Corrosion-Effected Bond Behavior between PVA-Fiber-Reinforced Concrete and Steel Rebar under Chloride Environment
Abstract
1. Introduction
2. Experimental Program
2.1. Detail of Specimens
2.2. Materials and Mixture Design
2.3. Accelerated Corrosion
2.4. Pull-Out Test
2.5. Measurement of Corrosion Loss and Chloride Penetration Depth
3. Corrosion Damages
3.1. Crack Behavior
3.2. Corrosion Loss
3.3. Chloride Penetration
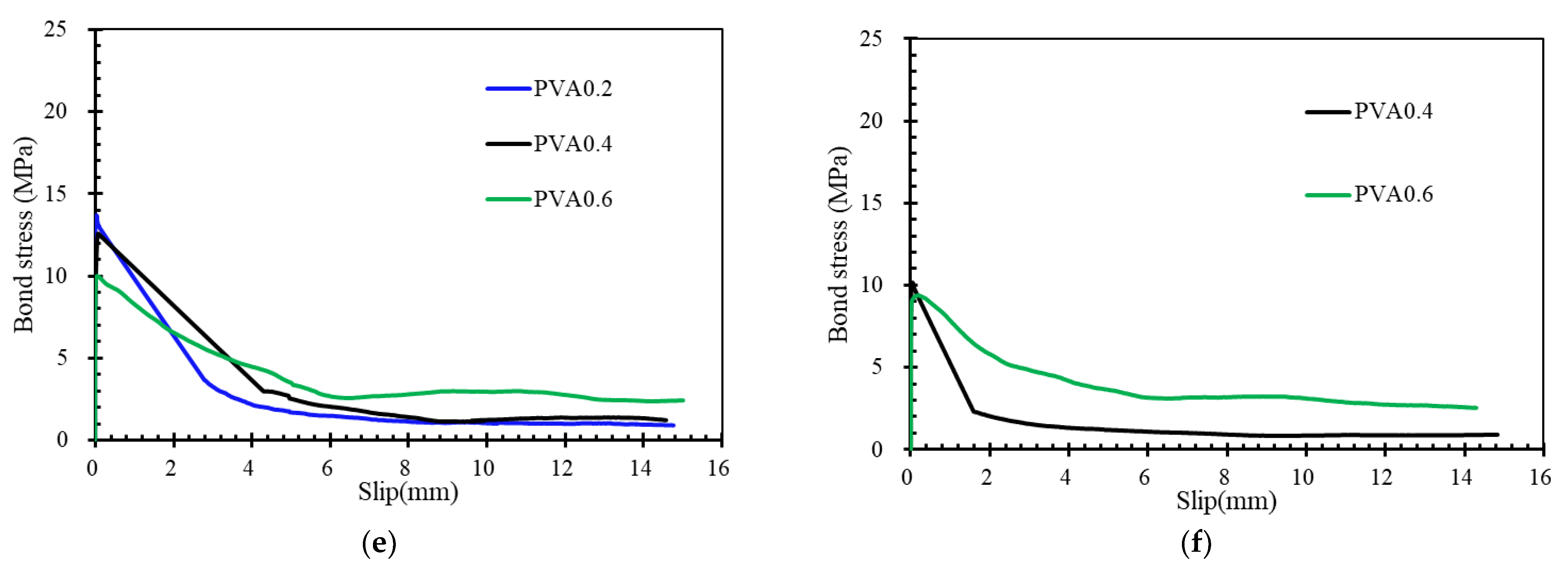
4. Bond Behaviors
4.1. Failure of Pull-Out Specimens
4.2. Effects of PVA Fibers
4.3. Effects of Corrosion Loss
5. Conclusions
- The PVA-fiber-reinforced specimens exhibited worse resistance to corrosion damage than plain specimens; the harmful fine pores in fiber concrete provide channels for chloride penetration. The maximum increment of crack width is about 66.7% in the present test for PVA-fiber-reinforced specimens. With the increase in the fibers, the corrosive cracking become more obvious.
- PVA fiber generally showed a negative effect on bond behavior, but a positive effect on the descending branches for the case with splitting failure. PVA fibers decreased both the initial bond stiffness and bond strength in the present test. The maximum decrement of bond strength was about 31.49%, for samples with PVA fiber contents of less than 0.6%. The lowest extension of crack width was about 0.7 mm with the addition of PVA fibers in the pull-out test, in which the PVA fibers can restrict the split-induced cracking and protect against the failure of specimen in a more ductile way.
