Calcined Clays from Nigeria—Properties and Performance of Supplementary Cementitious Materials Suitable for Producing Level 1 Concrete
Abstract
1. Introduction
2. Research Gap
3. Materials and Methods
3.1. Selection of the Nigerian Raw Clays
3.2. Methods
3.2.1. Calcination and Grinding of NRC
3.2.2. Characterization of the Cement, Limestone Powder, and Superplasticizer
3.2.3. Characterization of the Raw and Calcined Nigerian Clays
3.2.4. Performance in Mortar and Early Hydration Behavior of the NCC
4. Results
4.1. Characterization of the Clays
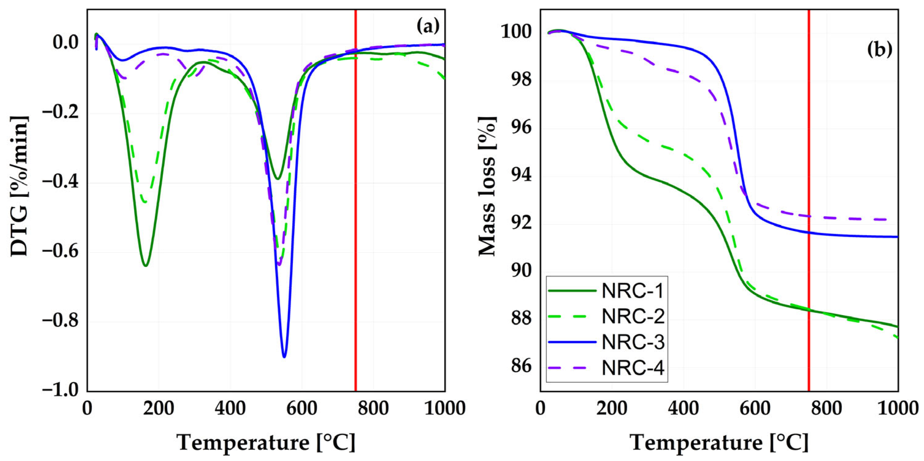
4.1.1. Nigerian Raw Clay Characterization
4.1.2. Reactivity Assessment of the NCC
4.2. Influence of NCCs and LP on Mortar Proparties
4.3. Influence of NCC on Early Hydration
5. Discussion
6. Conclusions
Author Contributions
Funding
Institutional Review Board Statement
Informed Consent Statement
Data Availability Statement
Conflicts of Interest
References
- Schmidt, W.; Commeh, M.; Olonade, K.; Schiewer, G.L.; Dodoo-Arhin, D.; Dauda, R.; Fataei, S.; Tawiah, A.T.; Mohamed, F.; Thiedeitz, M.; et al. Sustainable circular value chains: From rural waste to feasible urban construction materials solutions. Dev. Built Environ. 2021, 6, 100047. [Google Scholar] [CrossRef]
- Scrivener, K.L.; John, V.M.; Gartner, E.M. Eco-efficient cements: Potential economically viable solutions for a low-CO2 cement-based materials industry. Cem. Concr. Res. 2018, 114, 2–26. [Google Scholar] [CrossRef]
- Schmidt, W.; Otieno, M.; Olonade, K.; Radebe, N.; Van-Damme, H.; Tunji-Olayeni, P.; Kenai, S.; Tawiah, A.T.; Manful, K.; Akinwale, A.; et al. Innovation potentials for construction materials with specific focus on the challenges in Africa. RILEM Tech. Lett. 2020, 5, 63–74. [Google Scholar] [CrossRef]
- Yetano Roche, M. Built for net-zero: Analysis of long-term greenhouse gas emission pathways for the Nigerian cement sector. J. Clean. Prod. 2023, 383, 135446. [Google Scholar] [CrossRef]
- Mullholland, A.; Achkerman, C.; Astle, P.; Drewnlok, M.; Dunster, A.; Hibbert, A.; Imman, R.; Kershaw, R.; Martin, B.; McCague, C.; et al. Low Carbon Concrete Routemap; Institution of Civil Engineers: London, UK, 2022; p. 80. [Google Scholar]
- Messner, D.; Schellnhuber, J.; Rahmstorf, S.; Klingenfeld, D. The budget approach: A framework for a global transformation toward a low-carbon economy. J. Renew. Sustain. Energy 2010, 2, 031003. [Google Scholar] [CrossRef]
- Muhammad, A.; Thienel, K.-C.; Sposito, R. Suitability of Blending Rice Husk Ash and Calcined Clay for the Production of Self-Compacting Concrete: A Review. Materials 2021, 14, 6252. [Google Scholar] [CrossRef]
- Fernandez, R.; Martirena, F.; Scrivener, K.L. The origin of the pozzolanic activity of calcined clay minerals: A comparison between kaolinite, illite and montmorillonite. Cem. Concr. Res. 2011, 41, 113–122. [Google Scholar] [CrossRef]
