Abstract
Mixed-valent Ba2Mn2+Mn23+(SeO3)6 crystallizes in a monoclinic P21/c structure and has honeycomb layers of Mn3+ ions alternating with triangular layers of Mn2+ ions. We established the key parameters governing its magnetic structure by magnetization M and specific heat Cp measurements. The title compound exhibits a close succession of a short-range correlation order at Tcorr = 10.1 ± 0.1 K and a long-range Néel order at TN = 5.7 ± 0.1 K, and exhibits a metamagnetic phase transition at T < TN with hysteresis most pronounced at low temperatures. The causes for these observations were found using the spin exchange parameters evaluated by density functional theory calculations. The title compound represents a unique case in which uniform chains of integer spin Mn3+ (S = 2) ions interact with those of half-integer spin Mn2+ (S = 5/2) ions.
1. Introduction
Compounds of transition metal magnetic ions exhibit a wide range of phenomena, which are commonly grouped in terms of their spin values: quantum magnetism for systems of small spins and classical magnetism for systems of large spins. In both groups, the ground state that a magnetic compound reaches at low temperatures is governed largely by the dimensionality of its spin exchange interactions and also by the degree of geometrical spin frustration (hereafter, spin frustration) [1]. It quickly becomes complicated to analyze the properties of a magnetic system with magnetic ions of two (or more) different oxidation states and two (or more) different values of spins in terms of these two factors unless the relative values of its various spin exchanges are known. These days, it has become almost routine to determine the values of spin exchanges for any complex magnetic system by performing energy mapping analysis [2,3,4]. This method employs a number of broken-symmetry spin states of a given magnetic system, then evaluates their energies using a spin Hamiltonian made up of the spin exchanges, in addition using density functional theory (DFT) calculations and finally maps the relative energies of the broken-symmetry states from the spin Hamiltonian to those of the DFT calculations. In other words, this method relates the energy spectrum of a model Hamiltonian to that of an electronic Hamiltonian using a set of broken-symmetry states. Over the years, the energy mapping analysis has led to correct spin lattice models with which to understand the properties of numerous magnetic materials.
Among low-dimensional mixed-valent compounds of small spin, LiCu2O2 attracts attention as a type-II multiferroic since the formation of the long-range spiral magnetic order is accompanied by the emergence of ferroelectricity [5,6]. Another low-spin mixed-valent compound is NaV2O5 which undergoes a charge ordering transition, which gives rise to a spin gap in the magnetic excitation spectrum [7]. Among low-dimensional mixed-valent compounds of large spin, manganese-based systems are most extensively studied. Two magnetic orderings and a spin–flop transition were observed in the mixed-valent compound Mn3O(SeO3)3, the magnetic ion arrangement of which shows the intersection of octa-kagomé spin sublattices and staircase-kagomé spin sublattices [8]. The hollandite-type compound, Ba1.2Mn8O16, undergoes a magnetic transition at 40 K, which is significantly lower than the Weiss temperature of −385 K, a characteristic feature of high spin frustration. Strong spin frustration usually results from triangular arrangements of magnetic ions with antiferromagnetic spin exchange for each edge and/or competing ferromagnetic and antiferromagnetic interactions [9].
In the present work, we examine how to understand the magnetic properties of the mixed-valent manganese compound Ba2Mn2+Mn3+2(SeO3)6 [10]. In general, spin exchanges between transition-metal magnetic ions M forming MLn polyhedra with surrounding main-group ligands L are classified into M-L-M and M-L…L-M types [2,3,4], and the latter are further differentiated depending on whether or not the L…L bridge is coordinated by a metal cation Am+ to form L… Am+…L. In cases when a metal cation is present, the M-L…Am+…L-M exchanges are further differentiated by whether or not the Am+ cation is a d0 transition-metal cation or a main-group cation. The spin exchanges involving a main-group cation are almost impossible to predict using simple qualitative arguments, especially when this cation makes strong covalent bonds with the ligand to form a molecular anion, e.g., a P2S64− anion in MPS3 (M = Mn, Fe, Co, Ni) [11]. Such is the case for the SeO32− anion of Ba2Mn3(SeO3)6. As will be described below, the spin exchanges of Ba2Mn3(SeO3)6 are all of the Mn-O…Se4+…O-Mn type; that is, none involves the Mn-O-Mn type so that the Mn3+ and Mn2+ ions of Ba2Mn3(SeO3)6 do not generate double exchanges [12]. The Mn2+ ions of Ba2Mn3(SeO3)6 form chains, with the Mn3+ ions in the same direction. Between these chains, triangular arrangements of the magnetic ions such as (Mn2+, Mn2+, Mn3+) and (Mn2+, Mn3+, Mn3+) occur in all three directions, so one might consider the presence of strong spin frustration and exhibit magnetic properties expected for a low-dimensional antiferromagnetic material. To interpret these seemingly puzzling aspects of Ba2Mn3(SeO3)6, we determine its spin exchanges using the energy-mapping analysis to find the cause for its low-dimension antiferromagnetic behavior.