- With the deepening of corrosion loss, the bond strength of corrosion specimens first slightly increased, and then gradually decreased. Compared with plain specimens, the maximum degradation of bond stress was about 50.1%, for which the corrosion level was 15%. Specimens with a greater corrosion level usually had a greater initial bonding stiffness, but lower bond strength than specimens with a high level after uneven corrosion.
- There are no forces between the PVA-fiber-reinforced concrete and the reinforcement in the chloride environment explored in this paper. In engineering practice, PVA-fiber-reinforced concrete is often in the load-bearing state received under the influence of the external environment; the rust characteristics in the load-holding state remain to be further analyzed and studied.
Author Contributions
Funding
Informed Consent Statement
Data Availability Statement
Conflicts of Interest
References
- Pakravan, H.R.; Jamshidi, M.; Latifi, M. Study on fiber hybridization effect of engineered cementitious composites with low- and high-modulus polymeric fibers. Constr. Build. Mater. 2016, 112, 739–746. [Google Scholar] [CrossRef]
- Juarez, C.; Fajardo, G.; Monroy, S.; Duran-Herrera, A.; Valdez, P.; Magniont, C. Comparative study between natural and PVA fibers to reduce plastic shrinkage cracking in cement-based composite. Constr. Build. Mater. 2015, 91, 164–170. [Google Scholar] [CrossRef]
- Wang, J.; Dai, Q.; Si, R.; Guo, S. Investigation of properties and performances of Polyvinyl Alcohol (PVA) fiber-reinforced rubber concrete. Constr. Build. Mater. 2018, 193, 631–642. [Google Scholar] [CrossRef]
- Liu, F.; Ding, W.; Qiao, Y. Experimental investigation on the flexural behavior of hybrid steel-PVA fiber reinforced concrete containing fly ash and slag powder. Constr. Build. Mater. 2019, 228, 116706. [Google Scholar] [CrossRef]
- Nuruddin, M.F.; Khan, S.U.; Shafiq, N.; Ayub, T. Strength Prediction Models for PVA Fiber-Reinforced High-Strength Concrete. J. Mater. Civ. Eng. 2015, 27, 04015034. [Google Scholar] [CrossRef]
- Abushawashi, N.; Vimonsatit, V. Material Classification and Composite Elastic Modulus of Hybrid PVA Fiber Ferrocement. J. Mater. Civ. Eng. 2016, 28, 04016073. [Google Scholar] [CrossRef]
- Kim, G.; Lee, B.; Hasegawa, R.; Hama, Y. Frost resistance of polyvinyl alcohol fiber and polypropylene fiber reinforced ce-mentitious composites under freeze thaw cycling. Compos. Part B Eng. 2016, 90, 241–250. [Google Scholar]
- Jang, J.; Kim, H.; Kim, T.; Min, B.; Lee, H. Improved flexural fatigue resistance of PVA fiber-reinforced concrete subjected to freezing and thawing cycles. Constr. Build. Mater. 2014, 59, 129–135. [Google Scholar] [CrossRef]
- Şahmaran, M.; Özbay, E.; Yücel, H.E.; Lachemi, M.; Li, V.C. Frost resistance and microstructure of Engineered Cementitious Composites: Influence of fly ash and micro poly-vinyl-alcohol fiber. Cem. Concr. Compos. 2012, 34, 156–165. [Google Scholar] [CrossRef]
- Said, M.; El-Azim, A.A.A.; Ali, M.M.; El-Ghazaly, H.; Shaaban, I. Effect of elevated temperature on axially and eccentrically loaded columns containing Polyvinyl Alcohol (PVA) fibers. Eng. Struct. 2020, 204, 110065. [Google Scholar] [CrossRef]
- Celik, K.; Meral, C.; Mancio, M.; Mehta, P.K.; Monteiro, P.J.M. A comparative study of self-consolidating concretes incorpo-rating high-volume natural pozzolan or high-volume fly ash. Constr. Build. Mater. 2014, 67, 14–19. [Google Scholar] [CrossRef]