- Tironi, A.; Trezza, M.A.; Scian, A.N.; Irassar, E.F. Assessment of pozzolanic activity of different calcined clays. Cem. Concr. Compos. 2013, 37, 319–327. [Google Scholar] [CrossRef]
- Baronio, G.; Binda, L. Study of the pozzolanicity of some bricks and clays. Constr. Build. Mater. 1997, 11, 41–46. [Google Scholar] [CrossRef]
- Maier, M.; Beuntner, N.; Thienel, K.-C. Mineralogical characterization and reactivity test of common clays suitable as supplementary cementitious material. Appl. Clay Sci. 2021, 202, 105990. [Google Scholar] [CrossRef]
- Avet, F.; Snellings, R.; Alujas Diaz, A.; Ben Haha, M.; Scrivener, K. Development of a new rapid, relevant and reliable (R³) test method to evaluate the pozzolanic reactivity of calcined kaolinitic clays. Cem. Concr. Res. 2016, 85, 1–11. [Google Scholar] [CrossRef]
- Snellings, R.; Li, X.; Avet, F.; Scrivener, K. Rapid, Robust, and Relevant (R3) Reactivity Test for Supplementary Cementitious Materials. ACI Mater. J. 2019, 116, 155–162. [Google Scholar] [CrossRef]
- Buchwald, A.; Kriegel, R.; Kaps, C.; Zellmann, H.-D. Untersuchung zur Reaktivität von Metakaolinen für die Verwendung in Bindemittelsystemen. In Proceedings of the Gesellschaft Deutscher Chemiker e.V-Jahrestagung, Munich, Germany, 9–10 October 2003. [Google Scholar]
- Scherb, S.; Maier, M.; Beuntner, N.; Thienel, K.-C.; Neubauer, J. Reaction kinetics during early hydration of calcined phyllosilicates in clinker-free model systems. Cem. Concr. Res. 2021, 143, 106382. [Google Scholar] [CrossRef]
- Londono-Zuluaga, D.; Gholizadeh-Vayghan, A.; Winnefeld, F.; Avet, F.; Ben Haha, M.; Bernal, S.A.; Cizer, Ö.; Cyr, M.; Dolenec, S.; Durdzinski, P.; et al. Report of RILEM TC 267-TRM phase 3: Validation of the R3 reactivity test across a wide range of materials. Mater. Struct. 2022, 55, 142. [Google Scholar] [CrossRef]
- Neißer-Deiters, A.; Scherb, S.; Beuntner, N.; Thienel, K.-C. Influence of the calcination temperature on the properties of a mica mineral as a suitability study for the use as SCM. Appl. Clay Sci. 2019, 179, 105168. [Google Scholar] [CrossRef]
- Muhammad, A.; Thienel, K.-C.; Sposito, R. Suitability of Clinker Replacement by a Calcined Common Clay in Self-Consolidating Mortar—Impact on Rheology and Early Age Properties. Minerals 2022, 12, 625. [Google Scholar] [CrossRef]
- Bhogayata, A.C.; Arora, N.K. Workability, strength, and durability of concrete containing recycled plastic fibers and styrene-butadiene rubber latex. Constr. Build. Mater. 2018, 180, 382–395. [Google Scholar] [CrossRef]
- ASTM C618-19; Standard Specification for Coal Fly Ash and Raw or Calcined Natural Pozzolan for Use in Concrete. ASTM International: West Conshohocken, PA, USA, 2019.