2. Materials and Methods
Mixed-valent Ba2Mn2+Mn23+(SeO3)6 was synthesized by a hydrothermal reaction of BaCO3 (2 mmol), MnCl2∙4H2O (1 mmol) and H2SeO3 (3 mmol) as precursors with 1.5 mL of 65% HNO3 and 3 mL of water added. The mixture was placed into a Teflon chamber of a steel autoclave (10 mL) after the degassing was finished. The autoclave then was placed into the furnace, where the temperature was raised to 200 °C for 1 week. After this, the brown powder of Ba2Mn3(SeO3)6 was rinsed with water to wash out the contaminants. The obtained powder sample was found to crystallize in the monoclinic P21/c space group with a = 5.4717(3) Å, b = 9.0636(4) Å, c = 17.6586(9) Å, β = 94.519(1), V = 873.03(8) Å3, Z = 2 in agreement with the original solution [10] and its powder XRD pattern (BRUKER D8 Advance diffractometer Cu Kα, λ = 1.54056, 1.54439 Å, LYNXEYE detector) is shown in Figure 1.
Figure 1.
Diffraction pattern obtained for powder samples of Ba2Mn3(SeO3)6. The red lines are shown as the reference for peak positions and indexing (some of the indexes were omitted due to high density of peaks).
As depicted in Figure 2a, the structure is composed of MnO6 octahedra interlinked with SeO3 pyramids. The Mn1O6 octahedra of Mn2+ (S = 5/2) ions form trigonal layers, and Mn2O6 octahedra of Mn3+ (S = 2) ions form honeycomb layers, as shown in Figure 2b,c.
Figure 2.
(a) The crystal structure of Ba2Mn3(SeO3)6, where the Mn1 and Mn2 atoms are represented by cyan and violet spheres, respectively, and the Ba and Se atoms by large and small green spheres, respectively. The Mn2O6 octahedra encircled by dashed ellipses have no interlinking by a SeO3 pyramid. (b) The arrangements of the Mn1 and Mn2 atoms in Ba2Mn3(SeO3)6. (c) One hexagonal prism of Mn3+ ions containing one chain of Mn2+ ions. The number 1 refers to the spin exchange J1 of the chain of Mn2+ ions, while 2 and 3 refer, respectively, to spin exchanges J2 and J3 of the hexagonal prism of Mn3+ ions (see below).
Physical properties of Ba2Mn3(SeO3)6 were characterized by measuring the magnetization M and the specific heat Cp on ceramic samples (well-pressed pellets of 3 mm in diameter and 1 mm in thickness) using various options of “Quantum Design” Physical Properties Measurements System PPMS—9 T taken in the range 2–300 K under magnetic field µ0H up to 9 T.
3. Results
3.1. Magnetic Susceptibility
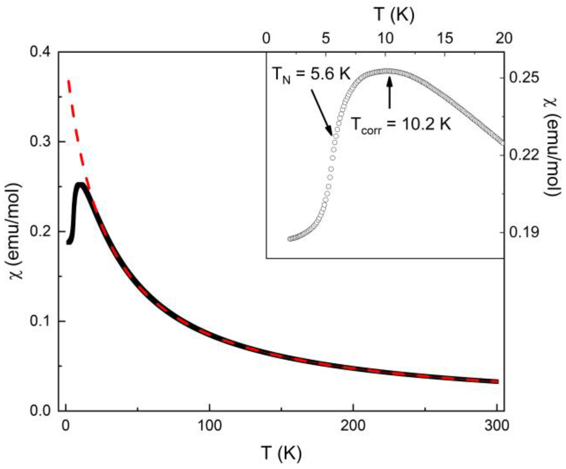
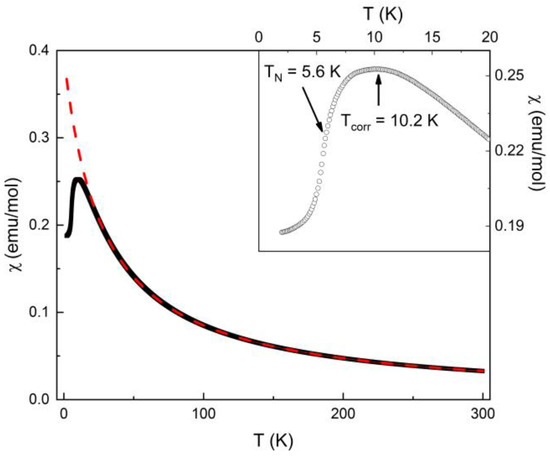
The magnetic susceptibility χ = M/H of Ba2Mn3(SeO3)6 taken at µ0H = 0.1 T in the field-cooled regime is shown in Figure 3. In the high-temperature region, it follows the Curie–Weiss law:
with the temperature-independent term = −7.6 × 10−4 emu/mol, the Curie constant C = 10.98 emu K/mol and the Weiss temperature Θ = −27.8 K. The value of exceeds the sum of the Pascal constants of ions and groups constituting the title compound = −3.5 × 10−4 emu/mol [13]. This should be attributed to the effect of sample holder. The value of C somewhat exceeds the value Ccalc = 10.375 emu K/mol expected under the assumption of g-factor, g = 2, for both the Mn2+ and Mn3+ ions. Use of g = 2 is reasonable for Mn2+ (S = 5/2) ions with no orbital-moment contribution, but it underestimates the g-factor for Mn3+ ions (S = 2). The negative value of the Weiss temperature Θ points to the predominance of antiferromagnetic exchange interactions at elevated temperatures. Its absolute value can be influenced by the competition of ferromagnetic and antiferromagnetic exchange interactions.
