Mechanical Performance and Chloride Penetration of Calcium Sulfoaluminate Concrete in Marine Tidal Zone
Abstract
1. Introduction
2. Experimental Procedure
2.1. Materials
2.2. Sample Preparation
2.3. Marine Environment
2.4. Methodologies
2.4.1. Compression Test
2.4.2. Rapid Chloride Permeability Test
2.4.3. Pore Structure Test
2.4.4. X-ray Diffraction (XRD) and Thermogravimetric Analysis (TGA)
3. Results
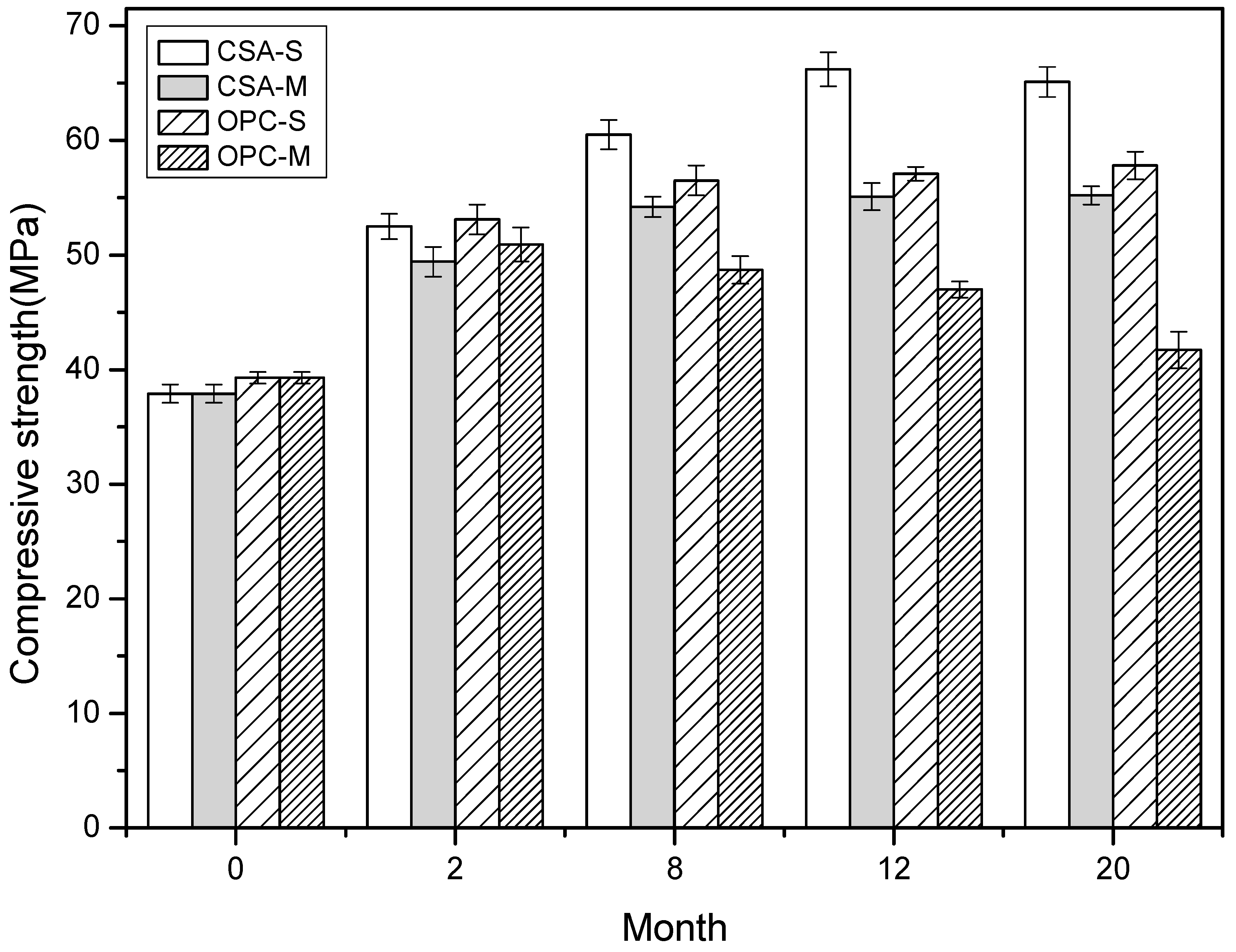
3.1. Compressive Strength
3.2. Pore Structure
3.3. Chloride Content
3.4. XRD
3.5. TGA
4. Discussion
5. Conclusions
- The compressive strength of CSA concrete and OPC concrete is susceptible to degradation under the marine drying–wetting cycles. However, it is notable that the compressive strength of CSA concrete exhibits greater stability under prolonged marine drying–wetting cycles;
- The corrosion mechanism of seawater on the two types of concrete varies under the influence of the marine drying–wetting cycles. OPC concrete is vulnerable to expansion and cracking due to the production of ettringite or Friedel’s salt resulting from the reaction of ions in seawater and its hydration products. On the other hand, in CSA concrete, carbonization and low alkalinity result in the decomposition of ettringite, which then reacts with seawater ions to generate ettringite suitable for its strength development;
- The penetration mechanism of chloride in the two types of concrete is distinct under the influence of marine drying–wetting cycles. The capillary absorption on the surface of CSA concrete is more pronounced, leading to chloride accumulation, while the interior remains relatively dry, resulting in slower chloride ion diffusion. Additionally, there is no convection zone in CSA concrete.