- Bentz, D.P.; Durán-Herrera, A.; Galvez-Moreno, D. Comparison of ASTM C311 strength activity index testing versus testing based on constant volumetric proportions. J. ASTM Int. 2012, 9, 1–7. [Google Scholar] [CrossRef]
- Zunino, F.; Scrivener, K. Factors influencing the sulfate balance in pure phase C3S/C3A systems. Cem. Concr. Res. 2020, 133, 106085. [Google Scholar] [CrossRef]
- Zunino, F.; Scrivener, K. Insights on the role of alumina content and the filler effect on the sulfate requirement of PC and blended cements. Cem. Concr. Res. 2022, 160, 106929. [Google Scholar] [CrossRef]
- Maier, M.; Sposito, R.; Beuntner, N.; Thienel, K.-C. Particle characteristics of calcined clays and limestone and their impact on the early hydration and sulfate demand of blended cement. Cem. Concr. Res. 2022, 154, 15. [Google Scholar] [CrossRef]
- Beuntner, N.; Thienel, K.-C. Pozzolanic efficiency of calcined clays in blended cements with focus on the early hydration. Adv. Cem. Res. 2022, 34, 341–355. [Google Scholar] [CrossRef]
- Maier, M.; Scherb, S.; Neißer-Deiters, A.; Beuntner, N.; Thienel, K.-C. Hydration of cubic tricalcium aluminate in the presence of calcined clays. J. Am. Ceram. Soc. 2021, 104, 3619–3631. [Google Scholar] [CrossRef]
- Maier, M.; Scherb, S.; Sposito, R.; Beuntner, N.; Thienel, K.-C. Parameters Influencing the Aluminate Clinker Reaction in Presence of Calcined Clay: Implications from Model Systems and Blended Cements. In Proceedings of the International Conference on Calcined Clays for Sustainable Concrete, Lausanne, Switzerland, 5–7 July 2022; pp. 112–113. [Google Scholar]
- Zunino, F.; Scrivener, K. Studying the Influence of the Filler Effect of SCMs on the Sulfate Requirement of Blended Cements. In Proceedings of the ACI SP 349 11th International Conference on Cementitious Materials and Alternative Binders for Sustainable Concrete, Online, 22 April 2021; pp. 117–124. [Google Scholar] [CrossRef]
- Scrivener, K.; Martirena, F.; Bishnoi, S.; Maity, S. Calcined clay limestone cements (LC3). Cem. Concr. Res. 2018, 114, 49–56. [Google Scholar] [CrossRef]
- Sposito, R.; Maier, M.; Beuntner, N.; Thienel, K.-C. Physical and mineralogical properties of calcined common clays as SCM and their impact on flow resistance and demand for superplasticizer. Cem. Concr. Res. 2022, 154, 106743. [Google Scholar] [CrossRef]
- Beuntner, N.; Thienel, K.-C. Performance and properties of concrete made with calcined clays. In Proceedings of the ACI SP 320-10th ACI/RILEM International Conference on Cementitious Materials and Alternative Binders for Sustainabe Concrete, Montreal, QC, Canada, 2–4 October 2017; pp. 7.1–7.12. [Google Scholar] [CrossRef]
- Tironi, A.; Sposito, R.; Cordoba, G.P.; Zito, S.V.; Rahhal, V.; Thienel, K.-C.; Irassar, E.F. Influence of different calcined clays to the water transport performance of concretes. Mag. Concr. Res. 2022, 74, 702–714. [Google Scholar] [CrossRef]
- Zunino, F.; Scrivener, K. The reaction between metakaolin and limestone and its effect in porosity refinement and mechanical properties. Cem. Concr. Res. 2021, 140, 106307. [Google Scholar] [CrossRef]
