Co-Ni hard metals in the temperature range 500–800 °C. Int. J Refract. Met. Hard Mater. 1996, 14, 289–295. [Google Scholar] [CrossRef]
- Tokita, M. Development of Square-Shaped Large-Size WC/Co/Ni System FGM Fabricated by Spark Plasma Sintering (SPS) Method and Its Industrial Applications. Mater. Sci. Forum 2005, 492–493, 711–718. [Google Scholar] [CrossRef]
- Panteleev, I.B.; Lukashova, T.V.; Ordan’Yan, S.S. Oxidation resistance and high-temperature strength of WC-Co-Ni-Re(Mn) hard alloys. Sov. Powder Met. Met. Ceram. 2006, 45, 342–345. [Google Scholar] [CrossRef]
- Zhou, P.; Du, Y.; Lengauer, W. Morphology of η phase in cemented carbides with Fe-based binders influenced by carbon content and nitrogen atmosphere. Ceram. Int. 2019, 45, 20774–20779. [Google Scholar] [CrossRef]
- Aristizabal, M.; Rodriguez, N.; Ibarreta, F.; Martinez, R.; Sanchez, J.M. Liquid phase sintering and oxidation resistance of WC-Ni-Co-Cr cemented carbides. Int. J Refract. Met. Hard Mater. 2010, 28, 516–522. [Google Scholar] [CrossRef]
- Aristizabal, M.; Ardila, L.C.; Veiga, F.; Arizmendi, M.; Fernandez, J.; Sanchez, J.M. Comparison of the friction and wear behavior of WC-Ni-Co-Cr and WC-Co hardmetals in contact with steel at high temperatures. Wear 2012, 280–281, 15–21. [Google Scholar] [CrossRef]
- Emanueli, L.; Pellizzaru, M.; Molinari, A.; Castellani, F.; Zinutti, E. Thermal fatigue behavior of WC-20Co and WC-30(CoNiCrFe) cemented carbide. Int. J Refract. Met. Hard Mater. 2016, 60, 118–124. [Google Scholar] [CrossRef]
- Erfanmanesh, M.; Abdollah-Pour, H.; Mohammadian-Semnani, H.; Razavi, R.S. Kinetics and oxidation behavior of laser clad WC-Co and Ni/WC-Co coatings. Ceram. Int. 2018, 44, 12805–12814. [Google Scholar] [CrossRef]
- Tarragó, J.; Ferrari, C.; Reig, B.; Coureaux, D.; Schneider, L.; Llanes, L. Mechanics and mechanisms of fatigue in a WC–Ni hardmetal and a comparative study with respect to WC–Co hardmetals. Int. J. Fatigue 2015, 70, 252–257. [Google Scholar] [CrossRef]
- Tehrani, H.M.; Razavi, R.S.; Erfanmanesh, M.; Hashemi, S.H.; Barekat, M. Evaluation of the mechanical properties of WC-Ni composite coating on an AISI 321 steel substrate. Opt. Laser Technol. 2020, 127, 106138. [Google Scholar] [CrossRef]
- Ghasali, E.; Ebadzadeh, T.; Alizadeh, M.; Razavi, M. Mechanical and microstructural properties of WC-based cermets: A comparative study on the effect of Ni and Mo binder phases. Ceram. Int. 2018, 44, 2283–2291. [Google Scholar] [CrossRef]
- Shon, I.-J.; Jeong, I.-K.; Ko, I.-Y.; Doh, J.-M.; Woo, K.-D. Sintering behavior and mechanical properties of WC–10Co, WC–10Ni and WC–10Fe hard materials produced by high-frequency induction heated sintering. Ceram Int. 2009, 35, 339–344. [Google Scholar] [CrossRef]
- Zhang, K.; Wang, D.; Wang, Z.; Li, Y.; Zhou, Q.; Liu, B.; Wang, Z. Effect of Ni content and maceration metal on the microstructure and properties of WC based diamond composites. Int. J. Refract. Met. Hard Mater. 2020, 88, 105196. [Google Scholar] [CrossRef]
- Cao, H.; Ma, W.; Chen, H.; Wang, Q.; Wang, Y. Core-rim microstructure and properties of WC/Ni composites. Int. J. Refract. Met. Hard Mater. 2018, 78, 170–177. [Google Scholar] [CrossRef]