Author Contributions
Funding
Data Availability Statement
Acknowledgments
Conflicts of Interest
References
- Bertola, F.; Gastaldi, D.; Irico, S.; Paul, G.; Canonico, F. Behavior of blends of CSA and Portland cements in high chloride environment. Constr. Build. Mater. 2020, 262, 120852. [Google Scholar] [CrossRef]
- Zhang, J.; Li, G.; Ye, W.; Chang, Y.; Liu, Q.; Song, Z. Effects of ordinary Portland cement on the early properties and hydration of calcium sulfoaluminate cement. Constr. Build. Mater. 2018, 186, 1144–1153. [Google Scholar] [CrossRef]
- Hanein, T.; Galvez-Martos, J.-L.; Bannerman, M.N. Carbon footprint of calcium sulfoaluminate clinker production. J. Clean. Prod. 2018, 172, 2278–2287. [Google Scholar] [CrossRef]
- Juenger, M.C.G.; Winnefeld, F.; Provis, J.L.; Ideker, J.H. Advances in alternative cementitious binders. Cem. Concr. Res. 2011, 41, 1232–1243. [Google Scholar] [CrossRef]
- Tao, Y.; Rahul, A.V.; Mohan, M.K.; De Schutter, G.; Van Tittelboom, K. Recent progress and technical challenges in using calcium sulfoaluminate (CSA) cement. Cem. Concr. Compos. 2023, 137, 104908. [Google Scholar] [CrossRef]
- Gartner, E. Industrially interesting approaches to “low-CO2” cements. Cem. Concr. Res. 2004, 34, 1489–1498. [Google Scholar] [CrossRef]
- Telesca, A.; Marroccoli, M.; Pace, M.L.; Tomasulo, M.; Valenti, G.L.; Monteiro, P.J.M. A hydration study of various calcium sulfoaluminate cements. Cem. Concr. Compos. 2014, 53, 224–232. [Google Scholar] [CrossRef]
- Trauchessec, R.; Mechling, J.M.; Lecomte, A.; Roux, A.; Le Rolland, B. Hydration of ordinary Portland cement and calcium sulfoaluminate cement blends. Cem. Concr. Compos. 2015, 56, 106–114. [Google Scholar] [CrossRef]
- Winnefeld, F.; Lothenbach, B. Hydration of calcium sulfoaluminate cements—Experimental findings and thermodynamic modelling. Cem. Concr. Res. 2010, 40, 1239–1247. [Google Scholar] [CrossRef]
- Martin, L.H.J.; Winnefeld, F.; Müller, C.J.; Lothenbach, B. Contribution of limestone to the hydration of calcium sulfoaluminate cement. Cem. Concr. Compos. 2015, 62, 204–211. [Google Scholar] [CrossRef]
- Zhang, L.; Glasser, F.P. Hydration of calcium sulfoaluminate cement at less than 24 h. Adv. Cem. Res. 2002, 14, 141–155. [Google Scholar] [CrossRef]
- Odler, I. Special Inorganic Cements; Modern Concrete Technology Series 8, (E&FN Spon); Taylor and Francis Group: Abingdon, UK, 2000. [Google Scholar]
- Beretka, J.; Marroccoli, M.; Sherman, N.; Valenti, G.J.C. The influence of C4A3S content and WS ratio on the performance of calcium sulfoaluminate-based cements. Cem. Concr. Res. 1996, 26, 1673–1681. [Google Scholar] [CrossRef]
- Qu, F.; Li, W.; Dong, W.; Tam, V.W.Y.; Yu, T. Durability deterioration of concrete under marine environment from material to structure: A critical review. J. Build. Eng. 2021, 35, 102074. [Google Scholar] [CrossRef]
- de Medeiros-Junior, R.A.; de Lima, M.G.; de Brito, P.C.; de Medeiros, M.H.F. Chloride penetration into concrete in an offshore platform-analysis of exposure conditions. Ocean Eng. 2015, 103, 78–87. [Google Scholar] [CrossRef]