- Dhandapani, Y.; Sakthivel, T.; Santhanam, M.; Gettu, R.; Pillai, R.G. Mechanical properties and durability performance of concretes with Limestone Calcined Clay Cement (LC3). Cem. Concr. Res. 2018, 107, 136–151. [Google Scholar] [CrossRef]
- Dhandapani, Y.; Santhanam, M.; Kaladharan, G.; Ramanathan, S. Towards ternary binders involving limestone additions—A review. Cem. Concr. Res. 2021, 143, 106396. [Google Scholar] [CrossRef]
- Avet, F.; Scrivener, K. Hydration Study of Limestone Calcined Clay Cement (LC3) Using Various Grades of Calcined Kaolinitic Clays. In Calcined Clays for Sustainable Concrete—Proceedings of the 2nd International Conference on Calcined Clays for Sustainable Concrete; Martirena, F., Favier, A., Scrivener, K., Eds.; Springer Nature: La Havanna, Cuba, 2018; pp. 35–40. ISBN 978-94-024-1207-9. [Google Scholar] [CrossRef]
- Muzenda, T.R.; Hou, P.; Kawashima, S.; Sui, T.; Cheng, X. The role of limestone and calcined clay on the rheological properties of LC3. Cem. Concr. Compos. 2020, 107, 103516. [Google Scholar] [CrossRef]
- Adelabu, O.S. Documentation, Application and Utilisation of Clay Minerals in Kaduna State (Nigeria); Valaškova, M., Martynkova, G.S., Eds.; IntechOpen Limited: London, UK, 2012; pp. 3–20. ISBN 978-953-51-0738-5. [Google Scholar] [CrossRef]
- Olofinnade, O.; Ogara, J. Workability, strength, and microstructure of high strength sustainable concrete incorporating recycled clay brick aggregate and calcined clay. Clean. Eng. Technol. 2021, 3, 100123. [Google Scholar] [CrossRef]
- Akindahunsi, A.A.; Avet, F.; Scrivener, K. The Influence of some calcined clays from Nigeria as clinker substitute in cementitious systems. Case Stud. Constr. Mater. 2020, 13, e00443. [Google Scholar] [CrossRef]
- Badmus, B.S.; Olatinsu, O.B. Geophysical evaluation and chemical analysis of kaolin clay deposit of Lakiri village, Southwestern Nigeria. Int. J. Phys. Sci. 2009, 4, 592–606. [Google Scholar]
- Al-Mujtaba, M.; Shobo, O.; Oyebola, B.C.; Ohemu, B.O.; Omale, I.; Shuaibu, A.; Anyanti, J. Assessing the acceptability of village health workers’ roles in improving maternal health care in Gombe State, Nigeria a qualitative exploration from women beneficiaries. PLoS ONE 2020, 15, e0240798. [Google Scholar] [CrossRef] [PubMed]
- DIN EN 197-1; Zement—Teil 1: Zusammensetzung, Anforderungen und Konformitätskriterien von Normalzement (Cement—Part 1: Composition, Specifications and Conformity Criteria for Common Cements). Beuth-Verlag: Berlin, Germany, 2011; p. 8. [CrossRef]
- DIN EN 196-1; Prüfverfahren für Zement—Teil 1: Bestimmung der Festigkeit (Methods of Testing Cement—Part 1: Determination of Strength). Beuth-Verlag: Berlin, Germany, 2016; p. 31.
- Doebelin, N.; Kleeberg, R. Profex: A graphical user interface for the Rietveld refinement program BGMN. J. Appl. Crystallogr. 2015, 48, 1573–1580. [Google Scholar] [CrossRef] [PubMed]
- Scherb, S.; Köberl, M.; Beuntner, N.; Thienel, K.-C.; Neubauer, J. Reactivity of Metakaolin in Alkaline Environment: Correlation of Results from Dissolution Experiments with XRD Quantifications. Materials 2020, 13, 2214. [Google Scholar] [CrossRef] [PubMed]
- DIN EN ISO 11885; Water Quality—Determination of Selected Elements by Inductively Coupled Plasma Optical Emission Spectrometry (ICP-OES). Beuth-Verlag: Berlin, Germany, 2009; p. 37.