Figure 3.
Temperature-dependent magnetic susceptibility χ of Ba2Mn3(SeO3)6 taken at µ0H = 0.1 T in the field-cooled regime. The dashed line represents the extrapolation of the Curie–Weiss fit. The inset shows a zoomed-in view of the low temperature region of the χ(T) curve.
On lowering the temperature, the χ(T) curve passes through a broad maximum at Tcorr = 10.2 K and shows a kink at TN = 5.6 K, which is more pronounced in the Fisher’s specific heat d(χT)/dT (not shown). This broad maximum is typically found for a quasi-one-dimensional (1D) antiferromagnetic chain system; hence, suggesting that Ba2Mn3(SeO3)6 has a 1D-like antiferromagnetic subsystem. The kink at a lower temperature shows that Ba2Mn3(SeO3)6 undergoes a long-range antiferromagnetic order. The drop of magnetic susceptibility χ below its largest value at Tcorr is less than one-third of that expected for a three-dimensional easy-axis antiferromagnet [14]. The absence of a so-called Curie tail at lowest temperatures signals the high chemical purity of the sample.
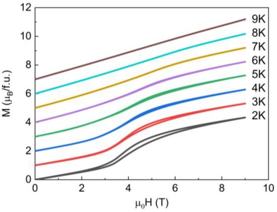
3.2. Field Dependence of Magnetization
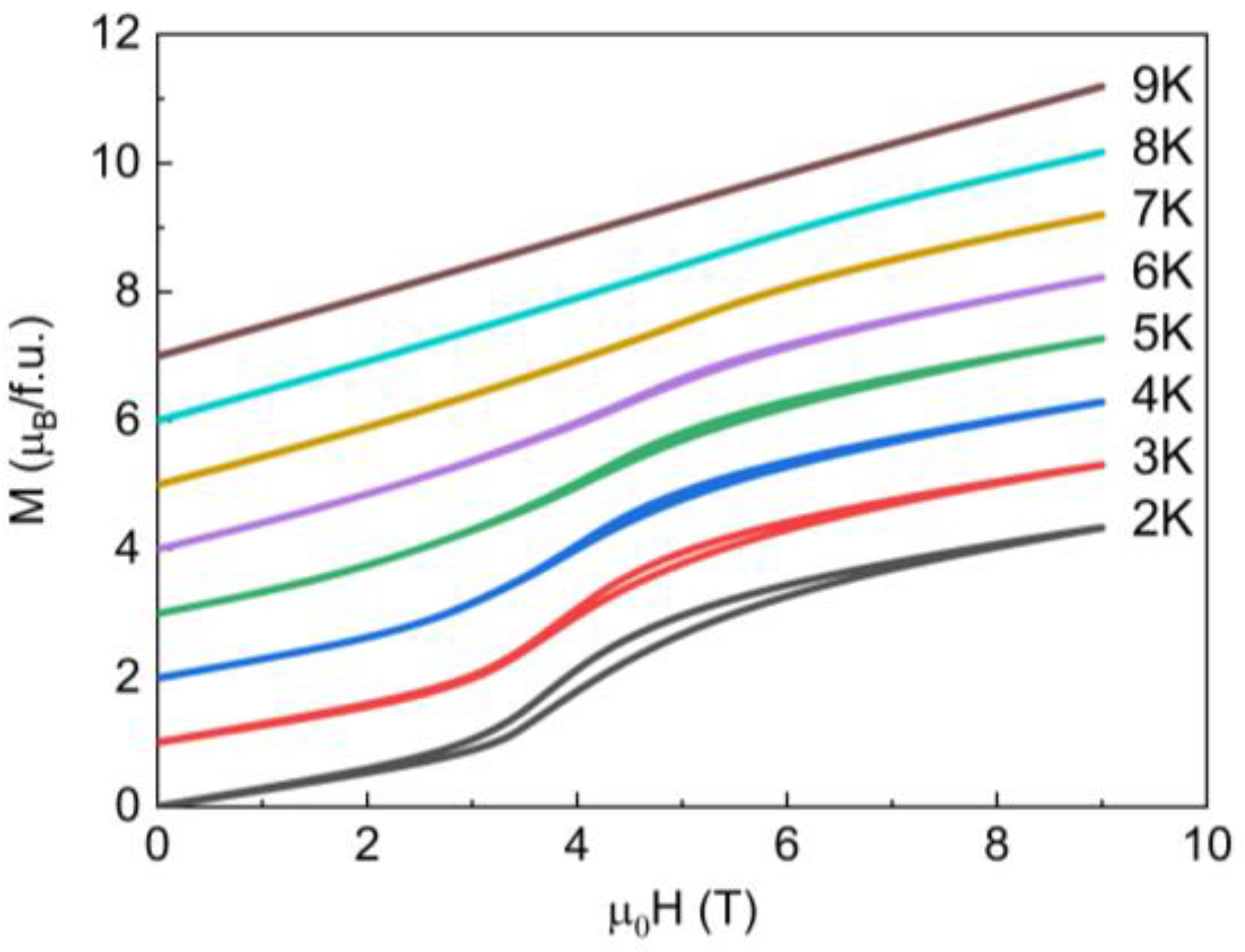
The field dependencies of the magnetization M taken at selected temperatures in the T < TN and TN < T < Tcorr regions are shown in Figure 4. At the highest temperature of our measurement, the M(H) curve is linear indicating that the system is in the paramagnetic state, but starts to deviate from linearity as the temperature is lowered toward TN. Below TN, the M(H) curves exhibit hysteresis, which becomes most pronounced at the lowest temperature of our measurement. In general, the Heisenberg magnets