- Tabatabaeian, M.; Khaloo, A.; Joshaghani, A.; Hajibandeh, E. Experimental investigation on effects of hybrid fibers on rhe-ological, mechanical, and durability properties of high-strength SCC. Constr. Build. Mater. 2017, 147, 497–509. [Google Scholar] [CrossRef]
- Raj, B.; Sathyan, D.; Madhavan, M.K.; Raj, A. Mechanical and durability properties of hybrid fiber reinforced foam concrete. Constr. Build. Mater. 2020, 245, 118373. [Google Scholar] [CrossRef]
- Teng, S.; Afroughsabet, V.; Ostertag, C.P. Flexural behavior and durability properties of high performance hybrid-fiber-reinforced concrete. Constr. Build. Mater. 2018, 182, 504–515. [Google Scholar] [CrossRef]
- Wang, L.; He, T.; Zhou, Y.; Tang, S.; Tan, J.; Liu, Z.; Su, J. The influence of fiber type and length on the cracking resistance, durability and pore structure of face slab concrete. Constr. Build. Mater. 2021, 282, 122706. [Google Scholar] [CrossRef]
- Yang, O.; Zhang, B.; Yan, G.; Chen, J. Bond Performance between Slightly Corroded Steel Bar and Concrete after Exposure to High Temperature. J. Struct. Eng. 2018, 144, 04018209. [Google Scholar] [CrossRef]
- Coronelli, D.; François, R.; Dang, H.; Zhu, W. Strength of Corroded RC Beams with Bond Deterioration. J. Struct. Eng. 2019, 145, 04019097. [Google Scholar] [CrossRef]
- Farhan, N.A.; Sheikh, M.N.; Hadi, M.N.S. Experimental Investigation on the Effect of Corrosion on the Bond Between Reinforcing Steel Bars and Fibre Reinforced Geopolymer Concrete. Structures 2018, 14, 251–261. [Google Scholar] [CrossRef]
- Goksu, C.; Inci, P.; Ilki, A. Effect of Corrosion on Bond Mechanism between Extremely Low-Strength Concrete and Plain Reinforcing Bars. J. Perform. Constr. Facil. 2016, 30, 04015055. [Google Scholar] [CrossRef]
- Choi, Y.S.; Yi, S.-T.; Kim, M.Y.; Jung, W.Y.; Yang, E.I. Effect of corrosion method of the reinforcing bar on bond characteristics in reinforced concrete specimens. Constr. Build. Mater. 2014, 54, 180–189. [Google Scholar] [CrossRef]
- Yin, S.; Jing, L.; Lv, H. Experimental Analysis of Bond between Corroded Steel Bar and Concrete Confined with Textile-Reinforced Concrete. J. Mater. Civ. Eng. 2019, 31, 04019208. [Google Scholar] [CrossRef]
- Huang, C.-H. Effects of Rust and Scale of Reinforcing Bars on the Bond Performance of Reinforcement Concrete. J. Mater. Civ. Eng. 2014, 26, 576–581. [Google Scholar] [CrossRef]
- Paswan, R.; Rahman, R.; Singh, S.K.; Singh, B. Bond Behavior of Reinforcing Steel Bar and Geopolymer Concrete. J. Mater. Civ. Eng. 2020, 32, 04020167. [Google Scholar] [CrossRef]
- Soudki, K.; Sherwood, T. Bond Behavior of Corroded Steel Reinforcement in Concrete Wrapped with Carbon Fiber Rein-forced Polymer Sheets. J. Mater. Civ. Eng. 2020, 15, 358–370. [Google Scholar] [CrossRef]
- Sun, L.; Hao, Q.; Zhao, J.; Wu, D.; Yang, F. Stress strain behavior of hybrid steel-PVA fiber reinforced cementitious composites under uniaxial compression. Constr. Build. Mater. 2018, 188, 349–360. [Google Scholar] [CrossRef]
- Pan, J.; Cai, J.; Hui, L.; Christopher, K.Y. Development of Multiscale Fiber-Reinforced Engineered Cementitious Composites with PVA Fiber and CaCO3 Whisker. J. Mater. Civ. Eng. 2018, 30, 04018106. [Google Scholar] [CrossRef]
- Shafiq, N.; Ayub, T.; Khan, S.U. Investigating the performance of PVA and basalt fibre reinforced beams subjected to flexural action. Compos. Struct. 2016, 153, 30–41. [Google Scholar] [CrossRef]
- GB 50152-1992; Standard for Test Methods for Concrete Structures. Domestic-National Standards-State Administration of Market Supervision and Administration CN-GB: Beijing, China, 2012.