- Kaps, C.; Buchwald, A.; Hohmann, M.; Zellmann, H.-D. Untersuchungen zur Binderoptimierung in alumosilikatischen Polymerbindern. In Proceedings of the 15 Internationale Baustofftagung Ibausil, Weimar, Germany, 24–27 September 2003. [Google Scholar]
- Maier, M.; Beuntner, N.; Thienel, K.-C. An approach for the evaluation of local raw material potential for calcined clay as SCM, based on geological and mineralogical data: Examples from German clay deposits. In Calcined Clays for Sustainable Concrete—Proceedings of the 3rd International Conference on Calcined Clays for Sustainable Concrete; Bishnoi, S., Ed.; Springer: Singapore, 2020; RILEM Bookseries Volume 25, pp. 37–47. ISBN 978-981-15-2806-4. [Google Scholar] [CrossRef]
- DIN EN ISO 17892-3; Geotechnical Investigation and Testing—Laboratory Testing of Soil—Part 3: Determination of Particle Density. Beuth-Verlag: Berlin, Germany, 2015; p. 21.
- DIN ISO 9277; Determination of the Specific Surface Area of Solids by Gas Adsorption—BET Method. Beuth-Verlag: Berlin, Germany, 2003; p. 19.
- Puntke, W. Wasseranspruch von feinen Kornhaufwerken. Beton 2002, 52, 242–248. [Google Scholar]
- DIN EN 1015-3; Prüfverfahren für Mörtel für Mauerwerk-Teil 3: Bestimmung der Konsistenz von Frischmörtel (mit Ausbreittisch) (Methods of Test for Mortar for Masonry—Part 3: Determination of Consistence of Fresh Mortar (by Flow Table)). Beuth-Verlag: Berlin, Germany, 2007; p. 12.
- ASTM C311-22; Standard Test Method for Sampling and Testing Fly Ash or Natural Pozzolans for Use in Portland-Cement Concrete. ASTM International: West Conshohocken, PA, USA, 2022; p. 11. [CrossRef]
- Scherb, S.; Beuntner, N.; Thienel, K.-C.; Neubauer, J. Quantitative X-ray diffraction of free, not chemically bound water with the PONKCS method. J. Appl. Crystallogr. 2018, 51, 1535–1543. [Google Scholar] [CrossRef]
- DIN EN 197-5; Zement—Teil 5: Portlandkompositzement CEM II/C-M und Kompositzement CEM VI (Cement—Part 5: Portland-Composite Cement CEM II/C-M and Composite Cement CEM VI). Beuth-Verlag: Berlin, Germany, 2021; p. 12.
- Zunino, F.; Scrivener, K. The influence of the filler effect on the sulfate requirement of blended cements. Cem. Concr. Res. 2019, 126, 105918. [Google Scholar] [CrossRef]
- Schmid, M.; Plank, J. Interaction of individual meta clays with polycarboxylate (PCE) superplasticizers in cement investigated via dispersion, zeta potential and sorption measurements. Appl. Clay. Sci. 2021, 207, 106092. [Google Scholar] [CrossRef]
- Sposito, R.; Maier, M.; Beuntner, N.; Thienel, K.-C. Evaluation of zeta potential of calcined clays and time-dependent flowability of blended cement with customized polycarboxylate-based superplasticizers. Constr. Build. Mater. 2021, 308, 125061. [Google Scholar] [CrossRef]
- Maier, M.; Forster, B.; Beuntner, N.; Thienel, K.-C. Potential of calcined recycling kaolin from silica sand processing as supplementary cementitious material. In Calcined Clays for Sustainable Concrete—Proceedings of the 3rd International Conference on Calcined Clays for Sustainable Concrete; Bishnoi, S., Ed.; Springer: Singapore, 2020; RILEM Bookseries Volume 25, pp. 75–83. ISBN 978-981-15-2806-4. [Google Scholar] [CrossRef]
- Beuntner, N.; Sposito, R.; Thienel, K.-C. Potential of Calcined Mixed-Layer Clays as Pozzolans in Concrete. ACI Mater. J. 2019, 116, 19–29. [Google Scholar] [CrossRef]
- Behrouzi, D.; Fleiger, K.; Hoenig, V.; Hoppe, H.; Mohr, M.; Müller, C.; Palm, S.; Reiners, J.; Richter, T.; Rickert, J.; et al. Dekarbonisierung von Zement und Beton—Minderungspfade und Handlungsstrategien; Verein Deutscher Zementwerke e.V. (VDZ): Düsseldorf, Germany, 2020; p. 60. [Google Scholar]
- DIN 1045-2; Tragwerke aus Beton, Stahlbeton und Spannbeton—Teil 2: Beton—Festlegung, Eigenschaften, Herstellung und Konformität—Anwendungsregeln zu DIN EN 206-1. Beuth-Verlag: Berlin, Germany, 2001; p. 48.