of quasi-isotropic magnetic moment experience a spin–flop transition prior to the full saturation at the spin–flip transition. This is not the case for Ba2Mn3(SeO3)6, although it has isotropic Mn2+ ions. Instead, it exhibits a metamagnetic transition inherent to the Ising magnets. Such behavior should be associated with the presence of highly anisotropic Mn3+ ions in the system. The well-pronounced hysteresis underlines the first-order nature of the metamagnetic transition [15].
Figure 4.
Magnetization curves measured for Ba2Mn3(SeO3)6 at selected temperature in the T < TN and TN < T < Tcorr regions. For clarity, the curves are shifted with respect to each other by 1 µB/f.u.
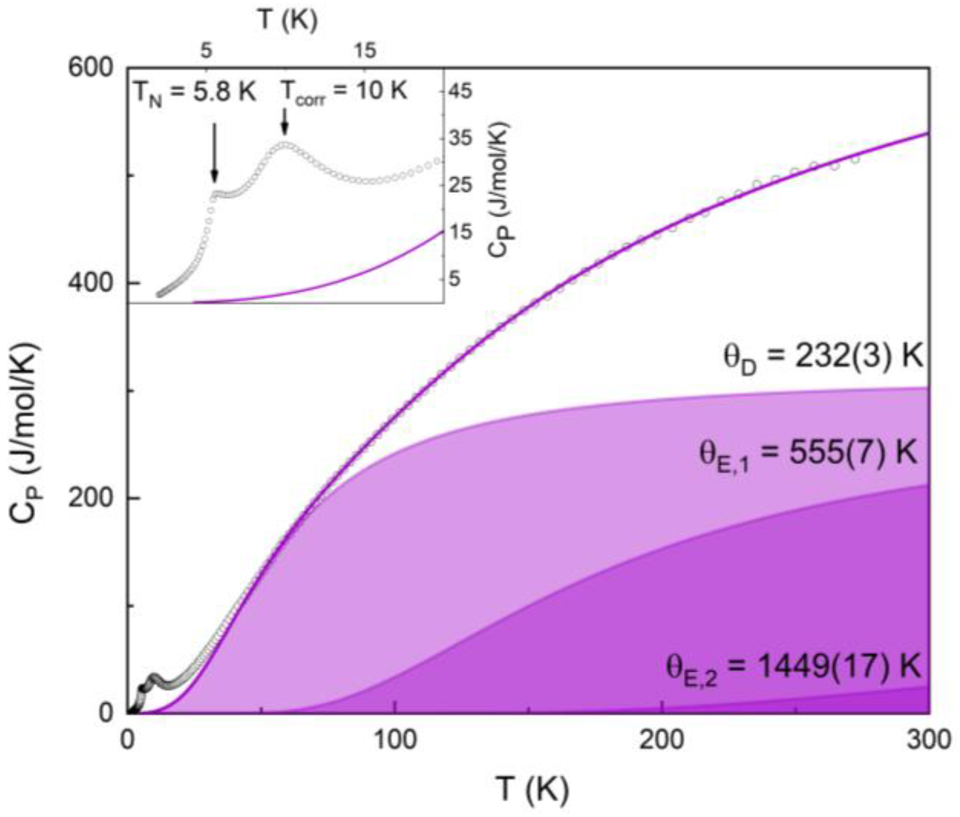
3.3. Heat Capacity
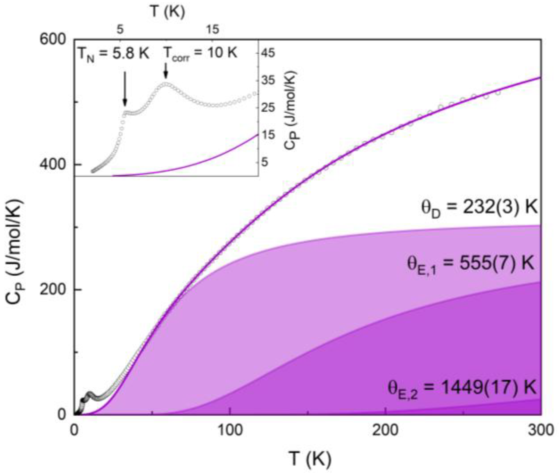
The magnetization data are fully consistent with the specific heat data, shown in Figure 5. In a wide temperature range, the Cp(T) curve can be described by the sum of the Debye function with ΘD = 223 K and two Einstein functions with ΘE1 = 556 K and ΘE2 = 1449 K. The first of the Einstein functions can be ascribed to the oscillation mode of the MnO6 octahedra and the second one to that of the SeO3 pyramids. These parameters were obtained by fitting the data in the 70–290 K region with the fixed sum of the Debye and Einstein functions. The remaining data were considered as a purely magnetic contribution. Indeed, the magnetic entropy is nearly equal to the theoretical value of R(2ln(5) + ln(6)) = 41.6 J/mol K, confirming the accuracy of the fit. Nevertheless, a nonmagnetic analogue is still needed to obtain more accurate values of Debye and Einstein temperatures.