- Islam, M.M.; Islam, M.S.; Al-Amin, M.; Islam, M.M. Suitability of sea water on curing and compressive strength of structural concrete. J. Civ. Eng. 2012, 40, 37–45. [Google Scholar]
- Ragab, A.M.; Elgammal, M.A.; Hodhod, O.A.; Ahmed, T.E.J.C. Evaluation of field concrete deterioration under real conditions of seawater attack. Constr. Build. Mater. 2016, 119, 130–144. [Google Scholar] [CrossRef]
- el Mahdi Safhi, A.; Benzerzour, M.; Rivard, P.; Abriak, N.-E.; Ennahal, I.J.J. Development of self-compacting mortars based on treated marine sediments. J. Build. Eng. 2019, 22, 252–261. [Google Scholar] [CrossRef]
- Santhanam, M.; Otieno, M. 5—Deterioration of Concrete in the Marine Environment. In Marine Concrete Structures; Alexander, M.G., Ed.; Woodhead Publishing: Sawston, UK, 2016; pp. 137–149. [Google Scholar]
- Hong, S.I.; Ann, K.Y. Numerical prediction of chloride penetration in concrete exposed to a marine environment at tide. Adv. Mater. Sci. Eng. 2018, 2018, 7591576. [Google Scholar] [CrossRef]
- de Bruyn, K.; Bescher, E.; Ramseyer, C.; Hong, S.; Kang, T.H.-K. Pore structure of calcium sulfoaluminate paste and durability of concrete in freeze–thaw environment. Int. J. Concr. Struct. Mater. 2017, 11, 59–68. [Google Scholar] [CrossRef]
- Moffatt, E.G.; Thomas, M.D. Durability of rapid-strength concrete produced with ettringite-based binders. ACI Mater. J. 2018, 115, 105–115. [Google Scholar] [CrossRef]
- Quillin, K. Performance of belite–sulfoaluminate cements. Cem. Concr. Res 2001, 31, 1341–1349. [Google Scholar] [CrossRef]
- Zhao, J.; Cai, G.; Gao, D.; Zhao, S. Influences of freeze–thaw cycle and curing time on chloride ion penetration resistance of Sulphoaluminate cement concrete. Constr. Build. Mater. 2014, 53, 305–311. [Google Scholar] [CrossRef]
- Glasser, F.P.; Zhang, L. High-performance cement matrices based on calcium sulfoaluminate–belite compositions. Cem. Concr. Res. 2001, 31, 1881–1886. [Google Scholar] [CrossRef]
- Tan, B.; Okoronkwo, M.U.; Kumar, A.; Ma, H. Durability of calcium sulfoaluminate cement concrete. J. Zhejiang Univ. Sci. A 2020, 21, 118–128. [Google Scholar] [CrossRef]
- Xu, S.; Guo, S.; He, Q.; Ji, J.; Fan, H. Wind Energy Resource Evaluation of Zhairuoshan Island in Zhoushan. Ocean. Dev. Manag. 2014, 31, 40–44. [Google Scholar]
- Huang, C.; Lu, X.; Bian, G.; Huang, X.; Guan, M.; Zhai, G.; Huang, M. Precise Processing on the Irregularly Drift of the Zero Point of the Medium-Short Tide Gauge. Geomat. Inf. Sci. Wuhan Univ. 2018, 43, 1673–1680. [Google Scholar]
- Li, W.; Wang, Y. The Characteristics of Tidal Current near the Southern Coast of Zhoushan Island. Ocean. Dev. Manag. 2019, 36, 64–68. [Google Scholar]
- Dong, H.; Wang, W. Analysis of Tidal Characteristics of Long-term Tide Gauge Station in Zhoushan Port Area. Navigation 2020, 3, 32–34. [Google Scholar]
- Zhang, L.; Glasser, F.P. Investigation of the microstructure and carbonation of CS−A-based concretes removed from service. Cem. Concr. Res. 2005, 35, 2252–2260. [Google Scholar] [CrossRef]