- DIN EN 206; Beton—Festlegung, Eigenschaften, Herstellung und Konformität (Concrete—Specification, Performance, Production and Conformity). Beuth Verlag GmbH: Berlin, Germany, 2017; p. 98.
- Ouellet-Plamondon, C.; Scherb, S.; Köberl, M.; Thienel, K.-C. Acceleration of cement blended with calcined clays. Constr. Build. Mater. 2020, 245, 118439. [Google Scholar] [CrossRef]
- Deutscher Ausschuss für Stahlbeton. Nachhaltig bauen mit Beton—Planungshilfe des Deutschen Ausschusses für Stahlbeton (DAfStb); Deutscher Ausschuss für Stahlbeton, Ed.; Deutscher Ausschuss für Stahlbeton: Berlin, Germany, 2021; p. 15. [Google Scholar]
- Van Oss, H.G.; Padovani, A.C. Cement manufacture and the environment, Part II: Environmental challenges and opportunities. J. Ind. Ecol. 2003, 7, 93–126. [Google Scholar] [CrossRef]
- Ali, M.B.; Saidur, R.; Hossain, M.S. A review on emission analysis in cement industries. Renew. Sustain. Energy Rev. 2011, 15, 2252–2261. [Google Scholar] [CrossRef]
- Cancio Díaz, Y.; Sánchez Berriel, S.; Heierli, U.; Favier, A.R.; Sánchez Machado, I.R.; Scrivener, K.L.; Martirena Hernández, J.F.; Habert, G. Limestone calcined clay cement as a low-carbon solution to meet expanding cement demand in emerging economies. Dev. Eng. 2017, 2, 82–91. [Google Scholar] [CrossRef]
- Scherb, S.; Beuntner, N.; Köberl, M.; Thienel, K.-C. The early hydration of cement with the addition of calcined clay—From single phyllosilicate to clay mixture. In Proceedings of the 20 Internationale Baustofftagung ibausil, Weimar, Germany, 12–14 September 2018; pp. 658–666. [Google Scholar]









| Mix Designation | OPC [g] | LP [g] | CC [g] | Sand [g] | Water [g] | SP [%] |
|---|---|---|---|---|---|---|
| M | 450 | - | - | 1350 | 225 | - |
| MN-1 | 360 | - | 76 | 1350 | 225 | 0.30 |
| MN-2 | 360 | - | 80 | 1350 | 225 | 0.30 |
| MN-3 | 360 | - | 79 | 1350 | 225 | 0.30 |
| MN-4 | 360 | 81 | 1350 | 225 | 0.30 | |
| ML | 383 | 57 | - | 1350 | 225 | - |
| MLN-1 | 248 | 57 | 113 | 1350 | 225 | 0.35 |
| MLN-2 | 248 | 57 | 121 | 1350 | 225 | 0.35 |
| MLN-3 | 248 | 57 | 118 | 1350 | 225 | 0.35 |
| MLN-4 | 248 | 57 | 121 | 1350 | 225 | 0.35 |
| Materials | Kaolinite | Smectite | Quartz | Mica/Illite | Rutile/Anatase | Hematite | Gypsum |
|---|---|---|---|---|---|---|---|
| NRC-1 | 13 | 71 | 6 | 10 | - | - | <1 |
| NRC-2 | 22 | 68 | 4 | - | 2 | - | 4 |
| NRC-3 | 56 | - | 34 | 6 | 3 | - | - |
| NRC-4 | 49 | - | 42 | 6 | 2 | 1 | - |
| Materials | SiO2 | Al2O3 | CaO | MgO | Fe2O3 | TiO2 | K2O | Na2O | SO3 | LOI |
|---|---|---|---|---|---|---|---|---|---|---|