Figure 5.
Temperature-dependent specific heat of Ba2Mn3(SeO3)6 described by the sum of Debye and two Einstein functions. The inset shows a zoomed-in view of the low temperature region along with the fitting curve.
On lowering the temperature, the specific heat Cp passes through a broad maximum at Tcorr = 10 K and shows a peak at TN = 5.8 K. Under external magnetic field, the broad maximum retains its position, but the sharp anomaly shifts to lower temperatures. Such behavior is typical of low-dimensional antiferromagnets experiencing successive short-range and long-range orders.
3.4. Spin Exchanges and Interpretation
The two important issues concerning the observed magnetic properties of Ba2Mn3(SeO3)6 are the cause for the broad maximum of the magnetic susceptibility at Tcorr = 10.1 ± 0.1 K, suggesting a short-range correlation as found for a 1D antiferromagnetic chain and a sharp kink at 5.7 ± 0.1 K, suggesting a long-range antiferromagnetic ordering. With Θ = −27.8 K and TN = 5.7 K (the index of spin frustration f = 5.0), the spin frustration in Ba2Mn3(SeO3)6 is not strong enough to prevent it from adopting a long-range antiferromagnetic ordering. This is somewhat surprising because one might expect a strong spin frustration in Ba2Mn3(SeO3)6. Figure 2c shows that the interaction between a chain of Mn2+ ions with the Mn3+ ions in the surrounding hexagonal prism generates numerous spin exchange triangles, which is a common arrangement leading to spin-frustration. Furthermore, these interactions must give rise to a 1D antiferromagnetic chain behavior to explain the 1D-like short range correlation at 10.1 K. To explore these issues, we first evaluate the spin exchanges of various exchange paths J in Ba2Mn3(SeO3)6.
All adjacent magnetic ions of Ba2Mn3(SeO3)6 are interconnected by the SeO3 pyramids except for the Mn3+ ions encircled by dashed ellipses in Figure 2a. The O…O contact distances (3.988 Å) of their Mn-O…O-Mn exchange paths are well beyond the van der Waals distance of ~3.30 Å so these spin exchanges can be neglected. There are still numerous spin exchanges between the Mn2+ and Mn3+ ions as depicted in Figure 6a. The spin exchange paths J2 (J1) form chains of Mn3+ (Mn2+) ions along the a-direction (Figure 6b). For convenience, these chains will be referred to as J2- and J1- chains, respectively. Note that each J2-chain is coupled to two adjacent J2-chains and also to two adjacent J1-chains. Between adjacent J1- and J2-chains four different spin exchange paths (i.e., J4, J5, J6 and J7) occur (Figure 6c), leading to (J1, J4, J5), (J2, J4, J5), (J1, J6, J7) and (J2, J6, J7) exchange triangles. A more extended view of Figure 6c is presented in Figure S1 in the Supporting Information (SI).
Figure 6.
Arrangement of the Mn2+ (cyan) and Mn3+ (violet) ions in Ba2Mn3(SeO3)6, where the numbers 1–7 refer to the exchange paths J1–J7, respectively: (a) Spin exchange paths between the Mn2+/Mn3+ ions that are bridged by the SeO3 groups in one hexagonal prism of Mn3+ ions with one chain of Mn2+ ions. (b) Projection view showing how chains of Mn3+ ions interact with those of Mn2+ ions. (c) Spin exchange paths J4–J7 between the Mn2+ and Mn3+ ions.
To determine the values of these exchanges, we employ the spin Hamiltonian defined as
where the spin exchange Jij between two spin sites can be any one of J1–J7. To evaluate J1–J7, we carry out the energy-mapping analysis [2,3,4] using the eight ordered spin states, i.e., AFi, where i = 1–8, depicted in Figure S2 of the SI. First, we express the energies of the eight ordered states in terms of the spin exchanges J1–J7 using the spin Hamiltonian of Equation (2) and then determine the relative energies of these states (Table 1) by DFT calculations using the frozen core projector augmented plane wave [16,17] encoded in the Vienna ab Initio Simulation Package [18] and the exchange-correlation functional of Perdew, Burke and Ernzerhof [19].