- Kumar, R.; Bhattacharjee, B. Porosity, pore size distribution and in situ strength of concrete. Cem. Concr. Res. 2003, 33, 155–164. [Google Scholar] [CrossRef]
- Zheng, D.-D.; Ji, T.; Wang, C.-Q.; Sun, C.-J.; Lin, X.-J.; Hossain, K.M.A. Effect of the combination of fly ash and silica fume on water resistance of Magnesium–Potassium Phosphate Cement. Constr. Build. Mater. 2016, 106, 415–421. [Google Scholar] [CrossRef]
- Wan, Q.; Zhang, Y.; Zhang, R. The effect of pore behavior and gel structure on the mechanical property at different initial water content. Constr. Build. Mater. 2021, 309, 125146. [Google Scholar] [CrossRef]
- Carsana, M.; Canonico, F.; Bertolini, L. Corrosion resistance of steel embedded in sulfoaluminate-based binders. Cem. Concr. Compos. 2018, 88, 211–219. [Google Scholar] [CrossRef]
- Wang, X.; Pan, Z.; Shen, X.; Liu, W.J.C. Stability and decomposition mechanism of ettringite in presence of ammonium sulfate solution. Constr. Build. Mater. 2016, 124, 786–793. [Google Scholar] [CrossRef]
- Cai, R.; Hu, Y.; Yu, M.; Liao, W.; Yang, L.; Kumar, A.; Ma, H.J.C. Skin effect of chloride ingress in marine concrete: A review on the convection zone. Constr. Build. Mater. 2020, 262, 120566. [Google Scholar] [CrossRef]
- Li, P.; Gao, X.; Wang, K.; Tam, V.W.; Li, W. Hydration mechanism and early frost resistance of calcium sulfoaluminate cement concrete. Constr. Build. Mater. 2020, 239, 117862. [Google Scholar] [CrossRef]
- Gastaldi, D.; Bertola, F.; Canonico, F.; Buzzi, L.; Mutke, S.; Irico, S.; Paul, G.; Marchese, L.; Boccaleri, E. A chemical/mineralogical investigation of the behavior of sulfoaluminate binders submitted to accelerated carbonation. Cem. Concr. Res. 2018, 109, 30–41. [Google Scholar] [CrossRef]
- Tang, X.; Xu, Q.; Qian, K.; Ruan, S.; Lian, S.; Zhan, S. Effects of cyclic seawater exposure on the mechanical performance and chloride penetration of calcium sulfoaluminate concrete. Constr. Build. Mater. 2021, 303, 124139. [Google Scholar] [CrossRef]
- Xu, Q.; Ji, T.; Yang, Z.; Ye, Y. Preliminary investigation of artificial reef concrete with sulphoaluminate cement, marine sand and sea water. Constr. Build. Mater. 2019, 211, 837–846. [Google Scholar] [CrossRef]
- Sun, D.; Cao, Z.; Huang, C.; Wu, K.; De Schutter, G.; Zhang, L. Degradation of concrete in marine environment under coupled chloride and sulfate attack: A numerical and experimental study. Case Stud. Constr. Mat. 2022, 17, e01218. [Google Scholar] [CrossRef]
- Geng, J.; Easterbrook, D.; Li, L.-Y.; Mo, L.-W. The stability of bound chlorides in cement paste with sulfate attack. Cem. Concr. Res. 2015, 68, 211–222. [Google Scholar] [CrossRef]
- Suryavanshi, A.K.; Swamy, R.N. Stability of Friedel’s salt in carbonated concrete structural elements. Cem. Concr. Res. 1996, 26, 729–741. [Google Scholar] [CrossRef]







| CaO | Al2O3 | Fe2O3 | SiO2 | MgO | SO3 | Na2O | K2O | Loss | |
|---|---|---|---|---|---|---|---|---|---|
| CSA | 44.87 | 25.02 | 3.09 | 9.44 | 3.03 | 12.07 | 0.10 | 0.28 | 1.46 |
| OPC | 58.51 | 5.38 | 4.17 | 22.39 | 4.02 | 1.53 | 0.26 | 0.39 | 1.37 |