- Zhang, P.; Gao, Z.; Wang, J.; Wang, K. Numerical modeling of rebar-matrix bond behaviors of nano-SiO2 and PVA fiber reinforced geopolymer composites. Ceram. Int. 2021, 47, 11727–11737. [Google Scholar] [CrossRef]
- Zhang, X.; Zhang, W.; Cao, C.; Xu, F.; Yang, C. Positive effects of aligned steel fiber on bond behavior between steel rebar and concrete. Cem. Concr. Compos. 2020, 114, 103828. [Google Scholar] [CrossRef]
- Zhang, X.; He, F.; Chen, J.; Yang, C.; Xu, F. Orientation of steel fibers in concrete attracted by magnetized rebar and its effects on bond behavior. Cem. Concr. Compos. 2023, 138, 104977. [Google Scholar] [CrossRef]
- GB/T 50081-2019; Standard Test Method for Physical and Mechanical Properties of Concrete. The State Administration for Market Regulation: Beijing, China, 2019.
- Dashti, J.; Nematzadeh, M. Compressive and direct tensile behavior of concrete containing Forta-Ferro fiber and calcium aluminate cement subjected to sulfuric acid attack with optimized design. Constr. Build. Mater. 2020, 253, 118999. [Google Scholar] [CrossRef]
- Filho, J.H.; de Medeiros, M.H.F.; Pereira, E.; Helene, P.; Isaia, G. High-Volume Fly Ash Concrete with and without Hydrated Lime: Chloride Diffusion Coefficient from Accelerated Test. J. Mater. Civ. Eng. 2013, 25, 411–418. [Google Scholar] [CrossRef]
- NT Build 492; Concrete, Mortar and Cement-Based Repair Materials: Chloride Migration Coefficient from Non-Steady-State Migration Experiments. Nordtest Method: Espoo, Finland, 1999.
- Zhang, X.; Wang, L.; Zhang, J.; Liu, Y. Bond Degradation–Induced Incompatible Strain between Steel Bars and Concrete in Corroded RC Beams. J. Perform. Constr. Facil. 2016, 30, 04016058. [Google Scholar] [CrossRef]
- Cao, C.; Cheung, M.M.; Chan, B.Y. Modelling of interaction between corrosion-induced concrete cover crack and steel corrosion rate. Corros. Sci. 2013, 69, 97–109. [Google Scholar] [CrossRef]




















| Specimen Series | Fiber Content (%) | Compressive Strength/Cv (MPa/%) | Splitting Tensile Strength/Cv (MPa/%) | Flexural Strength/Cv (MPa/%) | Direct Tensile Strength/Cv (MPa/%) |
|---|---|---|---|---|---|
| PVA0 | 0 | 39.98/3 | 2.76/3 | 3.32/3 | 2.85/3 |
| PVA0.2 | 0.2 | 38.21/3 | 3.35/3 | 3.48/2 | 3.00/2 |
| PVA0.4 | 0.4 | 35.06/3 | 3.47/2 | 3.74/5 | 3.10/2 |
| PVA0.6 | 0.6 | 37.23/5 | 3.69/2 | 3.81/2 | 3.25/4 |
| Test | Content of PVA Fiber (%) | ρc (%) | fcu (MPa) | ft (MPa) | fts (MPa) | ftf (MPa) | Failure Mode | τons (MPa) | τmax (MPa) | S0 (mm) |
|---|---|---|---|---|---|---|---|---|---|---|
| PVA0-0 | 0 | 0.0 | 39.98 | 2.85 | 2.76 | 3.32 | P | 4.95 | 21.08 | 1.53 |
| PVA0.2-0 | 0.2 | 0.0 | 38.21 | 3.00 | 3.35 | 3.48 | P | 5.86 | 19.57 | 1.42 |
| PVA0.4-0 | 0.4 | 0.0 | 35.06 | 3.10 | 3.47 | 3.74 | P | 6.10 | 19.10 | 1.34 |
| PVA0.6-0 | 0.6 | 0.0 | 37.23 | 3.25 | 3.69 | 3.81 | P | 5.75 | 18.18 | 1.69 |
| PVA0-10 | 0 | 0.6 | 39.98 | 2.85 | 2.76 | 3.32 | P | 6.36 | 22.20 | 1.94 |
| PVA0.2-10 | 0.2 | 0.7 | 38.21 | 3.00 | 3.35 | 3.48 | P | 10.14 | 21.30 | 1.54 |