- Li, M.; Gong, M.; Cheng, Z.; Mo, D.; Wang, L.; Dusza, J.; Zhang, C. Novel WC-Co-Ti3SiC2 cemented carbide with ultrafine WC grains and improved mechanical properties. Ceram. Int. 2022, 48, 22335–22342. [Google Scholar] [CrossRef]
- Guan, Z.; Tian, H.; Li, N.; Long, J.; Zhang, W.; Du, Y. High-accuracy reliability evaluation for the WC–Co-based cemented carbides assisted by machine learning. Ceram. Int. 2023, 49, 613–624. [Google Scholar] [CrossRef]
- Wen, S.; Liu, Y.; Kaptay, G.; Du, Y. A new model to describe composition and temperature dependence of thermal conductivity for solution phases in binary alloys. J. Mater. Sci. Technol. 2020, 59, 72–82. [Google Scholar] [CrossRef]
- Wen, S.; Du, Y.; Tan, J.; Liu, Y.; Zhou, P.; Long, J.; Kaptay, G. A new model for thermal conductivity of “continuous matrix / dispersed and separated 3D-particles” type composite materials and its application to WC-M (M = Co, Ag) systems. J. Mater. Sci. Technol. 2022, 97, 123–133. [Google Scholar] [CrossRef]
- Wen, S.; Du, Y.; Liu, Y.; Tan, J.; Long, J.; Lou, M.; Chang, K.; Qiu, L.; Tan, Z.; Yin, L.; et al. Manipulation of the thermal conductivity for two-phase WC-Ni composites through a microstructure-based model along with key experiments. J. Mater. Res. Technol. 2023, 22, 895–912. [Google Scholar] [CrossRef]
- Casas, B.; Ramis, X.; Anglada, M.; Salla, J.; Llanes, L. Oxidation-induced strength degradation of WC–Co hardmetals. Int. J. Refract. Met. Hard Mater. 2001, 19, 303–309. [Google Scholar] [CrossRef]
- Liu, S. Oxidation behavior of WC-Co cemented carbide in elevated temperature. Mater. Res. Express 2018, 5, 095801. [Google Scholar]
- Shi, X.; Yang, H.; Shao, G.; Duan, X.; Wang, S. Oxidation of ultrafine-cemented carbide prepared from nanocrystalline WC–10Co composite powder. Ceram. Int. 2008, 34, 2043–2049. [Google Scholar] [CrossRef]
- Peng, Y.; Du, Y.; Zhou, P.; Zhang, W.; Chen, W.; Chen, L.; Wang, S.; Wen, G.; Xie, W. CSUTDCC1—A thermodynamic database for multicomponent cemented carbides. Int. J. Refract. Met. Hard Mater. 2013, 42, 57–70. [Google Scholar] [CrossRef]
- Ågren, J. Calculation of phase diagrams: Calphad. Curr. Opin. Solid St. M. 1996, 1, 355–360. [Google Scholar] [CrossRef]
- Sundman, B.; Jansson, B.; Andersson, J.-O. The Thermo-Calc databank system. Calphad 1985, 9, 153–190. [Google Scholar] [CrossRef]
- Parker, W.J.; Jenkins, R.J.; Butler, C.P.; Abbott, G.L. Flash Method of Determining Thermal Diffusivity, Heat Capacity, and Thermal Conductivity. J. Appl. Phys. 1961, 32, 1679–1684. [Google Scholar] [CrossRef]
- Vornberger, A.; Pötschke, J.; Gestrich, T.; Herrmann, M.; Michaelis, A. Influence of microstructure on hardness and thermal conductivity of hardmetals. Int. J. Refract. Met. Hard Mater. 2019, 88, 105170. [Google Scholar] [CrossRef]









| Sample | fWC | Temperature (K) | WC Grain Size (μm) | Thermal Conductivity (W/mK) | |
|---|---|---|---|---|---|
| LFA-Measured | Model-Evaluated | ||||
| 1# WC-30wt.%(Co, Ni) a | 0.56973 | 300 | 6.0 | 72.515 | 53.794 |
| 0.56973 | 500 | 6.0 | 69.899 | 64.530 | |
| 0.56973 | 700 | 6.0 | 66.676 | 64.524 | |