Table 1.
Relative energies (in meV/FU) of the eight ordered spin states obtained from DFT + U calculations.
The electron correlations associated with the 3d states of Mn were taken into consideration by DFT + U calculations with effective on-site repulsion Ueff = U − J = 3 eV and 4 eV [20]. All our DFT + U calculations used the plane wave cutoff energy of 450 eV, a set of (6 × 4 × 4) k-points, and the threshold of 10−6 eV for self-consistent-field energy convergence. Finally, the numerical values of J1–J7 were obtained by mapping the relative energies of the eight ordered spin states onto the corresponding energies determined by DFT + U calculations. The results of these energy-mapping analyses are summarized in Table 2.
Table 2.
Geometrical parameters of the exchange paths and the values of the spin exchanges in Ba2Mn3(SeO3)6. The plus and minus signs of the spin exchanges represent ferromagnetic and antiferromagnetic couplings, respectively.
As already pointed out, each J2-chain interacts with two adjacent J2-chains and with two adjacent J1-chains (Figure 6b). In terms of the spin exchanges of Table 2, the nature of these interchain interactions can be stated as follows:
(1) Each J1-chain is an antiferromagnetic chain, and so is each J2-chain.
(2) Each J2-chain is ferromagnetically coupled to two adjacent J2-chains via the exchange J3 (Figure 7a).
Figure 7.
(a) Ferromagnetic coupling between two adjacent J2-chains. (b) Ferromagnetic coupling between two adjacent J1- and J2-chains when the (J1, J6, J7) and (J2, J6, J7) exchange triangles are not spin-frustrated. (c,d) Two possible spin arrangements between two adjacent J2- and J1-chains when the (J1, J4, J5) and (J2, J4, J5) exchange triangles are spin-frustrated.
(3) Each J2-chain is coupled to one J1-chain via the antiferromagnetic exchange J6 and the ferromagnetic exchange J7 (Figure 7b), forming the (J1, J6, J7) and (J2, J6, J7) exchange triangles. With one ferromagnetic and two antiferromagnetic exchanges, each exchange triangle is not spin-frustrated, so the coupling between these J2- and J1-chains is ferromagnetic.
(4) Each J2-chain is coupled to another J1-chain via the antiferromagnetic exchanges J4 and J5 (Figure 7c), forming the (J1, J4, J5) and (J2, J4, J5) exchange triangles. With all three antiferromagnetic spin exchanges, each exchange triangle is spin frustrated. Thus, as depicted in Figure 7c,d, one can have two different spin arrangements between these J1- and J2-chains. This explains the presence of spin frustration in Ba2Mn3(SeO3)6 as indicated by its index of spin frustration of f = 5. Since J4 is more strongly antiferromagnetic than J5 (by a factor of approximately 3), the spin configuration of Figure 7c is energetically more stable than that of Figure 7d. The antiferromagnetic ordering at TN = 5.7 K means that the spin configuration of Figure 7c dominates over that of Figure 7d in the population.
(5) As already noted, each J2-chain is an antiferromagnetic chain and interacts with two adjacent J2-chains and two adjacent J1-chains. These interchain interactions are all ferromagnetic except for the one with one of the two J1-chains. The latter is spin-frustrated as described above. Above TN = 5.7 K, where the latter spin frustration is not settled, the magnetic behavior of Ba2Mn3(SeO3)6 should have a strong 1D antiferromagnetic chain character because the antiferromagnetic J1- and J2-chains are ferromagnetically coupled (via ferromagnetic J7 and antiferromagnetic J6, Figure 6b). This explains the occurrence of the broad maximum in the magnetic susceptibility and the specific heat of Ba2Mn3(SeO3)6. However, interactions between the J1- and J2-chains via J4 and J5 are spin-frustrated, because the (J1, J4, J5) and (J2, J4, J5) exchange triangles are spin-frustrated so two different arrangements between the J1- and J2-chains are possible (Figure 6c,d).
The two sets of the spin exchanges obtained with Ueff = 3 and 4 eV are similar in trend. To see which set is better, one might estimate the Weiss temperature Θ using the mean field theory [21,22], to see which set leads to a value closer to the experimental value of Θ = −27.8 K observed for Ba2Mn3(SeO3)6. According to Figure 6a,c, the Θcalc value for Mn2+ (S = 5/2) ions is predicted to be
which is –21.9 K for Ueff = 3 eV and –9.9 K for Ueff = 4 eV. Similarly, the Θcalc value for Mn3+ (S = 2) ions is predicted to be
which is −10.2 K for Ueff = 3 eV and −1.2 K for Ueff = 4 eV. Thus, the spin exchanges obtained from of Ueff = 3 eV better describes the observed Weiss temperature.