| PVA0.4-10 | 0.4 | 0.9 | 35.06 | 3.10 | 3.47 | 3.74 | P | 10.40 | 19.41 | 1.58 |
| PVA0.6-10 | 0.6 | 1.0 | 37.23 | 3.25 | 3.69 | 3.81 | P | 13.27 | 18.90 | 1.11 |
| PVA0-20 | 0 | 1.1 | 39.98 | 2.85 | 2.76 | 3.32 | P | 10.64 | 19.38 | 1.00 |
| PVA0.2-20 | 0.2 | 3.9 | 38.21 | 3.00 | 3.35 | 3.48 | P | 10.71 | 18.26 | 1.12 |
| PVA0.4-20 | 0.4 | 4.4 | 35.06 | 3.10 | 3.47 | 3.74 | P | 8.65 | 16.20 | 1.04 |
| PVA0.6-20 | 0.6 | 5.5 | 37.23 | 3.25 | 3.69 | 3.81 | P | 5.69 | 14.05 | 1.24 |
| PVA0-30 | 0 | 1.9 | 39.98 | 2.85 | 2.76 | 3.32 | S-P | 17.19 | 18.60 | 0.02 |
| PVA0.2-30 | 0.2 | 4.8 | 38.21 | 3.00 | 3.35 | 3.48 | S-P | 14.24 | 15.55 | 0.26 |
| PVA0.4-30 | 0.4 | 7.3 | 35.06 | 3.10 | 3.47 | 3.74 | S-P | 13.13 | 13.70 | 0.21 |
| PVA0.6-30 | 0.6 | 9.9 | 37.23 | 3.25 | 3.69 | 3.81 | S-P | 11.83 | 12.45 | 0.19 |
| PVA0-40 | 0 | 2.3 | 39.98 | 2.85 | 2.76 | 3.32 | S-P | 18.00 | 18.17 | 0.02 |
| PVA0.2-40 | 0.2 | 8.6 | 38.21 | 3.00 | 3.35 | 3.48 | S-P | 12.14 | 14.56 | 0.09 |
| PVA0.4-40 | 0.4 | 11.3 | 35.06 | 3.10 | 3.47 | 3.74 | S-P | 9.55 | 12.59 | 0.08 |
| PVA0.6-40 | 0.6 | 13.2 | 37.23 | 3.25 | 3.69 | 3.81 | S-P | 9.48 | 9.97 | 0.05 |
| PVA0-50 | 0 | 3.1 | 39.98 | 2.85 | 2.76 | 3.32 | S | 16.98 | 17.88 | 0.07 |
| PVA0.2-50 | 0.2 | 12.7 | 38.21 | 3.00 | 3.35 | 3.48 | S-P | 13.54 | 13.72 | 0.03 |
| PVA0.4-50 | 0.4 | 14.6 | 35.06 | 3.10 | 3.47 | 3.74 | S-P | 9.94 | 10.13 | 0.04 |
| PVA0.6-50 | 0.6 | 16.9 | 37.23 | 3.25 | 3.69 | 3.81 | S-P | 8.91 | 9.38 | 0.19 |
Disclaimer/Publisher’s Note: The statements, opinions and data contained in all publications are solely those of the individual author(s) and contributor(s) and not of MDPI and/or the editor(s). MDPI and/or the editor(s) disclaim responsibility for any injury to people or property resulting from any ideas, methods, instructions or products referred to in the content. |
© 2023 by the authors. Licensee MDPI, Basel, Switzerland. This article is an open access article distributed under the terms and conditions of the Creative Commons Attribution (CC BY) license (https://creativecommons.org/licenses/by/4.0/).
Share and Cite
Zhang, X.; Wu, X.; Wang, Y. Corrosion-Effected Bond Behavior between PVA-Fiber-Reinforced Concrete and Steel Rebar under Chloride Environment. Materials 2023, 16, 2666. https://doi.org/10.3390/ma16072666
Zhang X, Wu X, Wang Y. Corrosion-Effected Bond Behavior between PVA-Fiber-Reinforced Concrete and Steel Rebar under Chloride Environment. Materials. 2023; 16(7):2666. https://doi.org/10.3390/ma16072666
Chicago/Turabian StyleZhang, Xuhui, Xun Wu, and Yang Wang. 2023. "Corrosion-Effected Bond Behavior between PVA-Fiber-Reinforced Concrete and Steel Rebar under Chloride Environment" Materials 16, no. 7: 2666. https://doi.org/10.3390/ma16072666
APA StyleZhang, X., Wu, X., & Wang, Y. (2023). Corrosion-Effected Bond Behavior between PVA-Fiber-Reinforced Concrete and Steel Rebar under Chloride Environment. Materials, 16(7), 2666. https://doi.org/10.3390/ma16072666