| 0.56973 | 900 | 6.0 | 65.871 | 63.484 | |
| 0.56973 | 1100 | 6.0 | 66.324 | 60.242 | |
| 2# WC-40wt.%(Co, Ni) a | 0.45982 | 300 | 6.0 | 52.979 | 57.824 |
| 0.45982 | 500 | 6.0 | 57.581 | 63.253 | |
| 0.45982 | 700 | 6.0 | 56.748 | 60.981 | |
| 0.45982 | 900 | 6.0 | 58.184 | 58.473 | |
| 0.45982 | 1100 | 6.0 | 62.530 | 54.936 | |
| 3# WC-30wt.%(Co, Ni) a | 0.56973 | 300 | 1.5 | 38.790 | 29.178 |
| 0.56973 | 500 | 1.5 | 42.752 | 38.457 | |
| 0.56973 | 700 | 1.5 | 47.752 | 45.281 | |
| 0.56973 | 900 | 1.5 | 52.488 | 54.226 | |
| 0.56973 | 1100 | 1.5 | 54.841 | 58.938 | |
| 4# WC-40wt.%(Co, Ni) a | 0.45982 | 300 | 1.5 | 32.133 | 35.284 |
| 0.45982 | 500 | 1.5 | 37.791 | 42.427 | |
| 0.45982 | 700 | 1.5 | 43.230 | 46.866 | |
| 0.45982 | 900 | 1.5 | 47.916 | 52.249 | |
| 0.45982 | 1100 | 1.5 | 49.291 | 54.106 | |
| 5# WC-40wt.%(Co, Ni) b | 0.46015 | 300 | 1.5 | 28.980 | 35.196 |
| 0.46015 | 500 | 1.5 | 38.735 | 42.374 | |
| 0.46015 | 700 | 1.5 | 43.441 | 46.765 | |
| 0.46015 | 900 | 1.5 | 49.454 | 52.195 | |
| 0.46015 | 1100 | 1.5 | 52.457 | 56.031 | |
| Parameter | T, K | Equation | Reference |
|---|---|---|---|
| kWC, W/mK | 300–1100 | [29] | |
| kNi, W/mK | 300–627 | [28] | |
| kNi, W/mK | 627–1100 | [28] | |
| kCo, W/mK | 300–695 | [28] | |
| kCo, W/mK | 695–1100 | [28] | |
| (mK/W) | 300–1100 | 0.013 | [28] |
| (mK/W) | 300–1100 | −0.0055 | [28] |
| (mK/W) | 300–1100 | 0.038 | [28] |
| R(Co,Ni)/WC, m2K/W | 300–1100 | This work |
Disclaimer/Publisher’s Note: The statements, opinions and data contained in all publications are solely those of the individual author(s) and contributor(s) and not of MDPI and/or the editor(s). MDPI and/or the editor(s) disclaim responsibility for any injury to people or property resulting from any ideas, methods, instructions or products referred to in the content. |
© 2023 by the authors. Licensee MDPI, Basel, Switzerland. This article is an open access article distributed under the terms and conditions of the Creative Commons Attribution (CC BY) license (https://creativecommons.org/licenses/by/4.0/).
Share and Cite
Wen, S.; Tan, J.; Long, J.; Tan, Z.; Yin, L.; Liu, Y.; Du, Y.; Kaptay, G. Investigations on Thermal Conductivity of Two-Phase WC-Co-Ni Cemented Carbides through a Novel Model and Key Experiments. Materials 2023, 16, 2915. https://doi.org/10.3390/ma16072915
Wen S, Tan J, Long J, Tan Z, Yin L, Liu Y, Du Y, Kaptay G. Investigations on Thermal Conductivity of Two-Phase WC-Co-Ni Cemented Carbides through a Novel Model and Key Experiments. Materials. 2023; 16(7):2915. https://doi.org/10.3390/ma16072915
Chicago/Turabian StyleWen, Shiyi, Jing Tan, Jianzhan Long, Zhuopeng Tan, Lei Yin, Yuling Liu, Yong Du, and George Kaptay. 2023. "Investigations on Thermal Conductivity of Two-Phase WC-Co-Ni Cemented Carbides through a Novel Model and Key Experiments" Materials 16, no. 7: 2915. https://doi.org/10.3390/ma16072915
APA StyleWen, S., Tan, J., Long, J., Tan, Z., Yin, L., Liu, Y., Du, Y., & Kaptay, G. (2023). Investigations on Thermal Conductivity of Two-Phase WC-Co-Ni Cemented Carbides through a Novel Model and Key Experiments. Materials, 16(7), 2915. https://doi.org/10.3390/ma16072915