| Cements | w/c | Water | Cement | Sand | Stone | Superplaticizer | Retarder |
|---|---|---|---|---|---|---|---|
| CSA | 0.55 | 169.5 | 308.0 | 807.5 | 1115.0 | 0.616 | 0.616 |
| OPC | 0.55 | 169.5 | 308.0 | 807.5 | 1115.0 | 0.616 | - |
| Climate | Subtropical Monsoon Climate |
|---|---|
| The highest altitude | 215 m |
| Annual mean temperature | 16 °C |
| Annual mean humidity | 80.3% |
| Mean temperature of water | 17.4 °C |
| Dissolved oxygen concentrations | 7.7 mg/L |
| Salinity | 2.5% |
| pH | 8.1 |
| Tide type | Irregular semi-diurnal tide |
| Ion Type | K+ | Ca2+ | Na+ | Mg2+ | Cl− | SO4− | Br− | F− |
|---|---|---|---|---|---|---|---|---|
| Content (g/L) | 0.519 | 0.073 | 7.957 | 0.856 | 13.600 | 1.980 | 0.011 | 0.007 |
| 2θ = 9.1° (Ettringite) | 2θ = 11.2° (Friedel’s Salt) | 2θ = 11.7° (Gypsum) | ||||
|---|---|---|---|---|---|---|
| Peak Intensity | FwHM | Peak Intensity | FwHM | Peak Intensity | FwHM | |
| 2mon-S | 480 | 0.253 | - | - | - | - |
| 2mon-M | 415 | 0.354 | - | - | 209 | 0.345 |
| 4mon-M | 95 | 0.327 | - | - | 151 | 0.172 |
| 12mon-M | 341 | 0.304 | 154 | 0.516 | - | - |
| 20mon-M | 460 | 0.250 | 57 | 0.326 | - | - |
| Mass Loss (wt.%) | |||||
|---|---|---|---|---|---|
| Ettringite (80–110 °C) | AFm (130–140 °C) | AH3 (220–270 °C) | Friedel’s Salt (300–380 °C) | Calcite (600–700 °C) | |
| 2mon-S | 2.05 | 0.13 | 0.65 | 0.40 | 1.15 |
| 2mon-M | 0.87 | 0.16 | 0.63 | 0.41 | 1.60 |
| 4mon-M | 0.51 | 0.19 | 0.71 | 0.49 | 1.95 |
| 12mon-M | 0.96 | 0.14 | 0.69 | 0.87 | 1.85 |
| 20mon-M | 1.45 | 0.13 | 0.61 | 0.61 | 1.41 |
Disclaimer/Publisher’s Note: The statements, opinions and data contained in all publications are solely those of the individual author(s) and contributor(s) and not of MDPI and/or the editor(s). MDPI and/or the editor(s) disclaim responsibility for any injury to people or property resulting from any ideas, methods, instructions or products referred to in the content. |
© 2023 by the authors. Licensee MDPI, Basel, Switzerland. This article is an open access article distributed under the terms and conditions of the Creative Commons Attribution (CC BY) license (https://creativecommons.org/licenses/by/4.0/).
Share and Cite
Tang, X.; Zhan, S.; Xu, Q.; He, K. Mechanical Performance and Chloride Penetration of Calcium Sulfoaluminate Concrete in Marine Tidal Zone. Materials 2023, 16, 2905. https://doi.org/10.3390/ma16072905
Tang X, Zhan S, Xu Q, He K. Mechanical Performance and Chloride Penetration of Calcium Sulfoaluminate Concrete in Marine Tidal Zone. Materials. 2023; 16(7):2905. https://doi.org/10.3390/ma16072905
Chicago/Turabian StyleTang, Xudong, Shulin Zhan, Qiang Xu, and Kui He. 2023. "Mechanical Performance and Chloride Penetration of Calcium Sulfoaluminate Concrete in Marine Tidal Zone" Materials 16, no. 7: 2905. https://doi.org/10.3390/ma16072905
APA StyleTang, X., Zhan, S., Xu, Q., & He, K. (2023). Mechanical Performance and Chloride Penetration of Calcium Sulfoaluminate Concrete in Marine Tidal Zone. Materials, 16(7), 2905. https://doi.org/10.3390/ma16072905