| NCC-1 | 55.0 | 19.1 | 1.3 | 3.1 | 7.7 | 1.0 | 1.8 | 8.6 | 0.8 | 1.6 |
| NCC-2 | 54.3 | 24.5 | 1.9 | 2.1 | 9.5 | 1.1 | 1.5 | 0.2 | 1.9 | 3.0 |
| NCC-3 | 68.1 | 24.7 | 0.1 | 0.1 | 2.5 | 3.5 | 0.4 | <0.1 | <0.1 | 0.5 |
| NCC-4 | 68.2 | 20.4 | 0.2 | 0.2 | 8.2 | 1.5 | 0.7 | <0.1 | <0.1 | 0.6 |
| Materials | Specific Surface Area [m2/g] | Water Demand [wt.%] | Density [g/cm3] | d10 [µm] | d50 [µm] | d90 [µm] |
|---|---|---|---|---|---|---|
| OPC | 1.0 | 28.9 | 3.17 | 2.6 | 16.0 | 42.8 |
| LP | 1.6 | 20 | 2.71 | 0.8 | 4.6 | 20.7 |
| NCC-1 | 95.9 | 37.3 | 2.66 | 5.4 | 34.5 | 155.0 |
| NCC-2 | 75.4 | 35.1 | 2.83 | 2.9 | 21.7 | 85.8 |
| NCC-3 | 16.7 | 31.6 | 2.78 | 2.3 | 13.8 | 61.0 |
| NCC-4 | 32.0 | 32.5 | 2.85 | 3.6 | 28.2 | 72.3 |
| Specimens | OPC-20NCC | OPC-15LP-30NCC | OPC-15LP-30NCC-5G |
|---|---|---|---|
| OPC | 254 | - | - |
| PLC | - | 270 | - |
| NCC-1 | 300 | 349 | 346 |
| NCC-2 | 307 | 332 | 349 |
| NCC-3 | 320 | 361 | 426 |
| NCC-4 | 293 | 340 | 426 |
Disclaimer/Publisher’s Note: The statements, opinions and data contained in all publications are solely those of the individual author(s) and contributor(s) and not of MDPI and/or the editor(s). MDPI and/or the editor(s) disclaim responsibility for any injury to people or property resulting from any ideas, methods, instructions or products referred to in the content. |
© 2023 by the authors. Licensee MDPI, Basel, Switzerland. This article is an open access article distributed under the terms and conditions of the Creative Commons Attribution (CC BY) license (https://creativecommons.org/licenses/by/4.0/).
Share and Cite
Muhammad, A.; Thienel, K.-C.; Scherb, S. Calcined Clays from Nigeria—Properties and Performance of Supplementary Cementitious Materials Suitable for Producing Level 1 Concrete. Materials 2023, 16, 2684. https://doi.org/10.3390/ma16072684
Muhammad A, Thienel K-C, Scherb S. Calcined Clays from Nigeria—Properties and Performance of Supplementary Cementitious Materials Suitable for Producing Level 1 Concrete. Materials. 2023; 16(7):2684. https://doi.org/10.3390/ma16072684
Chicago/Turabian StyleMuhammad, Abubakar, Karl-Christian Thienel, and Sebastian Scherb. 2023. "Calcined Clays from Nigeria—Properties and Performance of Supplementary Cementitious Materials Suitable for Producing Level 1 Concrete" Materials 16, no. 7: 2684. https://doi.org/10.3390/ma16072684
APA StyleMuhammad, A., Thienel, K.-C., & Scherb, S. (2023). Calcined Clays from Nigeria—Properties and Performance of Supplementary Cementitious Materials Suitable for Producing Level 1 Concrete. Materials, 16(7), 2684. https://doi.org/10.3390/ma16072684