4. Discussion and Conclusions
In summary, our magnetization and specific heat measurements of Ba2Mn3(SeO3)6 reveal that it is a low-dimensional antiferromagnet with a short-range one-dimensional antiferromagnetic chain behavior followed by a long-range antiferromagnetic order as marked by a succession of a broad maximum at Tcorr = 10.1 ± 0.1 K and a sharper anomaly at TN = 5.7 ± 0.1 K in both magnetic susceptibility (Fisher’s specific heat) and specific heat. These observations are well-explained in terms of the spin exchanges of Ba2Mn3(SeO3)6, both antiferromagnetic and ferromagnetic, evaluated by the energy-mapping analysis. In the ordered state, Ba2Mn3(SeO3)6 exhibits a metamagnetic phase transition inherent for the Ising magnets with magnetization hysteresis most pronounced at low temperatures. Notably, no hysteresis is observed at µ0H = 0 which points to the absence of spontaneous magnetization in Ba2Mn3(SeO3)6.
Structurally, the title compound is organized by the honeycomb layers of Mn3+ ions alternating with the triangular layers of Mn2+ ions. Magnetically, it consists of uniform chains of integer spins S = 2 of Mn3+ ions and half-integer spins S = 5/2 of Mn2+ ions running along the a axis. Qualitatively different quantum ground states, i.e., gapped and gapless spin liquid, correspondingly, can be expected for these entities [23]. However, the interaction of these chains leads to the formation of a long-range antiferromagnetic order. It would be interesting to synthesize and study isostructural phases of Ba2Mn3(SeO3)6 where either the divalent or the trivalent magnetic ions is replaced with nonmagnetic counterparts. The exchange interactions through a chalcogenide anion such as SeO32- makes the scales of magnetic fields and temperatures quite convenient for experiments with equipment readily available.
While preparing this article, we became aware of an independent unpublished study on Ba2Mn3(SeO3)6 [24], which reported experimental data similar to ours but did not provide any theoretical analysis.
Supplementary Materials
The following supporting information can be downloaded at: https://www.mdpi.com/article/10.3390/ma16072685/s1, Figure S1: an extended view of the spin exchange paths in Ba2Mn3(SeO3)6. Figure S2: Eight ordered spin states used for the energy-mapping analysis.
Author Contributions
Conceptualization, A.V. and M.-H.W.; methodology, E.K.; formal analysis, A.M., S.H.C. and H.-J.K.; investigation, A.M. and E.K.; writing—original draft preparation, A.V. and M.-H.W.; writing—review and editing, A.V.; visualization, A.M.; supervision, A.V. and M.-H.W. All authors have read and agreed to the published version of the manuscript.
Funding
Support by the Megagrant program of Russian Government through project 075-15-2021-604 is acknowledged. The work at KHU was supported by the Basic Science Research Program through the National Research Foundation of Korea (NRF) funded by the Ministry of Education (2020R1A6A1A03048004).
Institutional Review Board Statement
Not applicable.
Informed Consent Statement
Not applicable.
Data Availability Statement
The data are available on reasonable request.
Conflicts of Interest
The authors declare no conflict of interest.
References
- Greedan, J.E. Geometrically frustrated magnetic materials. J. Mater. Chem. 2001, 11, 37–53. [Google Scholar] [CrossRef]
- Xiang, H.; Lee, C.; Koo, H.-J.; Gong, X.; Whangbo, M.-H. Magnetic properties and energy-mapping analysis. Dalton Trans. 2013, 42, 823–853. [Google Scholar] [CrossRef] [PubMed]
- Whangbo, M.-H.; Xiang, H.J. Magnetic properties from the perspectives of electronic Hamiltonian: Spin exchange parameters, spin orientation and spin-half misconception. In Handbook in Solid State Chemistry, Volume 5: Theoretical Descriptions; Dronskowski, R., Kikkawa, S., Stein, A., Eds.; Wiley: New York, NY, USA, 2017; pp. 285–343. [Google Scholar]
- Whangbo, M.-H.; Koo, H.-J.; Kremer, R.K. Spin exchanges between transition metal ions governed by the ligand p-orbitals in their magnetic orbitals. Molecules 2021, 26, 531. [Google Scholar] [CrossRef] [PubMed]
- Xiang, H.J.; Whangbo, M.-H. Density functional characterization of the multiferroicity in spin spiral chain cuprates. Phys. Rev. Lett. 2007, 99, 257253. [Google Scholar] [CrossRef] [PubMed]
- Boidi, N.A.; Helman, C.; Nunez-Fernandez, Y.; Hallberg, K.; Aligia, A.A. Determination of superexchange interactions for the CuO2 chains in LiCu2O2. Phys. Rev. B 2023, 107, 085128. [Google Scholar] [CrossRef]
- Isobe, M.; Ueda, Y. Magnetic susceptibility of quasi-one-dimensional compound α′-NaV2O5—Possible spin-Peierls compound with high critical temperature of 34 K. J. Phys. Soc. Jpn. 1996, 65, 1178–1181. [Google Scholar] [CrossRef]
- Zhang, W.; Cui, M.; Tian, J.; Jiang, P.; Qian, G.; Lu, X. Two magnetic orderings and a spin-flop transition in mixed valence compound Mn3O(SeO3)3. Materials 2022, 15, 5773. [Google Scholar] [CrossRef] [PubMed]
- Ishiwata, S.; Bos, J.W.G.; Huang, Q.; Cava, R.J. Structure and magnetic properties of hollandite Ba1.2Mn8O16. J. Phys. Condens. Matter 2006, 18, 3745–3752. [Google Scholar] [CrossRef]
- Johnston, M.G.; Harrison, W.T.A. Two new octahedral/pyramidal frameworks containing both cation channels and lone-pair channels: Syntheses and structures of Ba2MnIIMn2III(SeO3)6 and PbFe2(SeO3)4. J. Sol. St. Chem. 2004, 177, 4680–4686. [Google Scholar] [CrossRef]
- Koo, H.-J.; Kremer, R.; Whangbo, M.-H. Unusual spin exchanges mediated by the molecular anion P2S64-: Theoretical analyses of the magnetic ground states, magnetic anisotropy and spin exchanges of MPS3 (M = Mn, Fe, Co, Ni). Molecules 2021, 26, 1410. [Google Scholar] [CrossRef] [PubMed]
- Zener, C. Interaction between the d-shells in the transition metals. II. Ferromagnetic compounds of manganese with perovskite structure. Phys. Rev. 1951, 82, 403–405. [Google Scholar] [CrossRef]
- Bain, G.A.; Berry, J.F. Diamagnetic corrections and Pascal’s constants. J. Chem Educ. 2008, 85, 532–536. [Google Scholar] [CrossRef]
- Blundell, S. Magnetism in Condenced Matter; Oxford University Press: Oxford, UK, 2001; 272p. [Google Scholar]
- Markina, M.; Vasilchikova, T.; Kuznetsova, E.; Berdonosov, P.; Olenev, A.; Chung, S.H.; Koo, H.-J.; Whangbo, M.-H.; Vasiliev, A. Preparation and characterization of francisite solid solutions Cu3Bi(Se1–xTexO3)2O2Br (x = 0–1): Possibility for francisites as starting materials for oxide van der Waals Ferromagnets. Chem. Mater. 2023, 35, 511–520. [Google Scholar] [CrossRef]
- Blöchl, P.E. Projector augmented-wave method. Phys. Rev. B 1994, 50, 17953–17979. [Google Scholar] [CrossRef] [PubMed]
- Kresse, G.; Joubert, D. From ultrasoft pseudopotentials to the projector augmented-wave method. Phys. Rev. B 1999, 59, 1758–1775. [Google Scholar] [CrossRef]
- Kresse, G.; Furthmüller, J. Efficient iterative schemes for ab initio total-energy calculations using a plane-wave basis set. Phys. Rev. B 1996, 54, 11169–11186. [Google Scholar] [CrossRef] [PubMed]
- Perdew, J.P.; Burke, K.; Ernzerhof, M. Generalized gradient approximation made simple. Phys. Rev. Lett. 1996, 77, 3865–3868. [Google Scholar] [CrossRef] [PubMed]
- Dudarev, S.L.; Botton, G.A.; Savrasov, S.Y.; Humphreys, C.J.; Sutton, A.P. Electron-energy-loss spectra and the structural stability of nickel oxide: An LSDA+U study. Phys. Rev. B 1998, 57, 1505–1509. [Google Scholar] [CrossRef]
- Lee, K.H.; Lee, J.Y.; Lee, C.; Whangbo, M.-H. Evaluating the Curie-Weiss temperature of a magnetic system composed of nonequivalent magnetic ions in terms of spin exchange constants. Bull. Korean Chem. Soc. 2014, 35, 1277–1278. [Google Scholar] [CrossRef]
- Smart, S.J. Effective Field Theory of Magnetism; Saunders: Philadelphia, PA, USA, 1966. [Google Scholar]
- Vasiliev, A.; Volkova, O.; Zvereva, E.; Markina, M. Milestones of low-D quantum magnetism. NPJ Quant. Mater. 2018, 3, 18. [Google Scholar] [CrossRef]
- Lu, C.; Zhang, Y.; Cui, M.; Zhao, Z.; He, Z. Synthesis and Magnetic Properties of Two Mixed-Valence Compounds a 2MnIIMn2III(SeO3)6 (A = Sr and Ba). SSRN. Available online: https://ssrn.com/abstract=4355499 (accessed on 12 February 2023).
Disclaimer/Publisher’s Note: The statements, opinions and data contained in all publications are solely those of the individual author(s) and contributor(s) and not of MDPI and/or the editor(s). MDPI and/or the editor(s) disclaim responsibility for any injury to people or property resulting from any ideas, methods, instructions or products referred to in the content. |
© 2023 by the authors. Licensee MDPI, Basel, Switzerland. This article is an open access article distributed under the terms and conditions of the Creative Commons Attribution (CC BY) license (https://creativecommons.org/licenses/by/4.0/).






